chevron_left
chevron_right
Todo
Apuntes
Ejercicios
Exámenes
chevron_left
chevron_right

apuntes

-

RESUMEN APUNTES Y DEMOSTRACIONES DE TODOS LOS TEMAS DE IFVV

He publicado nuevos apuntes de 2º Integración de Funciones de Varias Variables: RESUMEN APUNTES Y DEMOSTRACIONES DE TODOS LOS TEMAS DE IFVV

IFVV-RESUMEN-APUNTES-TEMA-1-MEDIDA-DE-LEBESGUE-EN-RN-DEMOSTRACIONES.pdf
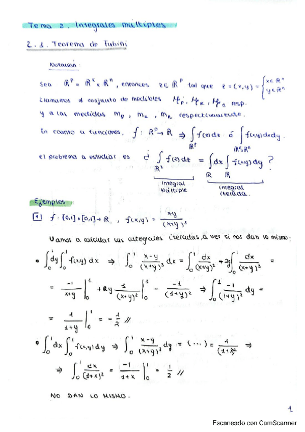
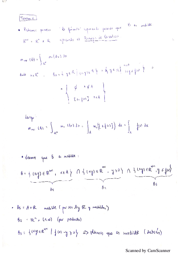
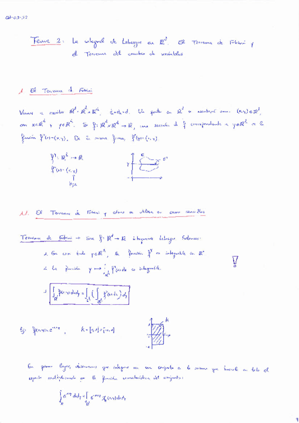
IFVV-RESUMEN-APUNTES-TEMA-2-INTEGRACION-REITERADA-CON-DEMOSTRACIONES.pdf
IFVV-RESUMEN-APUNTES-TEMA-3-INTEGRALES-DE-LINEA-DEMOSTRACIONES.pdf
IFVV-RESUMEN-APUNTES-TEMA-4-INTEGRALES-DE-SUPERFICIE-DEMOSTRACIONES.pdf

apuntes

-

APUNTES CLASE DE TODOS LOS TEMAS DE IFVV

He publicado nuevos apuntes de 2º Integración de Funciones de Varias Variables: APUNTES CLASE DE TODOS LOS TEMAS DE IFVV

IFVV-TEMA-1-MEDIDA-DE-LEBESGUE-EN-Rn-APUNTES-DE-CLASE--EJERCICIOS.pdf

ejercicios

-

Algunos EJERCICIOS RESUELTOS

He publicado nuevos ejercicios de 2º Integración de Funciones de Varias Variables: Algunos EJERCICIOS RESUELTOS

Problemas-U1watermarked.pdf
Problemas-U2watermarked.pdf
Problemas-U3watermarked.pdf
Problemas-U4watermarked.pdf

He publicado nuevos apuntes de 2º Integración de Funciones de Varias Variables: Preguntas-de-teoriawatermarked.pdf

26 páginas

He publicado nuevos examenes de 2º Integración de Funciones de Varias Variables: Examen-Parcial-1-2024-Calderon-Resuelto.pdf

8 páginas

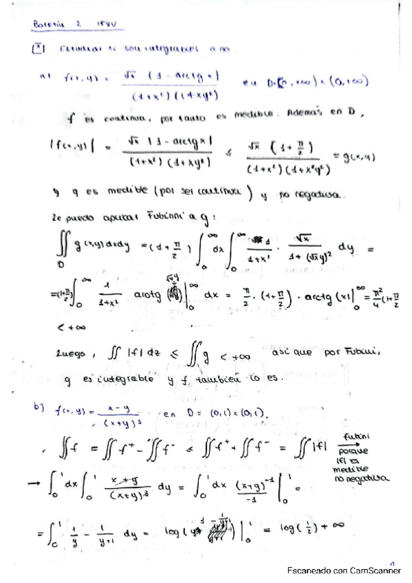
He publicado nuevos ejercicios de 2º Integración de Funciones de Varias Variables: Boletin-tema-2-Calderon-Resuelto.pdf

39 páginas

He publicado nuevos apuntes de 2º Integración de Funciones de Varias Variables: Resumen-Tema-2-IFVV.pdf

1 página

He publicado nuevos apuntes de 2º Integración de Funciones de Varias Variables: Preguntas-de-teoria-1er-Parcial-IFVV.pdf

14 páginas

He publicado nuevos apuntes de 2º Integración de Funciones de Varias Variables: IFVV-Apuntes-Tema-2.pdf

14 páginas

He publicado nuevos apuntes de 2º Integración de Funciones de Varias Variables: IFVV-Apuntes-Tema-1.pdf

12 páginas

En general están corregidos casi todos, hay algunos que no me salían, los he dejado a medias etcétera. Fiaros de *casi* todo.

28 páginas

He publicado nuevos ejercicios de 2º Integración de Funciones de Varias Variables: Ejercicios-IFVV-Tema-3.pdf

6 páginas

He publicado nuevos apuntes de 2º Integración de Funciones de Varias Variables: Resumen-IFVV-Tema-3-y-4.pdf

3 páginas

He publicado nuevos apuntes de 2º Integración de Funciones de Varias Variables: Preguntas-de-teoria-IFVV-Parcial-2.pdf

15 páginas

apuntes

-

Preguntas de teoría

He publicado nuevos apuntes de 2º Integración de Funciones de Varias Variables: Preguntas de teoría

Teoria-Tema-1.pdf
Teoria-Tema-2.pdf
Teoria-Tema-3.pdf

ejercicios

-

Problemas resueltos

He publicado nuevos ejercicios de 2º Integración de Funciones de Varias Variables: Problemas resueltos

IFVV-Problemas-Tema-1.pdf
IFVV-Problemas-Tema-2.pdf
IFVV-Problemas-Tema-3.pdf
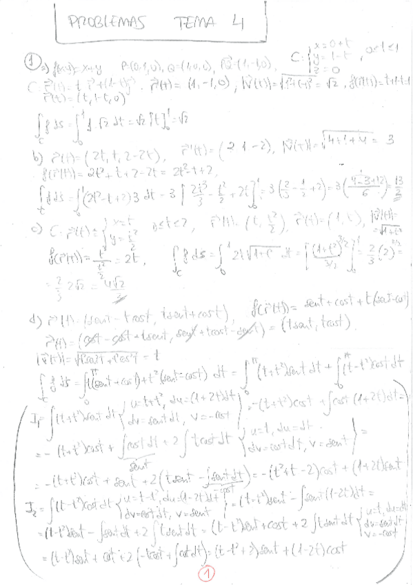
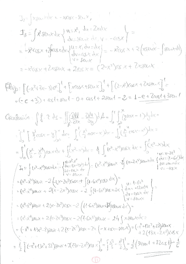
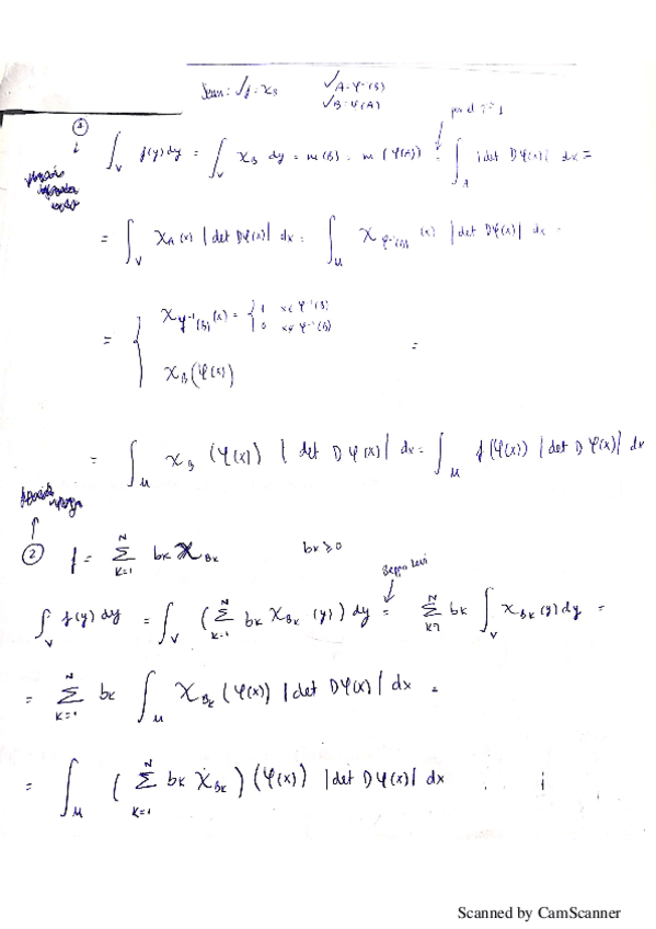
IFVV-Problemas-Tema-4.pdf

apuntes

-

Apuntes completos

He publicado nuevos apuntes de 2º Integración de Funciones de Varias Variables: Apuntes completos

IFVV-Apuntes-Tema-1.pdf
IFVV-Apuntes-Tema-2.pdf
IFVV-Apuntes-Tema-3.pdf
IFVV-Apuntes-Tema-4.pdf

He publicado nuevos apuntes de 2º Integración de Funciones de Varias Variables: IFVV-apuntes.pdf

107 páginas

He publicado nuevos apuntes de 2º Integración de Funciones de Varias Variables: Teoria-segundo-parcial-IFVV.pdf

14 páginas

He publicado nuevos apuntes de 2º Integración de Funciones de Varias Variables: Teoria-primer-parcial-IFVV.pdf

26 páginas

apuntes

-

Temas IFVV

He publicado nuevos apuntes de 2º Integración de Funciones de Varias Variables: Temas IFVV

T4-IFVV-teoria.pdf
T3-IFVV-teoria.pdf
T2-IFVV-teoria.pdf
T1-IFVV-teoria.pdf

He publicado nuevos apuntes de 2º Integración de Funciones de Varias Variables: Parciales-IFVV.pdf

2 páginas

He publicado nuevos apuntes de 2º Integración de Funciones de Varias Variables: IFVV-ejercicios-todos-los-temas.pdf

49 páginas

He publicado nuevos apuntes de 2º Integración de Funciones de Varias Variables: Teoria-1P-Grupo-B.pdf

16 páginas

ejercicios

-

Relación de problemas resueltos

He publicado nuevos ejercicios de 2º Integración de Funciones de Varias Variables: Relación de problemas resueltos

ProbT2resueltosw-13-23.pdf
ProbT4resueltosw-11-20.pdf
ProbT4resueltosw-1-10.pdf
ProbT1resueltosw.pdf
ProbT3resueltosw-1-12.pdf
ProbT3resueltosw-13-23.pdf

ejercicios

-

Relación de problemas

He publicado nuevos ejercicios de 2º Integración de Funciones de Varias Variables: Relación de problemas

ProblT2w.pdf
ProblT4w.pdf
ProblT3w.pdf
ProblT1w.pdf

apuntes

-

Teoría (transparencias)

He publicado nuevos apuntes de 2º Integración de Funciones de Varias Variables: Teoría (transparencias)

Tema4w.pdf
Tema1w.pdf
Tema2w.pdf
Tema3w.pdf

He publicado nuevos apuntes de 2º Integración de Funciones de Varias Variables: IFVVEjerciciosResueltos.pdf

44 páginas

apuntes

-

Apuntes IFVV

He publicado nuevos apuntes de 2º Integración de Funciones de Varias Variables: Apuntes IFVV

IFVVMisApuntes7.pdf
IFVVMisApuntes5.pdf
IFVVMisApuntes2.pdf
IFVVMisApuntes3.pdf
IFVVMisApuntes6.pdf
IFVVMisApuntes4.pdf

apuntes

-

PREGUNTAS TEORIA

He publicado nuevos apuntes de 2º Integración de Funciones de Varias Variables: PREGUNTAS TEORIA

wuolah-free-Demostraciones-2-parcial-IFVV.pdf
PREGUNTAS-DE-TEORIA-PRIMER-PARCIAL-IFVV.pdf

apuntes

-

DEMOSTRACIONES TEMA 5

He publicado nuevos apuntes de 2º Integración de Funciones de Varias Variables: DEMOSTRACIONES TEMA 5

Gauss.pdf
Stokes.pdf

apuntes

-

DEMOSTRACIONES TEMA 4

He publicado nuevos apuntes de 2º Integración de Funciones de Varias Variables: DEMOSTRACIONES TEMA 4

Teorema-de-Green.pdf
longitud-de-una-curva-regular.pdf
Independencia-del-camino-de-las-integrales-de-linea.pdf

apuntes

-

DEMOSTRACIONES TEMA 3

He publicado nuevos apuntes de 2º Integración de Funciones de Varias Variables: DEMOSTRACIONES TEMA 3

A-mide-cero-phiA-tambien.pdf
phi-isomorfismo-phiA-medible.pdf
Cambio-de-variable.pdf

apuntes

-

DEMOSTRACIONES TEMA 2

He publicado nuevos apuntes de 2º Integración de Funciones de Varias Variables: DEMOSTRACIONES TEMA 2

mAxBmA.pdf
B-medible.pdf
Principio-de-Cavalieri.pdf
Fubini-para-no-negativas.pdf

apuntes

-

DEMOSTRACIONES TEMA 1

He publicado nuevos apuntes de 2º Integración de Funciones de Varias Variables: DEMOSTRACIONES TEMA 1

Medida-de-um-compacto.pdf
PREGUNTAS-DE-TEORIA-PRIMER-PARCIAL-IFVV.pdf
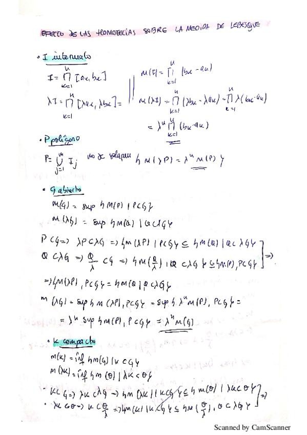
Efecto-de-las-homotecias-sobre-la-medida-de-lebesgue.pdf
Medida-de-lebesgue-invariante-por-traslaciones.pdf
Conjuntos-de-medida-exterior-finita.pdf
Teorema-de-estructura-de-los-conjuntos-medibles-lebesgue.pdf

ejercicios

-

RESUELTOS EJERCICIOS POR TEMAS

He publicado nuevos ejercicios de 2º Integración de Funciones de Varias Variables: RESUELTOS EJERCICIOS POR TEMAS

ESUELTOS-Ejercicios-Tema-3-Ifvv.pdf
RESUELTOS-Ejercicios-Tema-2-Ifvv.pdf
RESUELTOS-Ejercicios-Tema-4-IFVV.pdf
RESUELTOS-Ejercicios-Tema-5-IFVV.pdf
¡Estás al día!

¡Estás al día!

Has visto todos los archivos