Integración de Funciones de Varias Variables

chevron_left
chevron_right
Todo
Apuntes
Ejercicios
Exámenes
chevron_left
chevron_right

apuntes

-

RESUMEN APUNTES Y DEMOSTRACIONES DE TODOS LOS TEMAS DE IFVV

He publicado nuevos apuntes de 2º Integración de Funciones de Varias Variables: RESUMEN APUNTES Y DEMOSTRACIONES DE TODOS LOS TEMAS DE IFVV

IFVV-RESUMEN-APUNTES-TEMA-1-MEDIDA-DE-LEBESGUE-EN-RN-DEMOSTRACIONES.pdf
IFVV-RESUMEN-APUNTES-TEMA-2-INTEGRACION-REITERADA-CON-DEMOSTRACIONES.pdf

apuntes

-

APUNTES CLASE DE TODOS LOS TEMAS DE IFVV

He publicado nuevos apuntes de 2º Integración de Funciones de Varias Variables: APUNTES CLASE DE TODOS LOS TEMAS DE IFVV

IFVV-TEMA-1-MEDIDA-DE-LEBESGUE-EN-Rn-APUNTES-DE-CLASE--EJERCICIOS.pdf

He publicado nuevos apuntes de 2º Integración de Funciones de Varias Variables: Demostraciones-P2-IFVV.pdf

11 páginas

He publicado nuevos apuntes de 2º Integración de Funciones de Varias Variables: Demostraciones-P1-IFVV.pdf

19 páginas

He publicado nuevos apuntes de 2º Integración de Funciones de Varias Variables: LISTADO-DE-TEOREMAS-EXAMEN.pdf

30 páginas

ejercicios

-

EJERCICIOS

He publicado nuevos ejercicios de 2º Integración de Funciones de Varias Variables: EJERCICIOS

EJERCICIOS-PRIMER-PARCIAL-PARTE-1.pdf
EJERCICIOS-PRIMER-PARCIAL-PARTE-2.pdf
EJERCICIOS-SEGUNDO-PARCIAL.pdf

apuntes

-

preguntas de teoría

pregs examen

lista-de-preguntas-de-teoria-IFVV-23-24.pdf

apuntes

-

Tema 4

He publicado nuevos apuntes de 2º Integración de Funciones de Varias Variables: Tema 4

Tema-4.pdf
Ejercicios-tema-4.pdf

apuntes

-

Tema 3

He publicado nuevos apuntes de 2º Integración de Funciones de Varias Variables: Tema 3

Ejercicios-tema-3.pdf
Tema-3.pdf

apuntes

-

Tema 1

He publicado nuevos apuntes de 2º Integración de Funciones de Varias Variables: Tema 1

Apuntes.pdf
Ejercicios.pdf

ejercicios

-

Problemas resueltos

He publicado nuevos ejercicios de 2º Integración de Funciones de Varias Variables: Problemas resueltos

IFVVProblemasTema1.pdf
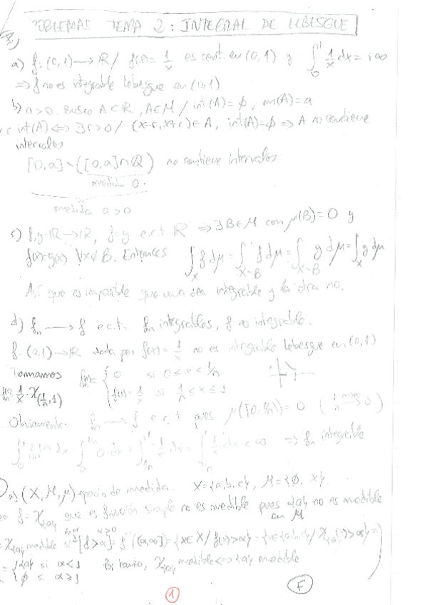
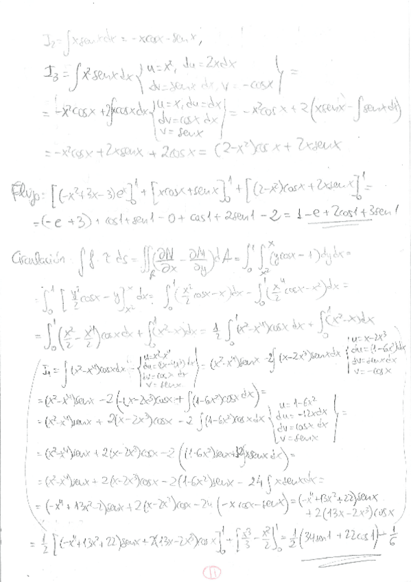
IFVVProblemasTema2.pdf
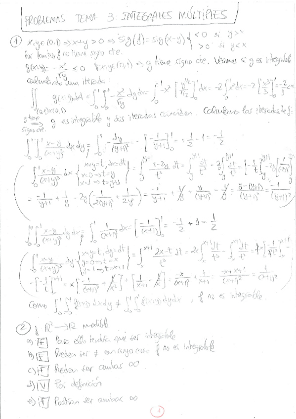
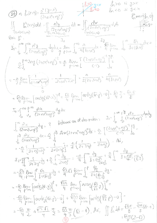
IFVVProblemasTema3.pdf
IFVVProblemasTema4.pdf

apuntes

-

Apuntes completos

He publicado nuevos apuntes de 2º Integración de Funciones de Varias Variables: Apuntes completos

IFVVApuntesTema1.pdf
IFVVApuntesTema2.pdf
IFVVApuntesTema3.pdf
IFVVApuntesTema4.pdf

ejercicios

-

Relación de problemas resueltos

He publicado nuevos ejercicios de 2º Integración de Funciones de Varias Variables: Relación de problemas resueltos

ProbT2resueltosw-13-23.pdf
ProbT3resueltosw-13-23.pdf
ProbT2resueltosw-1-12.pdf
ProbT4resueltosw-21-28.pdf
ProbT3resueltosw-1-12.pdf
ProbT4resueltosw-11-20.pdf

ejercicios

-

Relación de problemas

He publicado nuevos ejercicios de 2º Integración de Funciones de Varias Variables: Relación de problemas

ProblT1w.pdf
ProblT2w.pdf
ProblT4w.pdf
ProblT3w.pdf

apuntes

-

Teoría (transparencias)

He publicado nuevos apuntes de 2º Integración de Funciones de Varias Variables: Teoría (transparencias)

Tema4w.pdf
Tema1w.pdf
Tema3w.pdf
Tema2w.pdf

He publicado nuevos apuntes de 2º Integración de Funciones de Varias Variables: IFVVEjerciciosResueltos.pdf

44 páginas

apuntes

-

Apuntes IFVV

He publicado nuevos apuntes de 2º Integración de Funciones de Varias Variables: Apuntes IFVV

IFVVMisApuntes4.pdf
IFVVMisApuntes7.pdf
IFVVMisApuntes5.pdf
IFVVMisApuntes2.pdf
IFVVMisApuntes6.pdf
IFVVMisApuntes1.pdf

apuntes

-

PREGUNTAS TEORIA

He publicado nuevos apuntes de 2º Integración de Funciones de Varias Variables: PREGUNTAS TEORIA

wuolah-free-Demostraciones-2-parcial-IFVV.pdf
PREGUNTAS-DE-TEORIA-PRIMER-PARCIAL-IFVV.pdf

apuntes

-

DEMOSTRACIONES TEMA 5

He publicado nuevos apuntes de 2º Integración de Funciones de Varias Variables: DEMOSTRACIONES TEMA 5

Gauss.pdf
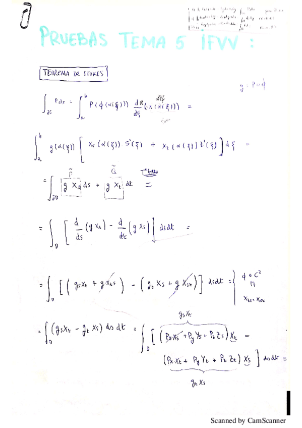
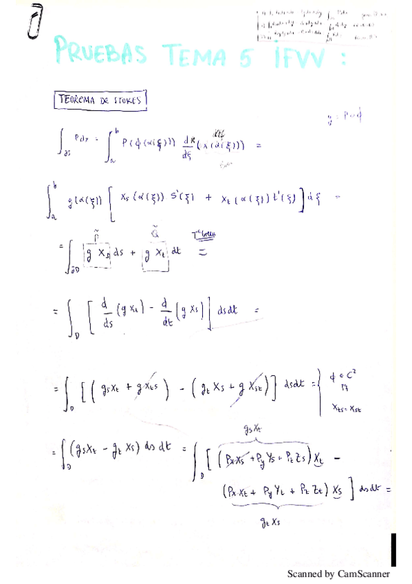
Stokes.pdf

apuntes

-

DEMOSTRACIONES TEMA 4

He publicado nuevos apuntes de 2º Integración de Funciones de Varias Variables: DEMOSTRACIONES TEMA 4

Independencia-del-camino-de-las-integrales-de-linea.pdf
longitud-de-una-curva-regular.pdf
Teorema-de-Green.pdf

apuntes

-

DEMOSTRACIONES TEMA 3

He publicado nuevos apuntes de 2º Integración de Funciones de Varias Variables: DEMOSTRACIONES TEMA 3

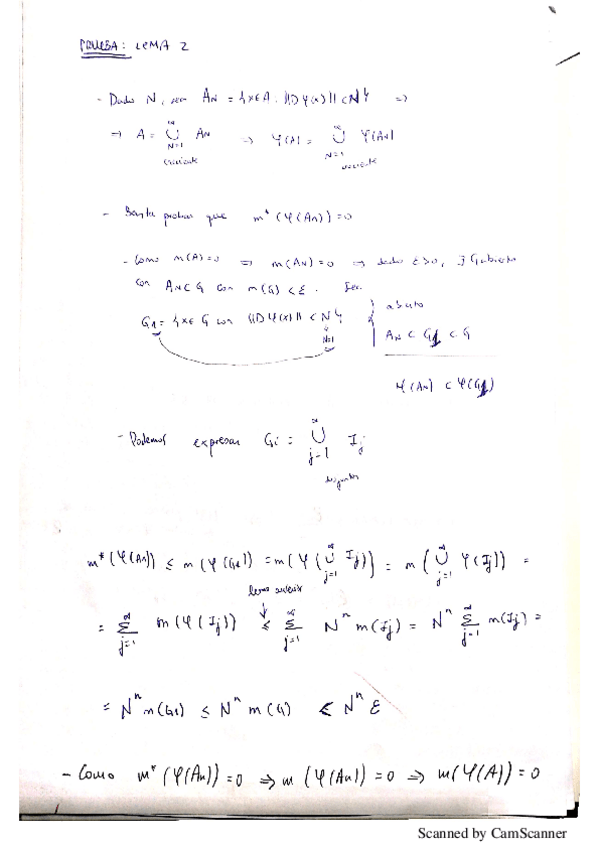
A-mide-cero-phiA-tambien.pdf
phi-isomorfismo-phiA-medible.pdf
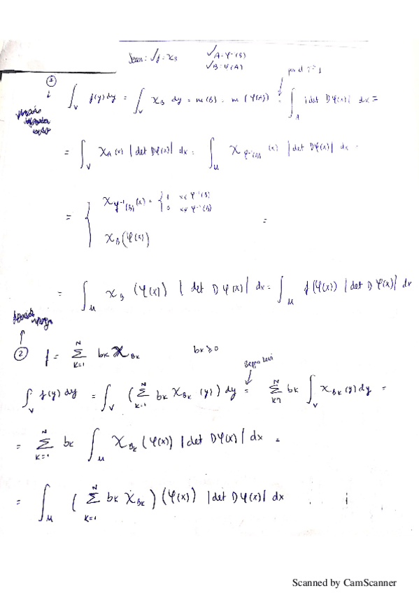
Cambio-de-variable.pdf

apuntes

-

DEMOSTRACIONES TEMA 2

He publicado nuevos apuntes de 2º Integración de Funciones de Varias Variables: DEMOSTRACIONES TEMA 2

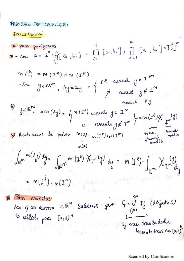
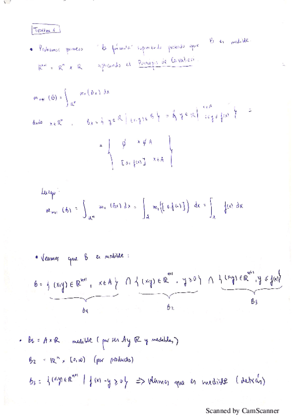
Principio-de-Cavalieri.pdf
mAxBmA.pdf
B-medible.pdf
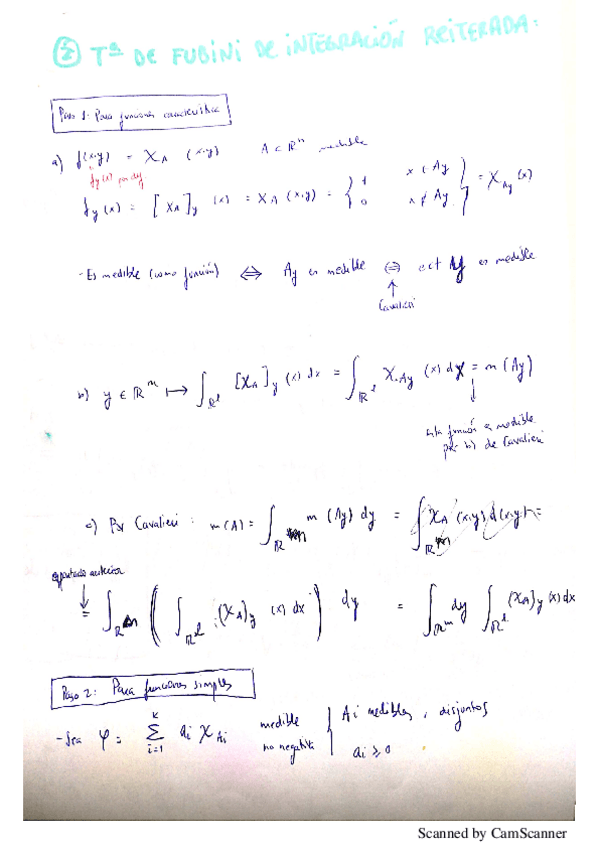
Fubini-para-no-negativas.pdf

apuntes

-

DEMOSTRACIONES TEMA 1

He publicado nuevos apuntes de 2º Integración de Funciones de Varias Variables: DEMOSTRACIONES TEMA 1

PREGUNTAS-DE-TEORIA-PRIMER-PARCIAL-IFVV.pdf
Teorema-de-estructura-de-los-conjuntos-medibles-lebesgue.pdf
Medida-de-um-compacto.pdf
Medida-de-lebesgue-invariante-por-traslaciones.pdf
Medida-de-un-abierto.pdf
Conjuntos-de-medida-exterior-finita.pdf

ejercicios

-

RESUELTOS POR TEMAS

He publicado nuevos ejercicios de 2º Integración de Funciones de Varias Variables: RESUELTOS POR TEMAS

RESUELTOS-Ejercicios-Tema-5-IFVV.pdf
RESUELTOS-Ejercicios-Tema-2-Ifvv.pdf
RESUELTOS-Ejercicios-Tema-4-IFVV.pdf
ESUELTOS-Ejercicios-Tema-3-Ifvv.pdf

ejercicios

-

Problemas resueltos

He publicado nuevos ejercicios de 2º Integración de Funciones de Varias Variables: Problemas resueltos

problemas2.pdf
problemas1.pdf
problemas4.pdf
problemas5.pdf

examenes

-

Preguntas de Teoría

He publicado nuevos examenes de 2º Integración de Funciones de Varias Variables: Preguntas de Teoría

t2.pdf
t5.pdf
t4.pdf
t1.pdf

apuntes

-

Apuntes completos

He publicado nuevos apuntes de 2º Integración de Funciones de Varias Variables: Apuntes completos

tema5.pdf
tema4.pdf
tema2.pdf
tema1.pdf
tema3.pdf

He publicado nuevos examenes de 2º Integración de Funciones de Varias Variables: IFVV-examen2017-05-26-B.pdf

2 páginas

He publicado nuevos ejercicios de 2º Integración de Funciones de Varias Variables: int_superficie (1).pdf

26 páginas

He publicado nuevos ejercicios de 2º Integración de Funciones de Varias Variables: int_linea.pdf

19 páginas

He publicado nuevos examenes de 2º Integración de Funciones de Varias Variables: IFVV-examen2016-06-03-B.pdf

2 páginas
¡Estás al día!

¡Estás al día!

Has visto todos los archivos