chevron_left
chevron_right
Todo
Apuntes
Ejercicios
Exámenes
Prácticas
Test
chevron_left
chevron_right
Anónimo

@Anónimo

apuntes

-

APUNTES

He publicado nuevos apuntes de 3º Instalaciones Eléctricas: APUNTES

FactorDePotencia.pdf
Dimensionado-de-fusibles-e-interruptores.pdf
Formulario-y-apuntes-luminotecnia-.pdf
Instalaciones-de-enlace-APUNTES.pdf
Anónimo

@Anónimo

apuntes

-

APUNTES INST ELECTRICAS

He publicado nuevos apuntes de 3º Instalaciones Eléctricas: APUNTES INST ELECTRICAS

Fusibles-e-interruptores-APUNTES.pdf
formulario.pdf
FactorDePotencia.pdf
Dimensionado-de-fusibles-e-interruptores.pdf
Formulario-y-apuntes-protecciones-.pdf
Formulario-y-apuntes-luminotecnia-.pdf
Anónimo

@Anónimo

apuntes

-

resumen

He publicado nuevos apuntes de 3º Instalaciones Eléctricas: resumen

instalaciones-resumen-tema-2.pdf
instalaciones-resumen-tema-1.pdf
instalaciones-resumen.pdf
instalaciones-resumen-tema-3.pdf
instalaciones-resumen-tema-4.pdf
instalaciones-resumen-tema-6.pdf
Anónimo

@Anónimo

apuntes

-

PREGUNTAS DE EXAMENES

He publicado nuevos apuntes de 3º Instalaciones Eléctricas: PREGUNTAS DE EXAMENES

preguntas-de-examenes-2019-luminotecnia.pdf
preguntas-de-examenes.pdf
preguntas-de-examenes-2019-cuestiones.pdf
preguntas-de-examenes-2019.pdf
preguntas-de-examenes-2019-ejemplo-luminotecnia.pdf
preguntas-de-examenes-MODIFICADO.docx
Anónimo

@Anónimo

ejercicios

-

EJER CALCULOS EN LINEAS ELECTRICAS

He publicado nuevos ejercicios de 3º Instalaciones Eléctricas: EJER CALCULOS EN LINEAS ELECTRICAS

P1-Calculo-seccion-conductor.pdf
Ejercicio-DE-EXAMEN-RESUELTO.pdf
P4-Anillo-con-derivaciones.pdf
Problemas-de-lineas.pdf
Ejemplo-calculo-de-secciones.pdf
Anónimo

@Anónimo

ejercicios

-

EJER TEMA 2 SECCIONES

He publicado nuevos ejercicios de 3º Instalaciones Eléctricas: EJER TEMA 2 SECCIONES

Ejemplo-8.pdf
Ejemplo-6.pdf
EJER-T2-RESUELTOS.pdf
Ejer-1.pdf
Anónimo

@Anónimo

ejercicios

-

EJER TEMA 3 PROTECCIONES

He publicado nuevos ejercicios de 3º Instalaciones Eléctricas: EJER TEMA 3 PROTECCIONES

Ejer-8.pdf
Ejer-14-y-15.pdf
Ejer-2.pdf
Ejercicios-de-protecciones-RESUELTOS.pdf
Enunciados.pdf
EJERCICIO-FUSIBLES.pdf
Anónimo

@Anónimo

He publicado nuevos ejercicios de 3º Instalaciones Eléctricas: Ejercicios-monofasica-Ejer-1.pdf

2 páginas

test

-

TEST DEL REGLAMENTO BT PRACTICAR

He publicado nuevos test de 3º Instalaciones Eléctricas: TEST DEL REGLAMENTO BT PRACTICAR

ITC-BT-10-Test.pdf
ITC-BT-06-Test.pdf
ITC-BT-14-profesor.pdf
ITC-BT-09-Test.pdf
ITC-BT-11-profesor.pdf
ITC-BT-17-profesor.pdf
Anónimo

@Anónimo

apuntes

-

test y preguntas cortas

He publicado nuevos apuntes de 3º Instalaciones Eléctricas: test y preguntas cortas

preguntas-cortas-2.pdf
preguntas-tipo-test-3.pdf
test-y-preguntas-de-examen-1.pdf
preguntas-cortas-1.pdf
preguntas-tipo-test-1.pdf
test-y-preguntas-de-examen-2.pdf
Anónimo

@Anónimo

examenes

-

EXAMEN JUNIO 2019 RESUELTO

He publicado nuevos examenes de 3º Instalaciones Eléctricas: EXAMEN JUNIO 2019 RESUELTO

examen-junio-2019-TEST.pdf
examen-junio-2019-TEORIA-respuestas.pdf
examen-junio-2019-PROBLEMA.pdf
examen-junio-2019-PROBLEMA-E1.pdf
examen-junio-2019-TEST-SOLUCIONES.pdf
examen-junio-2019-PROBLEMA-RESUELTO.pdf

examenes

-

EXAMEN JUNIO 2018 RESUELTO

He publicado nuevos examenes de 3º Instalaciones Eléctricas: EXAMEN JUNIO 2018 RESUELTO

examen-instalaciones-junio-2018-E1-a.pdf
examen-instalaciones-junio-2018-E1-b-y-c.pdf
examen-junio-2018-E1-enunciado.pdf
examen-junio-2018-E2.pdf
examen-junio-2018-E1-RESUELTO.pdf
Anónimo

@Anónimo

apuntes

-

examenes de años anteriores

He publicado nuevos apuntes de 3º Instalaciones Eléctricas: examenes de años anteriores

examen-junio-2017-E1-enunciado.pdf
examen-septiembre-2016-E1-enunciado.pdf
examen-junio-2013-TEST.pdf
EXAMEN-JUNIO-2012.pdf
examen-junio-2016-Enunciado-2.pdf
examen-junio-2014-problema.pdf
Anónimo

@Anónimo

practicas

-

actividad 1 - modeladora

He publicado nuevos practicas de 3º Instalaciones Eléctricas: actividad 1 - modeladora

Miniatura no disponible
archivos-autocad.zip
actividad-1-modeladora-autocad.pdf
0.pdf
9.pdf
1.pdf
7.pdf
Anónimo

@Anónimo

practicas

-

actividad 2 - instalacion con proteccion

He publicado nuevos practicas de 3º Instalaciones Eléctricas: actividad 2 - instalacion con proteccion

Miniatura no disponible
Autocad.zip
Actividad-2-CieBT-calculos.pdf
Actividad-2-Tabla.pdf
Miniatura no disponible
CieBT.zip
Informe-actividad-2.pdf
Actividad-2.pdf
Anónimo

@Anónimo

practicas

-

actividad 3 - tierras ual

He publicado nuevos practicas de 3º Instalaciones Eléctricas: actividad 3 - tierras ual

Farola-2.pdf
actividad-3-tierras-ual.pdf
Puerta-de-metal.pdf
Farola-1.pdf
Anónimo

@Anónimo

practicas

-

actividad 5 - Proyecto gasolinera

He publicado nuevos practicas de 3º Instalaciones Eléctricas: actividad 5 - Proyecto gasolinera

Anexo-1-presupuesto.pdf
CERTIFICADO-MEDIO-AMBIENTAL.pdf
CERTIFICADO-INSTALACIONES-ELECTRICAS-EN-BAJA-TENSION.pdf
ESQUEMA-UNIFILAR-3.pdf
INSTALACION-ELECTRICIDAD.pdf
ESQUEMA-UNIFILAR.pdf
Anónimo

@Anónimo

He publicado nuevos apuntes de 3º Instalaciones Eléctricas: test-inst.pdf

5 páginas
Anónimo

@Anónimo

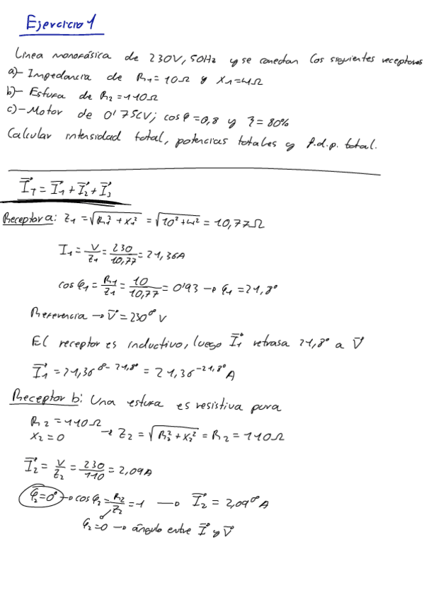
He publicado nuevos apuntes de 3º Instalaciones Eléctricas: Problema-resuelto-Junio-2015.pdf

5 páginas
Anónimo

@Anónimo

He publicado nuevos apuntes de 3º Instalaciones Eléctricas: Examen-Septiembre-16-Problema.pdf

2 páginas
Anónimo

@Anónimo

He publicado nuevos apuntes de 3º Instalaciones Eléctricas: Examen-Junio-17-Problemas.pdf

2 páginas

examenes

-

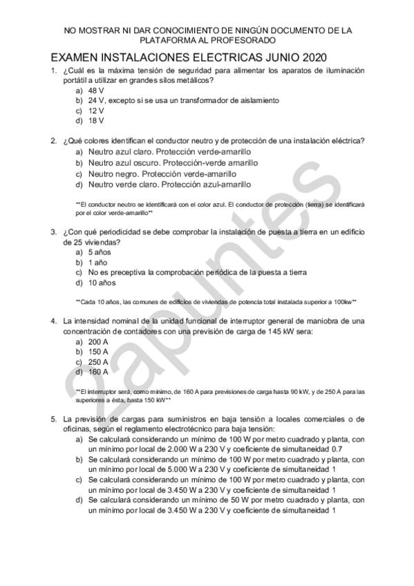
EXAMEN JUNIO 2020 + SOLUCIONES

He publicado nuevos examenes de 3º Instalaciones Eléctricas: EXAMEN JUNIO 2020 + SOLUCIONES

EXAMEN-JUNIO-2020-TEST-copia.pdf
EXAMEN-JUNIO-2020-TEST-RESUELTO-copia.pdf

He publicado nuevos apuntes de 3º Instalaciones Eléctricas: FORMULARIO-CON-EXPLICACIONES.pdf

9 páginas

He publicado nuevos apuntes de 3º Instalaciones Eléctricas: TABLAS-REGLAMENTO-IMPORTANTES.pdf

2 páginas

He publicado nuevos apuntes de 3º Instalaciones Eléctricas: ESQUEMAS-IMPORTANTES.pdf

6 páginas

apuntes

-

Apuntes importantes

He publicado nuevos apuntes de 3º Instalaciones Eléctricas: Apuntes importantes

Esquema-unifilar-APUNTES.pdf
Lineas-electricas-APUNTES-Y-EJEMPLOS.pdf
formulario-simple.pdf
Dimensionado-de-fusibles-e-interruptores.pdf
Apuntes-reglamento.pdf
Instalaciones-de-enlace-APUNTES.pdf
Anónimo

@Anónimo

apuntes

-

resumen instalaciones

He publicado nuevos apuntes de 3º Instalaciones Eléctricas: resumen instalaciones

instalaciones-resumen-tema-3.pdf
instalaciones-resumen-tema-4.pdf
instalaciones-resumen-tema-2.pdf
instalaciones-resumen-tema-1.pdf
instalaciones-resumen-tema-6.pdf
instalaciones-resumen-tema-5.pdf