Introducció a la Física Nuclear i de Partícules

chevron_left
chevron_right
Todo
Apuntes
Ejercicios
Exámenes
chevron_left
chevron_right

examenes

-

Finals fisica nuclear i de particules

He publicado nuevos examenes de 3º Introducció a la Física Nuclear i de Partícules: Finals fisica nuclear i de particules

Gener-2020.pdf
Gener-2023.pdf
Gener-2024.pdf
Juny-2023.pdf
Juny-2024.pdf

examenes

-

Parcials fisica nuclear i de particules

He publicado nuevos examenes de 3º Introducció a la Física Nuclear i de Partícules: Parcials fisica nuclear i de particules

Desembre-2022.pdf
Desembre-2023.pdf
Novembre-2021-T1.pdf

He publicado nuevos ejercicios de 3º Introducció a la Física Nuclear i de Partícules: Nuclis-i-forces-nuclears.pdf

14 páginas

He publicado nuevos ejercicios de 3º Introducció a la Física Nuclear i de Partícules: Model-de-capes.pdf

3 páginas

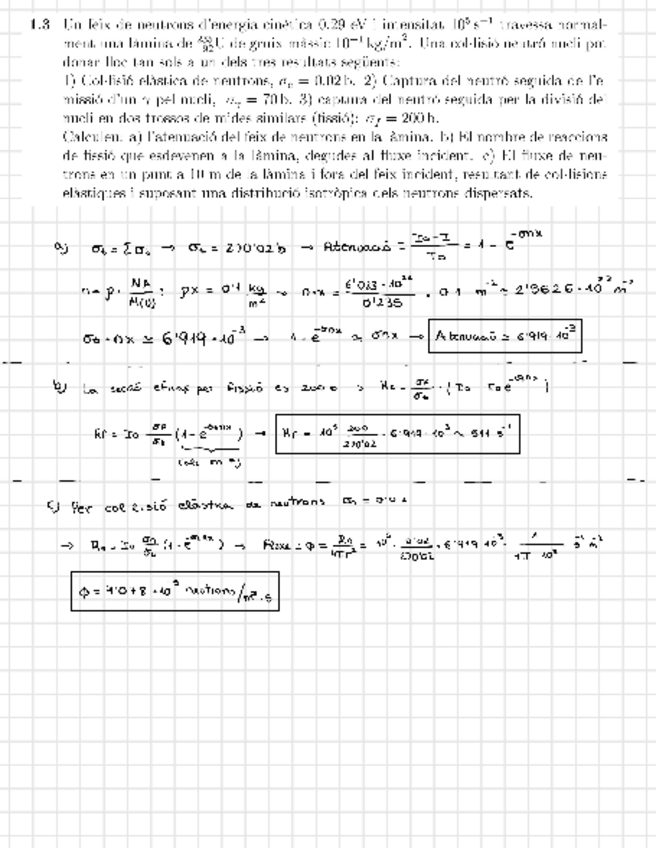
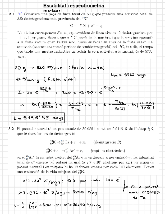
He publicado nuevos ejercicios de 3º Introducció a la Física Nuclear i de Partícules: Estabilitat-i-espectrometria-nuclear.pdf

11 páginas

He publicado nuevos ejercicios de 3º Introducció a la Física Nuclear i de Partícules: Constituents-interaccio-i-simetries.pdf

4 páginas

He publicado nuevos apuntes de 3º Introducció a la Física Nuclear i de Partícules: Parcial-novembre-2021-T1.pdf

3 páginas

ejercicios

-

Problemas física nuclear y de partículas

He publicado nuevos ejercicios de 3º Introducció a la Física Nuclear i de Partícules: Problemas física nuclear y de partículas

Problemas-nuclis-i-forces-atomiques.pdf
Problemas-model-de-capes.pdf
¡Estás al día!

¡Estás al día!

Has visto todos los archivos