chevron_left
chevron_right
Todo
Apuntes
Exámenes
chevron_left
chevron_right

He publicado nuevos examenes de 1º Instrumentos Matemáticos Para la Empresa: Parcial 1 (con solución).pdf

4 páginas

He publicado nuevos apuntes de 1º Instrumentos Matemáticos Para la Empresa: Tema 13 (no hay 12) RENTAS FINANCIERAS.pdf

1 página

He publicado nuevos apuntes de 1º Instrumentos Matemáticos Para la Empresa: Tema-11-no-hay-10-CAPITALES-FINANCIEROS.pdf

1 página

He publicado nuevos apuntes de 1º Instrumentos Matemáticos Para la Empresa: Tema-9-INTEGRALES-DEFINIDAS-VALOR-DEL-AREA-ENTRE-FX-Y-EJE-X.pdf

1 página

He publicado nuevos apuntes de 1º Instrumentos Matemáticos Para la Empresa: Tema-8-no-hay-7-INTEGRALES.pdf

1 página

He publicado nuevos apuntes de 1º Instrumentos Matemáticos Para la Empresa: Tema-6-APLICACIONES-MONOTONIA-CURVATURA-Y-OPTIMIZACION.pdf

1 página

He publicado nuevos apuntes de 1º Instrumentos Matemáticos Para la Empresa: Tema-5-DERIVABILIDAD.pdf

1 página

He publicado nuevos apuntes de 1º Instrumentos Matemáticos Para la Empresa: Tema-4-CONTINUIDAD-Y-ASINTOTAS.pdf

1 página

He publicado nuevos apuntes de 1º Instrumentos Matemáticos Para la Empresa: Tema-3-LIMITES-EN-FUNCIONES-DE-UNA-VARIABLE.pdf

1 página

He publicado nuevos apuntes de 1º Instrumentos Matemáticos Para la Empresa: Tema-2-CARACTERISTICAS-DE-UNA-FUNCION.pdf

1 página

He publicado nuevos apuntes de 1º Instrumentos Matemáticos Para la Empresa: Tema-1-FUNCIONES.pdf

1 página

He publicado nuevos apuntes de 1º Instrumentos Matemáticos Para la Empresa: Apuntes instrumentos matematicos Alfredo 2023/24.pdf

32 páginas

He publicado nuevos examenes de 1º Instrumentos Matemáticos Para la Empresa: examen-junio-2023-mates.pdf

2 páginas

He publicado nuevos examenes de 1º Instrumentos Matemáticos Para la Empresa: examen-enero-2023-mates.pdf

2 páginas

He publicado nuevos examenes de 1º Instrumentos Matemáticos Para la Empresa: ENE2023DADE.pdf

12 páginas
Anónimo

@Anónimo

He publicado nuevos apuntes de 1º Instrumentos Matemáticos Para la Empresa: Instrumentos matemáticos para la empresa, apuntes completos.pdf

11 páginas

He publicado nuevos apuntes de 1º Instrumentos Matemáticos Para la Empresa: formulas-instrumentos-matematicos.pdf

2 páginas

apuntes

-

Instrumentos Matemáticos para la empresa

He publicado nuevos apuntes de 1º Instrumentos Matemáticos Para la Empresa: Instrumentos Matemáticos para la empresa

control-test.pdf
T1.-1.2.3.4.5-Conceptos-basicos-funcion.pdf
T1.-6.7-Limites-y-continuidad.pdf
T1.-8.9-Derivadas.pdf
T1.-10.11.12-Aplicaciones-derivada-y-ejercicios.pdf
T2.-13.14-Calculo-de-primitivas.pdf

He publicado nuevos apuntes de 1º Instrumentos Matemáticos Para la Empresa: Introduccion-indice.pdf

1 página

He publicado nuevos apuntes de 1º Instrumentos Matemáticos Para la Empresa: tema1.pdf

22 páginas

Profesor: Carlos Manuel Fernández

3 páginas

He publicado nuevos apuntes de 1º Instrumentos Matemáticos Para la Empresa: parcial-2.pdf

3 páginas
Anónimo

@Anónimo

He publicado nuevos apuntes de 1º Instrumentos Matemáticos Para la Empresa: TEMAS-1-4.pdf

6 páginas
Anónimo

@Anónimo

apuntes

-

Apuntes

He publicado nuevos apuntes de 1º Instrumentos Matemáticos Para la Empresa: Apuntes

tema2.pdf
Erratas-t2.pdf
tema3.pdf
tema4.pdf
tema1.pdf
tema5.pdf
Anónimo

@Anónimo

He publicado nuevos examenes de 1º Instrumentos Matemáticos Para la Empresa: IMenero2020-DADE-A-soluciones.pdf

5 páginas
Anónimo

@Anónimo

He publicado nuevos examenes de 1º Instrumentos Matemáticos Para la Empresa: Examen Instrumentos DADE 180110.pdf

3 páginas
Anónimo

@Anónimo

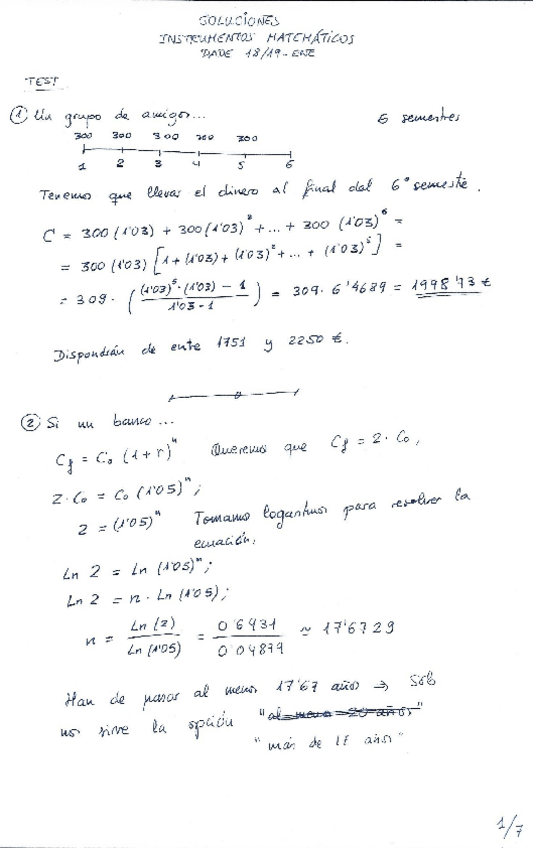
He publicado nuevos examenes de 1º Instrumentos Matemáticos Para la Empresa: soluciones instrumentos dade ene19.pdf

7 páginas

apuntes

-

Instrumentos Matemáticos Para la Empresa

Os subo todo lo que tengo de la asignatura :)

T1-+Funciones+de+una+variable.pdf
T2- Calculo Integral.pdf
T3- Matematicas Financieras.pdf
TEST.4 Funciones.pdf
TEST.5 Mat.financieras.pdf
TEST.6 Capitalización.pdf
¡Estás al día!

¡Estás al día!

Has visto todos los archivos