Instrumentos y Técnicas de Aprendizaje

Todo
Apuntes
Ejercicios
Exámenes
Prácticas
Test
Trabajos
chevron_left
chevron_right
Anónimo

@Anónimo

Apuntes ITA de international business UV

8 páginas

He publicado nuevos apuntes de 1º Instrumentos y Técnicas de Aprendizaje: INTRODUCCION-EXCEL.pdf

4 páginas

He publicado nuevos practicas de 1º Instrumentos y Técnicas de Aprendizaje: i03-Pedido-materialporhacer.pdf

2 páginas

He publicado nuevos practicas de 1º Instrumentos y Técnicas de Aprendizaje: i02-Precioconivapor-hacer.pdf

2 páginas

He publicado nuevos apuntes de 1º Instrumentos y Técnicas de Aprendizaje: i01-Venta-frutasporhacer.pdf

2 páginas

He publicado nuevos apuntes de 1º Instrumentos y Técnicas de Aprendizaje: i00-TABLA-DE-MULTIPLICAR.pdf

1 página

He publicado nuevos practicas de 1º Instrumentos y Técnicas de Aprendizaje: 07-Poblacinporhacer.pdf

12 páginas

He publicado nuevos practicas de 1º Instrumentos y Técnicas de Aprendizaje: 06-Ficha-de-pedidoporhacer.pdf

4 páginas

He publicado nuevos apuntes de 1º Instrumentos y Técnicas de Aprendizaje: 05-Pisosporhacer.pdf

2 páginas

He publicado nuevos practicas de 1º Instrumentos y Técnicas de Aprendizaje: 04-Notasporhacer.pdf

4 páginas

He publicado nuevos practicas de 1º Instrumentos y Técnicas de Aprendizaje: 03-Temperaturasporhacer.pdf

2 páginas

He publicado nuevos practicas de 1º Instrumentos y Técnicas de Aprendizaje: 01-Papeleraporhacer.pdf

2 páginas

He publicado nuevos practicas de 1º Instrumentos y Técnicas de Aprendizaje: 02-Material-de-Oficinaporhacer.pdf

2 páginas

He publicado nuevos ejercicios de 1º Instrumentos y Técnicas de Aprendizaje: EjercicioExcelEntregar.pdf

22 páginas

He publicado nuevos apuntes de 1º Instrumentos y Técnicas de Aprendizaje: ITA-1-to-4.docx

word

He publicado nuevos apuntes de 1º Instrumentos y Técnicas de Aprendizaje: ITA-Tema-3.pdf

4 páginas

He publicado nuevos apuntes de 1º Instrumentos y Técnicas de Aprendizaje: Apuntes-ITA-vídeos-etica.pdf

8 páginas

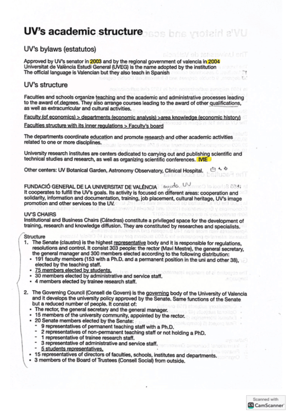
He publicado nuevos apuntes de 1º Instrumentos y Técnicas de Aprendizaje: APUNTES-ITA-TEMA-0-1-Y-2.pdf

41 páginas
Anónimo

@Anónimo

He publicado nuevos examenes de 1º Instrumentos y Técnicas de Aprendizaje: ITA-FINAL-EXAM-jan2025.pdf

6 páginas
Anónimo

@Anónimo

He publicado nuevos examenes de 1º Instrumentos y Técnicas de Aprendizaje: ITA-TEST-2-PARTIAL.pdf

3 páginas

He publicado nuevos apuntes de 1º Instrumentos y Técnicas de Aprendizaje: Learninstandtechn-unit-5.pdf

7 páginas

He publicado nuevos apuntes de 1º Instrumentos y Técnicas de Aprendizaje: Learninstandtechn-unit-4.pdf

4 páginas

He publicado nuevos apuntes de 1º Instrumentos y Técnicas de Aprendizaje: Learninstandtechn-unit-3.pdf

2 páginas

He publicado nuevos apuntes de 1º Instrumentos y Técnicas de Aprendizaje: Learninstandtechn-unit-2.pdf

4 páginas

He publicado nuevos apuntes de 1º Instrumentos y Técnicas de Aprendizaje: Learninstandtechn-unit-1.pdf

3 páginas

He publicado nuevos apuntes de 1º Instrumentos y Técnicas de Aprendizaje: ita-unit-7.pdf

1 página

He publicado nuevos apuntes de 1º Instrumentos y Técnicas de Aprendizaje: ita-unit-6.pdf

1 página

He publicado nuevos apuntes de 1º Instrumentos y Técnicas de Aprendizaje: ita-unit-5.pdf

1 página

He publicado nuevos apuntes de 1º Instrumentos y Técnicas de Aprendizaje: ita-unit-4.pdf

1 página

He publicado nuevos apuntes de 1º Instrumentos y Técnicas de Aprendizaje: ita-unit-3.pdf

2 páginas

He publicado nuevos apuntes de 1º Instrumentos y Técnicas de Aprendizaje: ita-unit-2.pdf

1 página

He publicado nuevos apuntes de 1º Instrumentos y Técnicas de Aprendizaje: ita-unit-1.pdf

3 páginas

He publicado nuevos practicas de 1º Instrumentos y Técnicas de Aprendizaje: PRACTICA-Marketing-digital-Zara..pdf

2 páginas

He publicado nuevos examenes de 1º Instrumentos y Técnicas de Aprendizaje: contenido-examen-ITA.pdf

2 páginas

examenes

-

FINAL EXCEL enero/2024

He publicado nuevos examenes de 1º Instrumentos y Técnicas de Aprendizaje: FINAL EXCEL enero/2024

Examen-EXCEL-enero2024-parte-1.pdf
Preguntas-resueltas-con-formulas-parte-2.pdf

He publicado nuevos apuntes de 1º Instrumentos y Técnicas de Aprendizaje: Teoria-ITA-IMPORTANTE.pdf

6 páginas

apuntes

-

prácticas gib

He publicado nuevos apuntes de 1º Instrumentos y Técnicas de Aprendizaje: prácticas gib

Busqueda-referencias.pdf
BusquedawebUV.pdf
Ejercicios-de-busqueda-en-la-web-de-la-UV.pdf
Practica-SABIremoved.pdf

He publicado nuevos apuntes de 1º Instrumentos y Técnicas de Aprendizaje: FINAL-EXAM-2023-explained-quantitative-techniques.pdf

3 páginas

practicas

-

Prácticas ITA

He publicado nuevos practicas de 1º Instrumentos y Técnicas de Aprendizaje: Prácticas ITA

CID-1-ITA.odt
Consultes-Bases-Dades-hecha.xlsx
Exercici-de-SOLVER.xlsx
Exercici-Excel-II-hecho.xlsx
Practica-1-Excel.ods
ResumenManualEscrituraPractica-hecha.docx
Anónimo

@Anónimo

He publicado nuevos trabajos de 1º Instrumentos y Técnicas de Aprendizaje: CASO-FORD-PINTO.pdf

9 páginas

He publicado nuevos examenes de 1º Instrumentos y Técnicas de Aprendizaje: EXAMEN RESUELTO ITA WORD ENERO 2024.docx

word

Solo preguntas

2 páginas

He publicado nuevos trabajos de 1º Instrumentos y Técnicas de Aprendizaje: ÉTICA EMPRESARIAL PINTO FORD 2024.pdf

5 páginas

He publicado nuevos examenes de 1º Instrumentos y Técnicas de Aprendizaje: ITAGENER2024Excel-.xlsx

excel

He publicado nuevos examenes de 1º Instrumentos y Técnicas de Aprendizaje: ITAGENER2024Word..docx

word

He publicado nuevos examenes de 1º Instrumentos y Técnicas de Aprendizaje: ita-exam.pdf

1 página

apuntes

-

ita apuntes y practicas gib

He publicado nuevos apuntes de 1º Instrumentos y Técnicas de Aprendizaje: ita apuntes y practicas gib

Apuntes-ITA1.docx
SpainsHistoricalNationalAccounts1850-20212015base1.12.22frdp.xlsx
S1dataset1.xlsx
S1dataset.xlsx
Apuntes-ITA.docx
Lab-part-2.xlsx
Anónimo

@Anónimo

He publicado nuevos examenes de 1º Instrumentos y Técnicas de Aprendizaje: ITA-FINAL-EXAM 2023 2024.pdf

6 páginas
Anónimo

@Anónimo

examenes

-

PARCIALES

He publicado nuevos examenes de 1º Instrumentos y Técnicas de Aprendizaje: PARCIALES

ITA-Test-1-parcial.pdf
ITA-Test-2-parcial.pdf
Anónimo

@Anónimo

test

-

QUIZ

He publicado nuevos test de 1º Instrumentos y Técnicas de Aprendizaje: QUIZ

ITA-Quiz-2.pdf
ITA-Quiz-3.pdf

He publicado nuevos test de 1º Instrumentos y Técnicas de Aprendizaje: Captura-de-pantalla-2024-01-08-222521.png

Imagen

He publicado nuevos test de 1º Instrumentos y Técnicas de Aprendizaje: Captura-de-pantalla-2024-01-08-222509.png

Imagen
Anónimo

@Anónimo

He publicado nuevos test de 1º Instrumentos y Técnicas de Aprendizaje: Captura-de-pantalla-2024-01-08-222452.png

Imagen

He publicado nuevos apuntes de 1º Instrumentos y Técnicas de Aprendizaje: resumen-todo-ITA-ingles.pdf

20 páginas

He publicado nuevos apuntes de 1º Instrumentos y Técnicas de Aprendizaje: ITA-PREGUNTAS-EXAMEN.pdf

5 páginas

He publicado nuevos practicas de 1º Instrumentos y Técnicas de Aprendizaje: Tasques-CID-1.pdf

2 páginas

He publicado nuevos practicas de 1º Instrumentos y Técnicas de Aprendizaje: Practica-caso-PINTO.pdf

3 páginas

He publicado nuevos apuntes de 1º Instrumentos y Técnicas de Aprendizaje: Apuntes-ITA.pdf

5 páginas

He publicado nuevos apuntes de 1º Instrumentos y Técnicas de Aprendizaje: RESUMEN-TEMA-0-1-Y-2.pdf

12 páginas

He publicado nuevos trabajos de 1º Instrumentos y Técnicas de Aprendizaje: Trabajo-escudo-de-la-universidad-de-Valencia.pdf

1 página