chevron_left
chevron_right
Todo
Apuntes
chevron_left
chevron_right

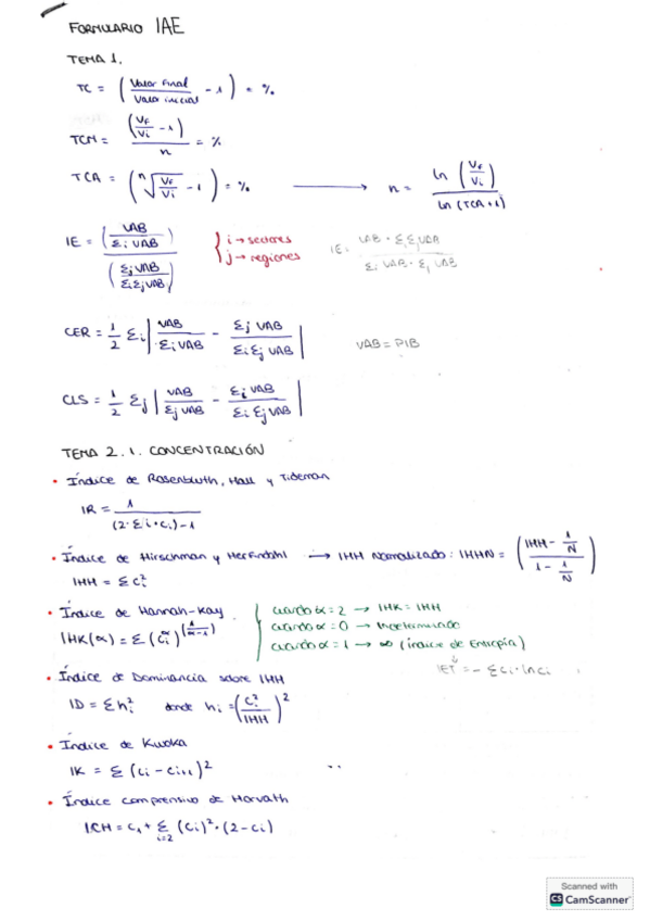
He publicado nuevos apuntes de 3º Instrumentos Para el Análisis del entorno Económico: FORMULARIO-COMPLETO-IAE.pdf

5 páginas

apuntes

-

Apuntes de clase, libro y diapositivas

He publicado nuevos apuntes de 3º Instrumentos Para el Análisis del entorno Económico: Apuntes de clase, libro y diapositivas

TEMA-2-IAE.pdf
TEMA-1-IAE.pdf
TEMA-4-IAE.pdf
TEMA-3-IAE.pdf
TEMA-5-IAE.pdf

He publicado nuevos apuntes de 3º Instrumentos Para el Análisis del entorno Económico: EXAMEN-enunciado.pdf

3 páginas
¡Estás al día!

¡Estás al día!

Has visto todos los archivos