chevron_left
chevron_right
Todo
Apuntes
Ejercicios
Exámenes
Prácticas
chevron_left
chevron_right

ejercicios

-

Boletines Resueltos 25/26

Boletines resueltos por mí

Boletin-7-resuelto.pdf

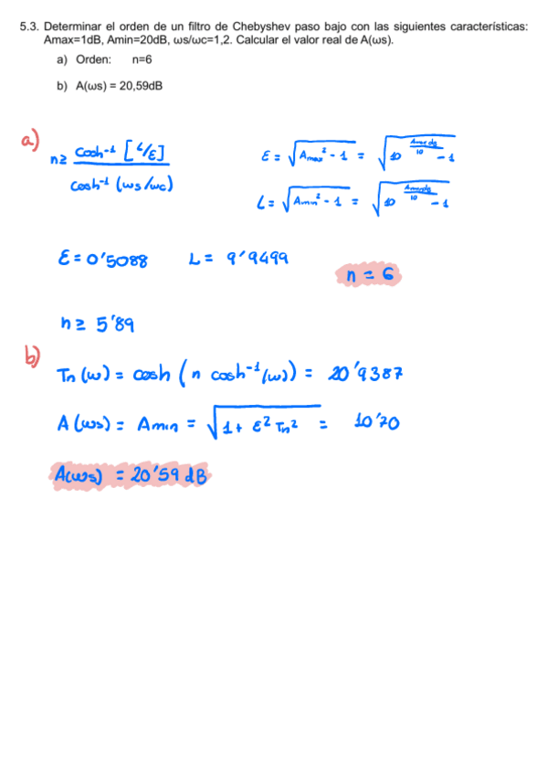
Nota: en el ejercicio 3, al calcular A(ws) no hay que multiplicar por 1'2, es una errata

20 páginas

He publicado nuevos apuntes de 3º Instrumentación Electrónica I: Teoria-1o-parcial-Instru.pdf

3 páginas

ejercicios

-

Boletines resueltos

He publicado nuevos ejercicios de 3º Instrumentación Electrónica I: Boletines resueltos

Boletin-1-resuelto.pdf
Boletin-2-resuelto.pdf
Boletin-4-resuelto.pdf
Boletin-5.2-resuelto.pdf
Boletin-7.1-resuelto.pdf
Boletin-7.2-resuelto.pdf

He publicado nuevos apuntes de 3º Instrumentación Electrónica I: Ejercicios-3o-Parcial-explicados.pdf

3 páginas

He publicado nuevos apuntes de 3º Instrumentación Electrónica I: resumen-T6.pdf

1 página

No es un formulario para llevar al examen (No está permitido llevar uno), es para estudiar.

3 páginas

He publicado nuevos apuntes de 3º Instrumentación Electrónica I: Resumen-T6.pdf

1 página

He publicado nuevos apuntes de 3º Instrumentación Electrónica I: Formulario-tema-7-CAD-CDA.pdf

2 páginas

practicas

-

Prácticas - Previos resueltos

Previos resueltos

Previo-P3-Instru-1.pdf
Previo-P6-Instru-1.pdf
Previo-P5-Instru-1.pdf
Previo-P4-Instru-1.pdf
Previo-P8.pdf
Previo-P7.pdf

He publicado nuevos apuntes de 3º Instrumentación Electrónica I: FORMULAS-IMPORTANTES-2o-PARCIAL.pdf

3 páginas

Resumen temas 5.1, 5.2 y 5.3

4 páginas

He publicado nuevos practicas de 3º Instrumentación Electrónica I: Previo-p5.pdf

1 página

He publicado nuevos practicas de 3º Instrumentación Electrónica I: Previo-Practica-5.pdf

1 página

He publicado nuevos apuntes de 3º Instrumentación Electrónica I: Formulas-temas-1-y-2.pdf

1 página

He publicado nuevos apuntes de 3º Instrumentación Electrónica I: Apuntes + Boletines Parcial-1-Instru.pdf

35 páginas

He publicado nuevos practicas de 3º Instrumentación Electrónica I: Trabajo-previo-practica3.pdf

2 páginas

He publicado nuevos examenes de 3º Instrumentación Electrónica I: Autoevaluacion-Instru.pdf

4 páginas

ejercicios

-

Boletines Resueltos

He publicado nuevos ejercicios de 3º Instrumentación Electrónica I: Boletines Resueltos

Boletin-Instru-Parte-1.pdf
Boletin-Instru-Parte-2.pdf
Boletin-Instru-Parte-3.pdf
Boletin-Instru-Parte-4.pdf

He publicado nuevos apuntes de 3º Instrumentación Electrónica I: Apuntes-Instru.pdf

30 páginas

He publicado nuevos apuntes de 3º Instrumentación Electrónica I: Repaso-DAC-Y-DCA.pdf

8 páginas

He publicado nuevos examenes de 3º Instrumentación Electrónica I: Formulario-3-parcial-instru.pdf

2 páginas

He publicado nuevos examenes de 3º Instrumentación Electrónica I: 3ºParcial instru.pdf

6 páginas

ejercicios

-

Boletines

He publicado nuevos ejercicios de 3º Instrumentación Electrónica I: Boletines

Boletin-1.pdf
Boletin-2instru.pdf
Boletin-4-instru.pdf
Boletin-5-instru.pdf
Boletin-5-sintesis-instru.pdf
Boletin-7.1-Instru.pdf

apuntes

-

Resumenes

He publicado nuevos apuntes de 3º Instrumentación Electrónica I: Resumenes

Resumenes.pdf
Resumen-tema-2-instru.pdf
Resumen-Tema-3-Instru.pdf
Resumen-tema-4-instru.pdf
Resumen-Tema-5-Instru.pdf
Tema-6-Instru.pdf

practicas

-

Previos

He publicado nuevos practicas de 3º Instrumentación Electrónica I: Previos

Previo-2-instru.pdf
Previo-1-instru.pdf
Previo-3-instru.pdf
P04filtrosactivos.pdf
P05SistemasdeMedidaV3.pdf
Previo-6-instru.pdf

ejercicios

-

BOLETINES 23-24

He publicado nuevos ejercicios de 3º Instrumentación Electrónica I: BOLETINES 23-24

BOLETIN-1-INSTRUMENTACION.pdf
Boletin-2-Instrumentacion-Electronica.pdf
Boletin-4-Instru.pdf
Boletin-5-Instru.pdf
boletin-SINTESIS.pdf
Boletin-7-Instru.pdf

He publicado nuevos apuntes de 3º Instrumentación Electrónica I: Formulario.pdf

3 páginas

He publicado nuevos examenes de 3º Instrumentación Electrónica I: Formulario-2o-parcial.pdf

6 páginas

He publicado nuevos ejercicios de 3º Instrumentación Electrónica I: Boletin-5-instru.pdf

11 páginas

He publicado nuevos ejercicios de 3º Instrumentación Electrónica I: Ejercicios-boletin-1-t5.pdf

6 páginas

He publicado nuevos ejercicios de 3º Instrumentación Electrónica I: Ejercicios-boletin-1-t5-p2.pdf

8 páginas

He publicado nuevos apuntes de 3º Instrumentación Electrónica I: Tema-5.4teoria.pdf

3 páginas

He publicado nuevos apuntes de 3º Instrumentación Electrónica I: teoria-5.3-Aproximaciones-de-la-funcion-de-transferencia.pdf

3 páginas

He publicado nuevos apuntes de 3º Instrumentación Electrónica I: Tema-5.1-Filtros-activos-teoria.pdf

2 páginas

He publicado nuevos apuntes de 3º Instrumentación Electrónica I: Tema-5.2-funciones-de-transferencia-teoria.pdf

4 páginas

He publicado nuevos apuntes de 3º Instrumentación Electrónica I: Funciones-de-transferencia-formulario-tema-5.2.pdf

1 página

He publicado nuevos apuntes de 3º Instrumentación Electrónica I: Teoria-1-parcial.pdf

7 páginas

He publicado nuevos ejercicios de 3º Instrumentación Electrónica I: Ejercicios propuestos 1º parcial.pdf

12 páginas

He publicado nuevos ejercicios de 3º Instrumentación Electrónica I: Boletin-2.pdf

14 páginas

He publicado nuevos ejercicios de 3º Instrumentación Electrónica I: Boletin-1.pdf

8 páginas

He publicado nuevos apuntes de 3º Instrumentación Electrónica I: T3-teoria-resumen.pdf

4 páginas

He publicado nuevos apuntes de 3º Instrumentación Electrónica I: T2-resumen-teoria.pdf

5 páginas

He publicado nuevos apuntes de 3º Instrumentación Electrónica I: T1-resumen-teorico.pdf

1 página

He publicado nuevos ejercicios de 3º Instrumentación Electrónica I: T1-ejercicios.pdf

3 páginas

He publicado nuevos ejercicios de 3º Instrumentación Electrónica I: Boletines-resueltos.pdf

38 páginas
Anónimo

@Anónimo

apuntes

-

23-24

He publicado nuevos apuntes de 3º Instrumentación Electrónica I: 23-24

01.INTRO.BOLETINEJERCICIOS.V4.pdf
01.INTRO.PRESENTACION.V3.pdf

ejercicios

-

Boletines 22/23

He publicado nuevos ejercicios de 3º Instrumentación Electrónica I: Boletines 22/23

Bol. 1 - Introducción (Resuelto).pdf
Bol. 2 -Circuitos Auxiliares (Resuelto).pdf
Bol. 5 - Filtros (Resuelto).pdf

apuntes

-

Instrumentación Electrónica

He publicado nuevos apuntes de 3º Instrumentación Electrónica I: Instrumentación Electrónica

05.pdf
Boletin-ejercicios-sintesisv2.pdf
05.pdf
05.pdf
05.pdf

ejercicios

-

Boletines y teoría random

He publicado nuevos ejercicios de 3º Instrumentación Electrónica I: Boletines y teoría random

Boletin-4-y-5.pdf
Boletin-7.pdf
Teoria-Random.pdf
Boletines-1-y-2.pdf
Boletin-Sintesis.pdf
Ejercicios.pdf
¡Estás al día!

¡Estás al día!

Has visto todos los archivos