Instalaciones Eléctricas

chevron_left
chevron_right
Todo
Apuntes
Ejercicios
Test
chevron_left
chevron_right

test

-

TEST REGLAMENTO ITC

He publicado nuevos test de 1º Instalaciones Eléctricas: TEST REGLAMENTO ITC

ITC-BT-17-profesor.pdf
ITC-BT-10-Test.pdf
ITC-BT-01-profesor.pdf
ITC-BT-07-Test.pdf
ITC-BT-11-profesor.pdf
ITC-BT-14-profesor.pdf

test

-

TEST Y PREGUNTAS

He publicado nuevos test de 1º Instalaciones Eléctricas: TEST Y PREGUNTAS

test-y-preguntas-de-examen-2.pdf
preguntas-tipo-test-3.pdf
preguntas-tipo-test-1.pdf
test-y-preguntas-de-examen-1.pdf
preguntas-cortas-2.pdf
preguntas-tipo-test-2.pdf

He publicado nuevos apuntes de 1º Instalaciones Eléctricas: Problemas-de-lineas.pdf

1 página

He publicado nuevos ejercicios de 1º Instalaciones Eléctricas: Ejemplo-calculo-de-secciones.pdf

2 páginas

ejercicios

-

Ejercicios monofásica

He publicado nuevos ejercicios de 1º Instalaciones Eléctricas: Ejercicios monofásica

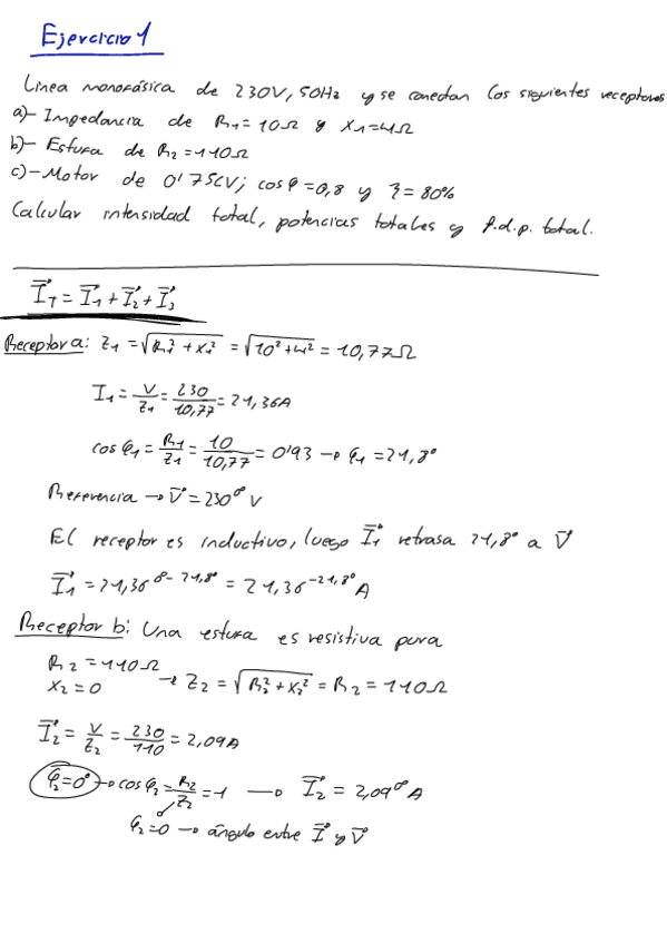
Ejercicios-monofasica-Ejer-1.pdf

ejercicios

-

EJER LUMINOTECNIA

He publicado nuevos ejercicios de 1º Instalaciones Eléctricas: EJER LUMINOTECNIA

Ejercicios-LUMINOTECNIA-Ejer-3.pdf
Ejercicios-LUMINOTECNIA-Ejer-4.pdf
Ejercicios-LUMINOTECNIA-Ejer-1.pdf
Ejercicios-LUMINOTECNIA-Ejer-2.pdf

ejercicios

-

EJERCICIOS DE PROTECCIONES

He publicado nuevos ejercicios de 1º Instalaciones Eléctricas: EJERCICIOS DE PROTECCIONES

Ejercicios-de-protecciones-Ejer-14-y-15.pdf
Ejercicios-de-protecciones-Ejer-1.pdf
Ejercicios-de-protecciones-Ejer-13.pdf
Ejercicios-de-protecciones-Enunciados.pdf
Ejercicios-de-protecciones-Ejer-2.pdf
Ejercicios-de-protecciones-Ejer-8.pdf

He publicado nuevos apuntes de 1º Instalaciones Eléctricas: Instalaciones-de-enlace-APUNTES.pdf

1 página

He publicado nuevos apuntes de 1º Instalaciones Eléctricas: Fusibles-e-interruptores-APUNTES.pdf

3 páginas

He publicado nuevos apuntes de 1º Instalaciones Eléctricas: formulario.pdf

4 páginas

He publicado nuevos apuntes de 1º Instalaciones Eléctricas: Dimensionado-de-fusibles-e-interruptores.pdf

2 páginas
¡Estás al día!

¡Estás al día!

Has visto todos los archivos