Integración de Funciones de Varias Variables

chevron_left
chevron_right
Todo
Apuntes
Ejercicios
chevron_left
chevron_right

apuntes

-

RESUMEN APUNTES Y DEMOSTRACIONES DE TODOS LOS TEMAS DE IFVV

He publicado nuevos apuntes de 2º Integración de Funciones de Varias Variables: RESUMEN APUNTES Y DEMOSTRACIONES DE TODOS LOS TEMAS DE IFVV

IFVV-RESUMEN-APUNTES-TEMA-1-MEDIDA-DE-LEBESGUE-EN-RN-DEMOSTRACIONES.pdf
IFVV-RESUMEN-APUNTES-TEMA-2-INTEGRACION-REITERADA-CON-DEMOSTRACIONES.pdf
IFVV-RESUMEN-APUNTES-TEMA-3-INTEGRALES-DE-LINEA-DEMOSTRACIONES.pdf
IFVV-RESUMEN-APUNTES-TEMA-4-INTEGRALES-DE-SUPERFICIE-DEMOSTRACIONES.pdf

apuntes

-

APUNTES CLASE DE TODOS LOS TEMAS DE IFVV

He publicado nuevos apuntes de 2º Integración de Funciones de Varias Variables: APUNTES CLASE DE TODOS LOS TEMAS DE IFVV

IFVV-TEMA-1-MEDIDA-DE-LEBESGUE-EN-Rn-APUNTES-DE-CLASE--EJERCICIOS.pdf

ejercicios

-

Boletines Resueltos

Hay muy pocos ejercicios de los últimos boletines, son todos muy parecidos

1-Medida-de-Lebesgue-en-Rn.pdf
2-Integrales-multiples.pdf
4-Integrales-de-superficie.pdf

apuntes

-

Preguntas examen

He publicado nuevos apuntes de 2º Integración de Funciones de Varias Variables: Preguntas examen

2-Preguntas-de-teoria.pdf
1-Preguntas-de-teoria.pdf

ejercicios

-

Relación de problemas resueltos

He publicado nuevos ejercicios de 2º Integración de Funciones de Varias Variables: Relación de problemas resueltos

ProbT4resueltosw-21-28.pdf
ProbT2resueltosw-13-23.pdf
ProbT2resueltosw-1-12.pdf
ProbT3resueltosw-13-23.pdf
ProbT3resueltosw-1-12.pdf
ProbT4resueltosw-11-20.pdf

ejercicios

-

Relación de problemas

He publicado nuevos ejercicios de 2º Integración de Funciones de Varias Variables: Relación de problemas

ProblT3w.pdf
ProblT1w.pdf
ProblT2w.pdf
ProblT4w.pdf

apuntes

-

Teoría (transparencias)

He publicado nuevos apuntes de 2º Integración de Funciones de Varias Variables: Teoría (transparencias)

Tema4w.pdf
Tema3w.pdf
Tema2w.pdf
Tema1w.pdf

He publicado nuevos apuntes de 2º Integración de Funciones de Varias Variables: IFVVEjerciciosResueltos.pdf

44 páginas

apuntes

-

Apuntes IFVV

He publicado nuevos apuntes de 2º Integración de Funciones de Varias Variables: Apuntes IFVV

IFVVMisApuntes4.pdf
IFVVMisApuntes7.pdf
IFVVMisApuntes1.pdf
IFVVMisApuntes2.pdf
IFVVMisApuntes6.pdf
IFVVMisApuntes5.pdf

apuntes

-

PREGUNTAS TEORIA

He publicado nuevos apuntes de 2º Integración de Funciones de Varias Variables: PREGUNTAS TEORIA

PREGUNTAS-DE-TEORIA-PRIMER-PARCIAL-IFVV.pdf
wuolah-free-Demostraciones-2-parcial-IFVV.pdf

apuntes

-

DEMOSTRACIONES TEMA 5

He publicado nuevos apuntes de 2º Integración de Funciones de Varias Variables: DEMOSTRACIONES TEMA 5

Gauss.pdf
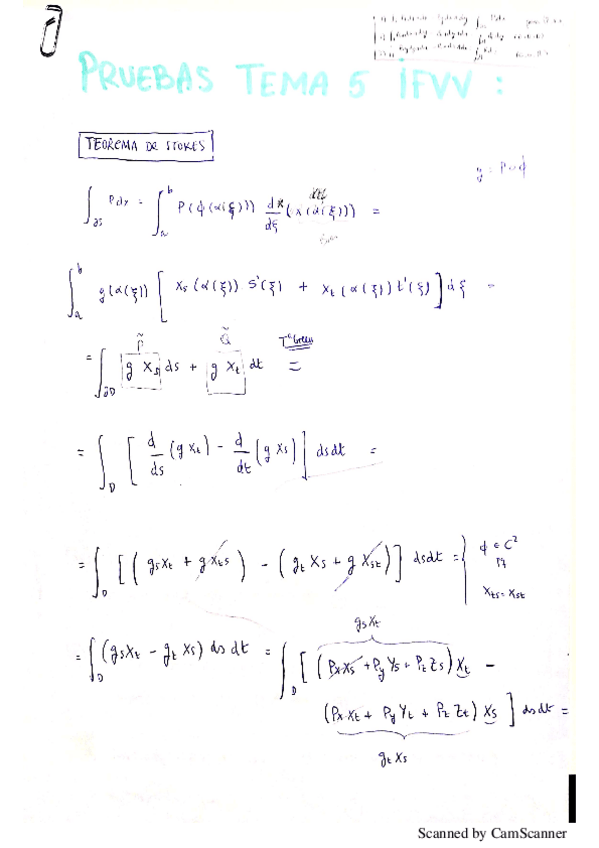
Stokes.pdf

apuntes

-

DEMOSTRACIONES TEMA 3

He publicado nuevos apuntes de 2º Integración de Funciones de Varias Variables: DEMOSTRACIONES TEMA 3

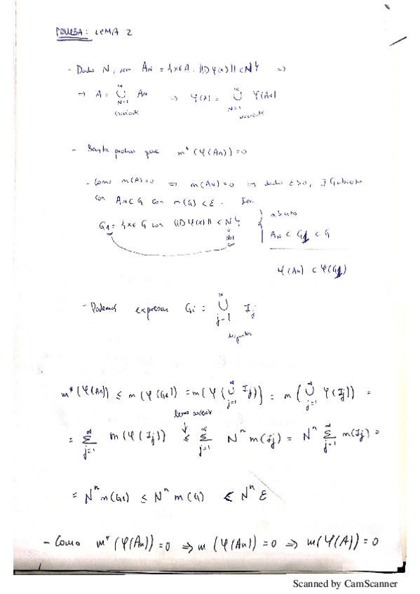
A-mide-cero-phiA-tambien.pdf
phi-isomorfismo-phiA-medible.pdf
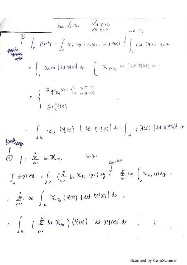
Cambio-de-variable.pdf

apuntes

-

DEMOSTRACIONES TEMA 2

He publicado nuevos apuntes de 2º Integración de Funciones de Varias Variables: DEMOSTRACIONES TEMA 2

mAxBmA.pdf
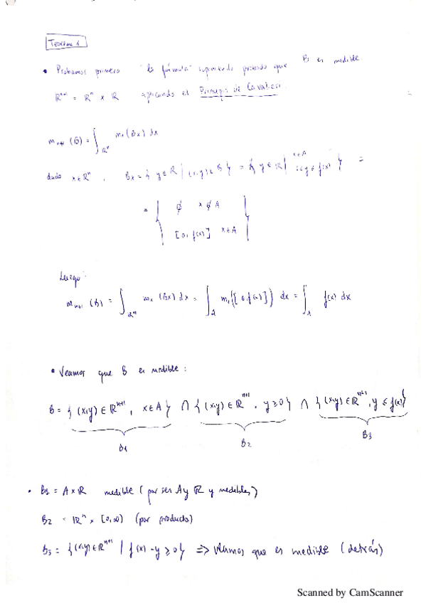
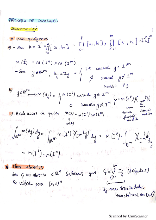
Principio-de-Cavalieri.pdf
B-medible.pdf
Fubini-para-no-negativas.pdf

apuntes

-

DEMOSTRACIONES TEMA 1

He publicado nuevos apuntes de 2º Integración de Funciones de Varias Variables: DEMOSTRACIONES TEMA 1

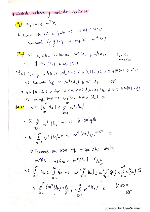
Medida-exterior-y-medida-interiror.pdf
Teorema-de-estructura-de-los-conjuntos-medibles-lebesgue.pdf
PREGUNTAS-DE-TEORIA-PRIMER-PARCIAL-IFVV.pdf
Medida-de-lebesgue-invariante-por-traslaciones.pdf
Conjuntos-de-medida-exterior-finita.pdf
Efecto-de-las-homotecias-sobre-la-medida-de-lebesgue.pdf

ejercicios

-

RESUELTOS POR TEMAS

He publicado nuevos ejercicios de 2º Integración de Funciones de Varias Variables: RESUELTOS POR TEMAS

RESUELTOS-Ejercicios-Tema-5-IFVV.pdf
RESUELTOS-Ejercicios-Tema-4-IFVV.pdf
ESUELTOS-Ejercicios-Tema-3-Ifvv.pdf
RESUELTOS-Ejercicios-Tema-2-Ifvv.pdf
¡Estás al día!

¡Estás al día!

Has visto todos los archivos