chevron_left
chevron_right
Todo
Apuntes
Exámenes
Otros
Prácticas
Test
Trabajos
chevron_left
chevron_right

He publicado nuevos apuntes de 1º Interacción Persona-ordenador: Tema-8.1-Evaluacion-de-prototipos-de-baja-fidelidad.pdf

3 páginas

He publicado nuevos apuntes de 1º Interacción Persona-ordenador: Tema-7.1-Prototipos-de-baja-fidelidad.pdf

2 páginas

He publicado nuevos apuntes de 1º Interacción Persona-ordenador: Tema-6-Diseno-del-concepto-del-producto.pdf

2 páginas

He publicado nuevos apuntes de 1º Interacción Persona-ordenador: Tema-5.3-Contexto-de-uso.-Planificacion.pdf

1 página

He publicado nuevos apuntes de 1º Interacción Persona-ordenador: Tema-5.2-Contexto-de-uso.-Especificacion-y-analisis.pdf

2 páginas

He publicado nuevos apuntes de 1º Interacción Persona-ordenador: Tema-5.1-Contexto-de-Uso.-Observacion-y-preguntas.pdf

1 página

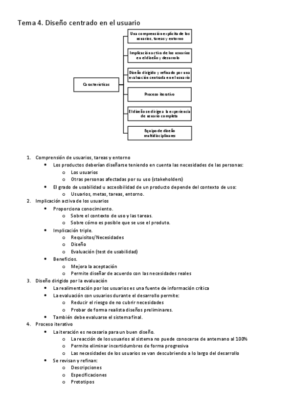
He publicado nuevos apuntes de 1º Interacción Persona-ordenador: Tema-4-Diseno-centrado-en-el-usuario.pdf

2 páginas

He publicado nuevos apuntes de 1º Interacción Persona-ordenador: Tema-3-Estilos-y-dispositivos-de-interaccion.pdf

3 páginas

He publicado nuevos apuntes de 1º Interacción Persona-ordenador: Tema-2-Factores-Humanos.pdf

4 páginas

He publicado nuevos apuntes de 1º Interacción Persona-ordenador: Tema-1-Introduccion.pdf

1 página

He publicado nuevos apuntes de 1º Interacción Persona-ordenador: Tema-1-Atributos-de-usabilidad.pdf

3 páginas

He publicado nuevos apuntes de 1º Interacción Persona-ordenador: 03.2-Planificacion-primera-evaluacion-de-usabilidad-2023.pdf

8 páginas

He publicado nuevos apuntes de 1º Interacción Persona-ordenador: 02-Analisis-del-contexto-de-uso-2023-FINAL.pdf

38 páginas

He publicado nuevos apuntes de 1º Interacción Persona-ordenador: 02-Analisis-del-contexto-de-uso-2023.pdf

36 páginas

He publicado nuevos apuntes de 1º Interacción Persona-ordenador: 03.1-Elaboracion-de-los-dos-disenos-alternativos-2023.pdf

6 páginas

He publicado nuevos apuntes de 1º Interacción Persona-ordenador: 05.1-Diseno-prototipo-alta-fidelidad-2023.pdf

4 páginas

He publicado nuevos apuntes de 1º Interacción Persona-ordenador: 04.1-Informe-primera-evaluacion-de-usabilidad-FINAL.pdf

28 páginas
Anónimo

@Anónimo

He publicado nuevos apuntes de 1º Interacción Persona-ordenador: Resumen-Temas-primer-parcial.pdf

24 páginas

He publicado nuevos practicas de 1º Interacción Persona-ordenador: Practica_Resultado_Analisis_Usuarios_Tareas_Entorno.pdf

7 páginas

He publicado nuevos practicas de 1º Interacción Persona-ordenador: Practica_Planificacion_Primera_Evaluacion_Usabilidad.pdf

6 páginas

He publicado nuevos practicas de 1º Interacción Persona-ordenador: Practica_Elaboracion_Disenos_Alternativos.pdf

13 páginas

apuntes

-

Vídeos del proyecto de IPO

He publicado nuevos apuntes de 1º Interacción Persona-ordenador: Vídeos del proyecto de IPO

https://youtu.be/XHhYuWGrFxA
https://www.youtube.com/watch?v=-5eLsFoGzak&t=1s
https://youtu.be/EouCi1HcO7A

apuntes

-

Solved tests

He publicado nuevos apuntes de 1º Interacción Persona-ordenador: Solved tests

Quiz-1.pdf
Quiz-3.pdf
Quiz-2.pdf

He publicado nuevos test de 1º Interacción Persona-ordenador: Screenshot-2022-05-20-at-19-32-13-Cuestionario-3.pdf

1 página

apuntes

-

Apuntes Completos

He publicado nuevos apuntes de 1º Interacción Persona-ordenador: Apuntes Completos

Miniatura no disponible
IPOT4C1Diseno-centrado-en-el-usuario-1.pptx
Miniatura no disponible
IPOT8C2Evaluacion-por-expertos-y-test-de-usabilidad.ppsx
Miniatura no disponible
IPOT6C1Diseno-del-producto-1.pptx
Miniatura no disponible
IPOT5C2b2020-21Planificacion.ppsx
Miniatura no disponible
IPOT7C12019-20sprototipos-de-baja-fidelidad-3.pptx
Miniatura no disponible
IPOT8C1C2Evaluacion-de-Prototipos-de-baja-fidelidad-4.pptx

apuntes

-

Slides , diapositivas en inglés

He publicado nuevos apuntes de 1º Interacción Persona-ordenador: Slides , diapositivas en inglés

T7C1Prototypes.pdf
T2C1HumanFactors.pdf
T3C1InteractionStylesDevices.pdf
T6C1DesignProductConcept.pdf
T1C2UsabilityAttributes.pdf
T8C1C2ProtoypeEvaluation.pdf

apuntes

-

Slides - Diapositivas en Inglés

He publicado nuevos apuntes de 1º Interacción Persona-ordenador: Slides - Diapositivas en Inglés

T6C1DesignProductConcept.pdf
T1C1Human-ComputerInteraction.pdf
T2C1HumanFactors.pdf
T4C1UserCentredDesign2019-2020.pdf
T3C1InteractionStylesDevices.pdf
T5C2SpecificationContextOfUse2.pdf

apuntes

-

IPO-HCI Inglés

He publicado nuevos apuntes de 1º Interacción Persona-ordenador: IPO-HCI Inglés

T1C2UsabilityAttributes.pdf
T3C1InteractionStylesDevices.pdf
T5C1SpecificationContextOfUse.pdf
T2C1HumanFactors.pdf
T4C1UserCentredDesign2019-2020.pdf
T1C1Human-ComputerInteraction.pdf

He publicado nuevos trabajos de 1º Interacción Persona-ordenador: grupo14parte2.mov

video
Anónimo

@Anónimo

examenes

-

Modelos Resueltos de los Tests

He publicado nuevos examenes de 1º Interacción Persona-ordenador: Modelos Resueltos de los Tests

Modelo-Quiz-1-Resuelto-Temas-1-5.pdf
Anónimo

@Anónimo

apuntes

-

TEORIA

He publicado nuevos apuntes de 1º Interacción Persona-ordenador: TEORIA

T8C1bis-Seminario-analisis-de-resultados-evaluacion.pdf
TEST-USABILIDAD-2.pdf
Evaluacion-de-accesibilidad.pdf
Evaluacion-de-accesibilidad.pdf
TEST-USABILIDAD.pdf
MAPAS-DE-NAVEGACION.pdf

practicas

-

Practicas IPO

He publicado nuevos practicas de 1º Interacción Persona-ordenador: Practicas IPO

A2-ResultsContextOfUseAnalysis.pdf
A1-ObservationInterviewPlanTemplate.pdf
A3-LowFidelityPrototypes1stUsabilityTestPlan.pdf
A4-UsabilityTestReportLoFiPrototypes.pdf
A0-ProjectDescription.pdf
A5HiFIPrototype2ndUsabilityTestPlan.pdf

He publicado nuevos otros de 1º Interacción Persona-ordenador: Human-Computer-Interaction-PEARSON.pdf

861 páginas

apuntes

-

Temario (Español)

He publicado nuevos apuntes de 1º Interacción Persona-ordenador: Temario (Español)

T5C1aPlanificacion20172018s2-20190221-110125-UTC.pdf
T3C1-Estilos-y-dispositivos-2017-2018-s2v1-20190221-110125-UTC.pdf
T2C1-Factores-Humanos-2017-2018-20190221-110125-UTC.pdf
T1C2-AtributosUsabilidad-2017-18s2-20190221-110125-UTC.pdf
T1C1-Interaccion-persona-ordenador-2017-2018-20190221-110125-UTC.pdf
T3C1a-2015-2016-s2-20190221-110125-UTC.pdf

apuntes

-

Temario (Ingles)

He publicado nuevos apuntes de 1º Interacción Persona-ordenador: Temario (Ingles)

T1C1Human-ComputerInteraction.pdf
T5C1SpecificationContextOfUse2018-2019.pdf
T1C2UsabilityAttributes2018-19s2.pdf
T4C1UserCentredDesign2018-2019.pdf
T5C2PlanningWorkshop2018-2019.pdf
T3C1InteractionStylesDevices2018-2019.pdf

apuntes

-

Apuntes de Clase

He publicado nuevos apuntes de 1º Interacción Persona-ordenador: Apuntes de Clase

Amal_s_storyboard_notes.pdf
consejosBrainstorming.pdf
T1C1 - 2016-2017 - s1.pdf
T1C2 - AtributosUsabilidad 2016-17s1.pdf
T2C1 - 2015-2016 - s1.pdf
T3C1a - 2014-2015 - s2v3 - alumnos.pdf

He publicado nuevos practicas de 1º Interacción Persona-ordenador: Prototipo de Alta Fidelidad.pptx

Miniatura no disponible
powerpoint
¡Estás al día!

¡Estás al día!

Has visto todos los archivos