Instalaciones y Máquinas Eléctricas

chevron_left
chevron_right
Todo
Apuntes
Ejercicios
Exámenes
Prácticas
Test
Trabajos
chevron_left
chevron_right

He publicado nuevos trabajos de 3º Instalaciones y Máquinas Eléctricas: Tarea-evaluable-no-presencial-2.pdf

16 páginas

practicas

-

Prácticas

He publicado nuevos practicas de 3º Instalaciones y Máquinas Eléctricas: Prácticas

Practica-1-Maquinas-Electricas.pdf
Practica-1-Instalaciones-Electricas.pdf
Practica-2-Maquina-Asincrona.pdf
Practica-4-Instalaciones-Electricas.pdf

He publicado nuevos apuntes de 3º Instalaciones y Máquinas Eléctricas: Practica-Asincrona.pdf

3 páginas

He publicado nuevos ejercicios de 3º Instalaciones y Máquinas Eléctricas: Relacion-problemas-de-examenes.pdf

16 páginas

He publicado nuevos examenes de 3º Instalaciones y Máquinas Eléctricas: Examen-Enero-2025.pdf

4 páginas

He publicado nuevos test de 3º Instalaciones y Máquinas Eléctricas: TipoTestMaquinasClase.pdf

3 páginas

He publicado nuevos apuntes de 3º Instalaciones y Máquinas Eléctricas: ReaccionInducidoYConmutacion.pdf

4 páginas

He publicado nuevos apuntes de 3º Instalaciones y Máquinas Eléctricas: Formulas.pdf

9 páginas

He publicado nuevos ejercicios de 3º Instalaciones y Máquinas Eléctricas: ProbExInstalaciones.pdf

9 páginas

He publicado nuevos examenes de 3º Instalaciones y Máquinas Eléctricas: ExFebrero2022Instalaciones.pdf

8 páginas

He publicado nuevos examenes de 3º Instalaciones y Máquinas Eléctricas: ExEnero2023Teo.pdf

2 páginas

He publicado nuevos examenes de 3º Instalaciones y Máquinas Eléctricas: ExEnero2024.pdf

16 páginas

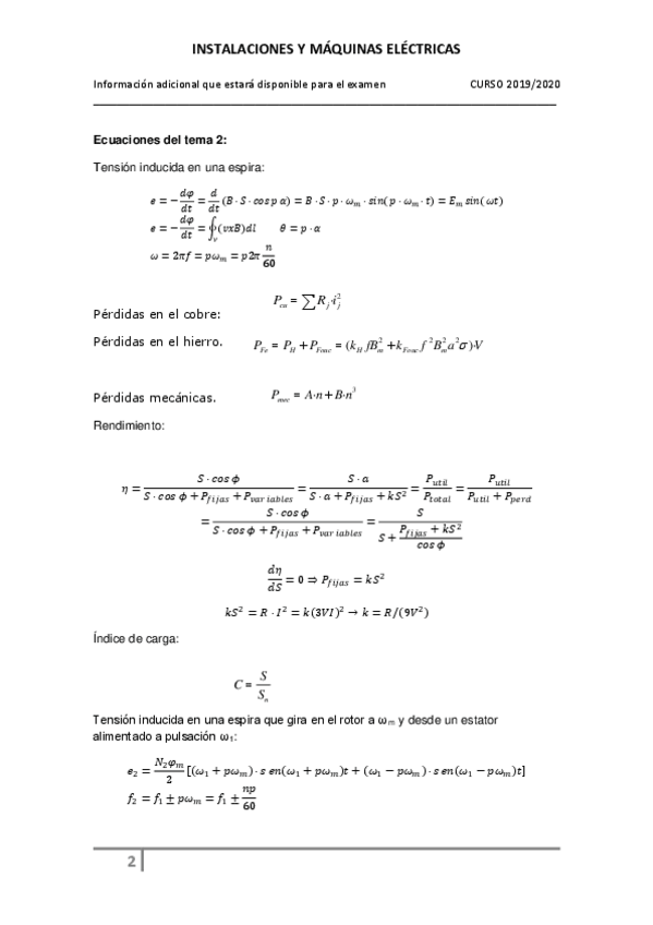
He publicado nuevos apuntes de 3º Instalaciones y Máquinas Eléctricas: ApuntesT2.pdf

11 páginas

He publicado nuevos ejercicios de 3º Instalaciones y Máquinas Eléctricas: EjsT2.pdf

10 páginas

Apuntes y ejercicios

21 páginas

He publicado nuevos examenes de 3º Instalaciones y Máquinas Eléctricas: EXAMENMAQUINASFEB2023.pdf

2 páginas

He publicado nuevos apuntes de 3º Instalaciones y Máquinas Eléctricas: Ejercicios-y-formulario-Maquinas-Electricas.pdf

32 páginas

He publicado nuevos apuntes de 3º Instalaciones y Máquinas Eléctricas: Ejercicios y teoría Instalaciones-Electricas.pdf

14 páginas

He publicado nuevos apuntes de 3º Instalaciones y Máquinas Eléctricas: Relacion-Ejercicios-Fusibles-Y-Magnetos.pdf

12 páginas

He publicado nuevos examenes de 3º Instalaciones y Máquinas Eléctricas: examen-febrero-2022-instalaciones-1.pdf

6 páginas

He publicado nuevos examenes de 3º Instalaciones y Máquinas Eléctricas: Ejercicios-Examen-comprimido.pdf

29 páginas

He publicado nuevos examenes de 3º Instalaciones y Máquinas Eléctricas: Ejercicios-Examen-instalaciones-corregidos.pdf

29 páginas
Anónimo

@Anónimo

He publicado nuevos examenes de 3º Instalaciones y Máquinas Eléctricas: feb20.pdf

6 páginas
Anónimo

@Anónimo

He publicado nuevos examenes de 3º Instalaciones y Máquinas Eléctricas: examenME1JUN2019.pdf

6 páginas
Anónimo

@Anónimo

He publicado nuevos examenes de 3º Instalaciones y Máquinas Eléctricas: examenME1feb22.pdf

8 páginas
Anónimo

@Anónimo

He publicado nuevos examenes de 3º Instalaciones y Máquinas Eléctricas: examenmesep19sol.pdf

5 páginas
Anónimo

@Anónimo

He publicado nuevos examenes de 3º Instalaciones y Máquinas Eléctricas: examenMEfeb19.pdf

11 páginas
Anónimo

@Anónimo

He publicado nuevos examenes de 3º Instalaciones y Máquinas Eléctricas: ecuacionesexamenfinal.pdf

9 páginas
Anónimo

@Anónimo

He publicado nuevos examenes de 3º Instalaciones y Máquinas Eléctricas: EXAMEN-JUNIO-20215.pdf

8 páginas

He publicado nuevos examenes de 3º Instalaciones y Máquinas Eléctricas: ExamenMaqElectSept2020ResueltoManuscrito.pdf

7 páginas

He publicado nuevos examenes de 3º Instalaciones y Máquinas Eléctricas: ExamenMaqElectJunio2020ResueltoManuscrito.pdf

5 páginas

He publicado nuevos examenes de 3º Instalaciones y Máquinas Eléctricas: ExamenMaqElectFebrero2021.pdf

8 páginas

examenes

-

Resol Maq Elect Junio Sept 2020feb 2021

He publicado nuevos examenes de 3º Instalaciones y Máquinas Eléctricas: Resol Maq Elect Junio Sept 2020feb 2021

ExamenMAqElectrSept2020.pdf
ExamenMaqElectFebrero2021.pdf
ExamenMaqElectrJunio2020.pdf

apuntes

-

Trabajo Complementario Instalaciones

He publicado nuevos apuntes de 3º Instalaciones y Máquinas Eléctricas: Trabajo Complementario Instalaciones

TrabajoComplementarioPracticasInstalElect.xlsx
TrabajoComplementarioPractInstalacionesElectricas.pdf

He publicado nuevos apuntes de 3º Instalaciones y Máquinas Eléctricas: TrabajoInstalElect.xlsx

excel

He publicado nuevos apuntes de 3º Instalaciones y Máquinas Eléctricas: TrabajoInstalElect.pdf

8 páginas

He publicado nuevos trabajos de 3º Instalaciones y Máquinas Eléctricas: Ejercicio-Circuitos-Magneticos.pdf

10 páginas

He publicado nuevos ejercicios de 3º Instalaciones y Máquinas Eléctricas: problemas-de-protecciones-resueltos.pdf

8 páginas

He publicado nuevos ejercicios de 3º Instalaciones y Máquinas Eléctricas: ejercicios-puestas-a-tierra-resueltos.pdf

4 páginas

He publicado nuevos ejercicios de 3º Instalaciones y Máquinas Eléctricas: problemas-de-dimensionado-de-circuitos-resueltos.pdf

3 páginas

He publicado nuevos apuntes de 3º Instalaciones y Máquinas Eléctricas: Test-Maq.pdf

6 páginas

He publicado nuevos apuntes de 3º Instalaciones y Máquinas Eléctricas: El-transformador.pdf

8 páginas

practicas

-

Prácticas Inst y maq eléctricas

He publicado nuevos practicas de 3º Instalaciones y Máquinas Eléctricas: Prácticas Inst y maq eléctricas

Practica-3-maquinas-electricas.pdf
MostazoManriquePenelopepl6GIE.pdf
MostazoManriquePenelopepl5GIE.pdf
MostazoManriquePenelopepl2GIEN.pdf
MostazoManriquePenelopepl1GIE.pdf
Practica-4-Montaje-del-cuadro-electrico.pdf

He publicado nuevos apuntes de 3º Instalaciones y Máquinas Eléctricas: Relacion-de-problemas-de-examen-instalaciones.pdf

19 páginas

examenes

-

EXÁMENES RESUELTOS

He publicado nuevos examenes de 3º Instalaciones y Máquinas Eléctricas: EXÁMENES RESUELTOS

EXAMENES-MAQUINAS-ELECTRICAS-RESUELTOS.pdf
EXAMENES-INSTALACIONES-ELECTRICAS-RESUELTOS.pdf

He publicado nuevos apuntes de 3º Instalaciones y Máquinas Eléctricas: EjerciciosResueltosInstalacionesElect.pdf

41 páginas

He publicado nuevos apuntes de 3º Instalaciones y Máquinas Eléctricas: ExamenesTeoriaMaqElectricasRESUELTOS.pdf

5 páginas

apuntes

-

Prácticas 2019

He publicado nuevos apuntes de 3º Instalaciones y Máquinas Eléctricas: Prácticas 2019

Practica4.pdf
Practica2.pdf
Practica1.pdf

He publicado nuevos ejercicios de 3º Instalaciones y Máquinas Eléctricas: Libro-con-problemas-resueltos-desde-la-pagina-173.pdf

237 páginas

He publicado nuevos apuntes de 3º Instalaciones y Máquinas Eléctricas: 350519875-Instalaciones-Electricas-en-Media-Y-Baja-Tension-Jose-Garcia-Trasancos-pdf.pdf

210 páginas

ejercicios

-

SOLUCIONARIO problemas Fraile Mora

He publicado nuevos ejercicios de 3º Instalaciones y Máquinas Eléctricas: SOLUCIONARIO problemas Fraile Mora

frailemoraEjercresueltos.pdf
frailemoraproblemasresueltosmaqasin.pdf
frailemora-circmagnproblresueltos.pdf
frailemoraproblresueltos.pdf
frailemoraproblresueltosmaqcc.pdf
¡Estás al día!

¡Estás al día!

Has visto todos los archivos