Instrumentación Electrónica
Todo
Ejercicios
chevron_left
chevron_right
ejercicios
-
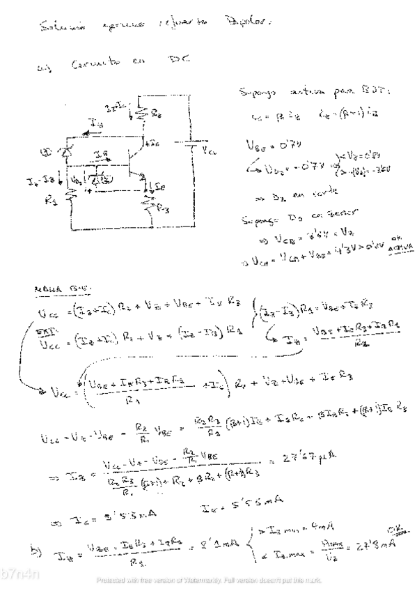
Ejercicios varios
He publicado nuevos ejercicios de 3º Instrumentación Electrónica: Ejercicios varios
¡Estás al día!
Has visto todos los archivos
ejercicios
-
Ejercicios varios
He publicado nuevos ejercicios de 3º Instrumentación Electrónica: Ejercicios varios
¡Estás al día!
Has visto todos los archivos