Instrumentación Electrónica

chevron_left
chevron_right
Todo
Apuntes
Ejercicios
Exámenes
Prácticas
publication
chevron_left
chevron_right

apuntes

-

TEMA 3 - Inst. Electrónica

Relación resuelta. Excel calculadora de filtros. Formulario. Tablas

CalculadoraFiltros.xlsx
formularioT3.pdf
TablasFiltros.pdf

apuntes

-

TEMA 2 - Inst. Electrónica

Relaciones resueltas Temas 2A y 2B. Formulario

Formulario-Tema-2.pdf
RelacionT2A.pdf
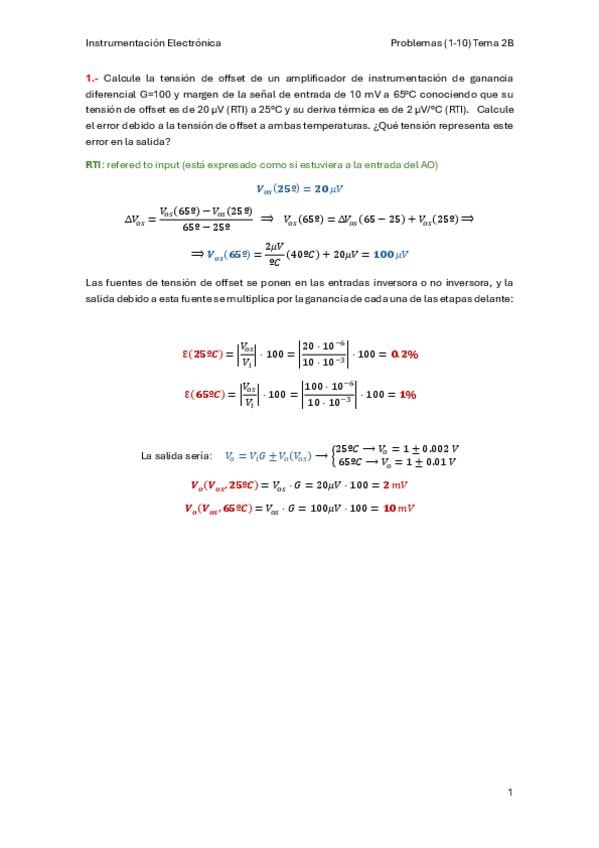
RelacionT2B.pdf

He publicado nuevos ejercicios de 3º Instrumentación Electrónica: ejercicio-10-instrumentacion.pdf

7 páginas

He publicado nuevos apuntes de 3º Instrumentación Electrónica: FormularioInstrumentacion.pdf

2 páginas

He publicado nuevos ejercicios de 3º Instrumentación Electrónica: Relaciones-Olmos-Resueltas.pdf

23 páginas

He publicado nuevos examenes de 3º Instrumentación Electrónica: FORMULARIO-EXAMEN-IE.pdf

2 páginas

Apuntes de clase y realcion de ejercicios resueltas por el profesor al final del documento

63 páginas

Apuntes y Ejercicios Instrumentación Electrónica?

Apuntes completos y ejercicios si alguien tiene por favor!?

examenes

-

Examen Junio 2021

He publicado nuevos examenes de 3º Instrumentación Electrónica: Examen Junio 2021

Examen-Instrumentacion-Junio-2021.pdf
EJERCICIO-2-EXAMEN-IE-JUNIO-21.pdf
IE202106solucionesejercicio1.pdf

practicas

-

Prácticas

He publicado nuevos practicas de 3º Instrumentación Electrónica: Prácticas

PR1-David-Gonzalez-Rosillo.pdf
PR3-David-Gonzalez-Rosillo.pdf
PR2-David-Gonzalez-Rosillo.pdf

He publicado nuevos examenes de 3º Instrumentación Electrónica: Junio-2020.pdf

4 páginas
Anónimo

@Anónimo

apuntes

-

EJERCICIOS PRUEBAS

He publicado nuevos apuntes de 3º Instrumentación Electrónica: EJERCICIOS PRUEBAS

PRUEBA 6.PNG
PRUEBA 3.2.PNG
PRUEBA 3.1.PNG
PRUEBA 2.PNG
PRUEBA 0.PNG
PRUEBA 3.3.PNG
Anónimo

@Anónimo

examenes

-

EXAMENES

He publicado nuevos examenes de 3º Instrumentación Electrónica: EXAMENES

WhatsApp Image 2018-06-11 at 11.31.34 (1).jpeg
WhatsApp Image 2018-06-11 at 11.31.34.jpeg
WhatsApp Image 2018-06-11 at 11.31.36.jpeg
WhatsApp Image 2018-06-11 at 11.31.37 (1).jpeg
WhatsApp Image 2018-06-11 at 11.31.35 (1).jpeg
WhatsApp Image 2018-06-11 at 11.31.36 (1).jpeg
Anónimo

@Anónimo

examenes

-

EXAMENES

He publicado nuevos examenes de 3º Instrumentación Electrónica: EXAMENES

WhatsApp Image 2018-06-11 at 11.31.54.jpeg
WhatsApp Image 2018-06-11 at 11.31.42.jpeg
WhatsApp Image 2018-06-11 at 11.31.41.jpeg
WhatsApp Image 2018-06-11 at 11.31.47.jpeg
WhatsApp Image 2018-06-11 at 11.31.51.jpeg
WhatsApp Image 2018-06-11 at 11.31.44.jpeg
Anónimo

@Anónimo

examenes

-

EXAMENES

He publicado nuevos examenes de 3º Instrumentación Electrónica: EXAMENES

WhatsApp Image 2018-06-11 at 11.31.56.jpeg
WhatsApp Image 2018-06-11 at 11.31.58.jpeg
WhatsApp Image 2018-06-11 at 11.31.57.jpeg
WhatsApp Image 2018-06-11 at 11.31.55.jpeg
Anónimo

@Anónimo

examenes

-

EXAMENES

He publicado nuevos examenes de 3º Instrumentación Electrónica: EXAMENES

WhatsApp Image 2018-06-11 at 11.31.28.jpeg
WhatsApp Image 2018-06-11 at 11.31.24.jpeg
WhatsApp Image 2018-06-11 at 11.31.25.jpeg
WhatsApp Image 2018-06-11 at 11.31.26.jpeg
WhatsApp Image 2018-06-11 at 11.31.27.jpeg
WhatsApp Image 2018-06-11 at 11.31.23.jpeg
Anónimo

@Anónimo

apuntes

-

TEMAS INSTRUMENTACION

He publicado nuevos apuntes de 3º Instrumentación Electrónica: TEMAS INSTRUMENTACION

Tema05b_SensoresyActuadores.pdf
Tema04_ConvertidoresAD.pdf
Tema01_IntroduccionInstrumentacion.pdf
Tema06_TransmisionSeñalRuidosInterferencias.pdf
Tema05a_SensoresyActuadores.pdf
Tema02_SEGUNDAPARTE.pdf
Anónimo

@Anónimo

apuntes

-

EJERCICIOS PRUEBAS

He publicado nuevos apuntes de 3º Instrumentación Electrónica: EJERCICIOS PRUEBAS

Prueba 9.2.PNG
Prueba 9.1.PNG
Prueba 8.PNG
PRUEBA Ejercicios ultimo dia.PNG

ejercicios

-

RELACION TEMA 2.4

He publicado nuevos ejercicios de 3º Instrumentación Electrónica: RELACION TEMA 2.4

IE. Relacion 2.4.pdf
IER24EJLAB.jpg
IER24EJLAB-Bode1f1000.jpg
IER24EJLAB-Bode2f1000.jpg
IER24EJLAB-Bode3f1000.jpg
IER24EJLAB-Bodef1.jpg

ejercicios

-

RELACION TEMA 2.3

He publicado nuevos ejercicios de 3º Instrumentación Electrónica: RELACION TEMA 2.3

IE. Relacion 2.3.pdf
IER2-3Ej15a.jpg
IER2-3Ej15b.jpg

ejercicios

-

RELACION TEMA 5.2

He publicado nuevos ejercicios de 3º Instrumentación Electrónica: RELACION TEMA 5.2

IE. Relacion 5.2.pdf
IMG_20160525_122543.jpg
IMG_20160525_122553.jpg
IMG_20160525_122616.jpg
IMG_20160525_122624.jpg
IMG_20160525_122639.jpg

He publicado nuevos ejercicios de 3º Instrumentación Electrónica: RelacionProblemasTema02.pdf

1 página

ejercicios

-

RELACION TEMA 5

He publicado nuevos ejercicios de 3º Instrumentación Electrónica: RELACION TEMA 5

IE. Relacion 5.pdf
IER5Ej5a.jpg
IER5Ej5b.jpg
IER5Ej5c.jpg
IER5Ej6a.jpg
IER5Ej6b.jpg

He publicado nuevos ejercicios de 3º Instrumentación Electrónica: IE. Relacion 3.pdf

1 página

ejercicios

-

RELACION TEMA 2.2

He publicado nuevos ejercicios de 3º Instrumentación Electrónica: RELACION TEMA 2.2

IE. Relacion 2.2.pdf
IER2-2Ej08a.jpg
IER2-2Ej08b.jpg
IER2-2Ej08bode.jpg
IER2-2Ej08c.jpg
IER2-2Ej08d.jpg

He publicado nuevos ejercicios de 3º Instrumentación Electrónica: IE. Relacion 2.5.pdf

1 página

He publicado nuevos ejercicios de 3º Instrumentación Electrónica: Relacion 1.rar

Miniatura no disponible
rar

He publicado nuevos ejercicios de 3º Instrumentación Electrónica: IE. Relacion 4.pdf

1 página
¡Estás al día!

¡Estás al día!

Has visto todos los archivos