Todo
Apuntes
Exámenes
chevron_left
chevron_right

He publicado nuevos apuntes de 1º Introducció a l’Economia: TEMA-6-INTRO.pdf

4 páginas

He publicado nuevos apuntes de 1º Introducció a l’Economia: TEMA-7-INTRO.pdf

5 páginas

He publicado nuevos apuntes de 1º Introducció a l’Economia: TEMA-5-INTRO.pdf

3 páginas

He publicado nuevos apuntes de 1º Introducció a l’Economia: TEMA-3-INTRO.pdf

4 páginas

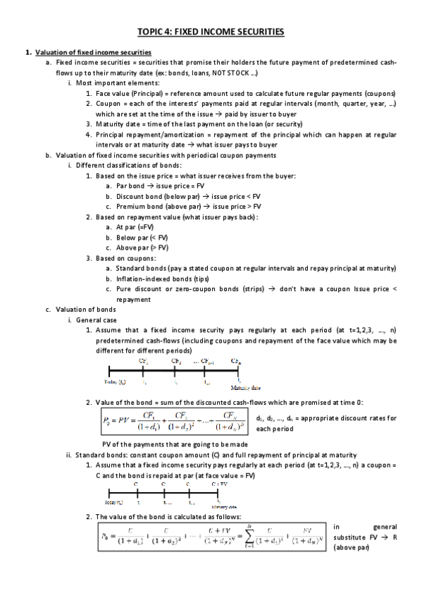
He publicado nuevos apuntes de 1º Introducció a l’Economia: TEMA-4-INTRO.pdf

3 páginas

He publicado nuevos apuntes de 1º Introducció a l’Economia: TEMA-2-INTRO.pdf

5 páginas

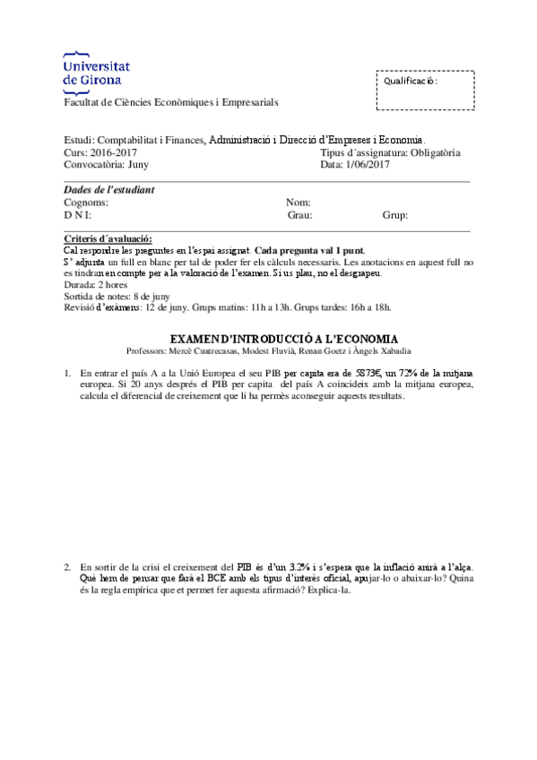
He publicado nuevos apuntes de 1º Introducció a l’Economia: TEMA-1-INTRO.pdf

5 páginas

examenes

-

Examenes de Repaso

He publicado nuevos examenes de 1º Introducció a l’Economia: Examenes de Repaso

ExamenUB2GADEDerechoIntEcoTT.pdf
ExamenUB2GADEDerechoIntEcoTT.pdf
ExamenUB2GADEDerechoIntEcoVF.pdf
ExamenUB2GADEDerechoIntEcoVF.pdf
ExamenUB2GADEDerechoIntEcoExRp.pdf
ExamenUB2GADEDerechoIntEcoExRp.pdf

He publicado nuevos apuntes de 1º Introducció a l’Economia: tema-3.-Lequilibri-de-mercat.pdf

4 páginas

He publicado nuevos apuntes de 1º Introducció a l’Economia: TEMA-2.-Oferta-demanda-i-mercat.-Les-elasticitats.pdf

9 páginas

He publicado nuevos apuntes de 1º Introducció a l’Economia: TEMA-1.-Lactivitat-economica-2.pdf

5 páginas

examenes

-

Exàmens anys anteriors

He publicado nuevos examenes de 1º Introducció a l’Economia: Exàmens anys anteriors

Examen-2n-semestre-2017-IE-versio-2-solucionat.pdf
Examen-2n-semestre-2017-IE-versio-2-solucionat.pdf
Examen-2n-semestre-2017-IE-versio-2.pdf
Examen-2n-semestre-2017-IE-versio-2.pdf
Examen-gener-2019-Intro.pdf
Examen-gener-2019-Intro.pdf

apuntes

-

Apunts Introducció a l'Economia

He publicado nuevos apuntes de 1º Introducció a l’Economia: Apunts Introducció a l'Economia

Cap.1.pdf
Cap.1.pdf
Cap.2.pdf
Cap.2.pdf
Cap.3.pdf
Cap.3.pdf

He publicado nuevos apuntes de 1º Introducció a l’Economia: Economia-apuntes-curso-entero.pdf

40 páginas

apuntes

-

Resúmenes de la asignatura

He publicado nuevos apuntes de 1º Introducció a l’Economia: Resúmenes de la asignatura

Estrategia-y-desarrollo-empresarial.pdf
Estrategia-y-desarrollo-empresarial.pdf
Analisis-de-los-estados-financieros-de-las-empresas.pdf
Analisis-de-los-estados-financieros-de-las-empresas.pdf
Direccion-y-organizacion-de-la-empresa.pdf
Direccion-y-organizacion-de-la-empresa.pdf
Anónimo

@Anónimo

He publicado nuevos apuntes de 1º Introducció a l’Economia: Economia-curso-entero.pdf

28 páginas

He publicado nuevos apuntes de 1º Introducció a l’Economia: apunts-i-preguntes.pdf

10 páginas

apuntes

-

apuntes

He publicado nuevos apuntes de 1º Introducció a l’Economia: apuntes

TALLERS-1-AL-4.pdf
TALLERS-1-AL-4.pdf
tallers-del-5-al-11.pdf
tallers-del-5-al-11.pdf

apuntes

-

Apuntes

He publicado nuevos apuntes de 1º Introducció a l’Economia: Apuntes

TOPIC-4-FIXED-INCOME-SECURITIES.pdf
TOPIC-4-FIXED-INCOME-SECURITIES.pdf
Apuntes-Financial-Economics.pdf
Apuntes-Financial-Economics.pdf
TOPIC-2-TIME-VALUE-OF-MONEY.pdf
TOPIC-2-TIME-VALUE-OF-MONEY.pdf

apuntes

-

Resúmenes de la Asignatura

He publicado nuevos apuntes de 1º Introducció a l’Economia: Resúmenes de la Asignatura

Tema-2-La-oferta-y-la-demanda.pdf
Tema-2-La-oferta-y-la-demanda.pdf
Tema-10-Dinero-y-precios-a-largo-plazo.pdf
Tema-10-Dinero-y-precios-a-largo-plazo.pdf
Tema-7-Conceptos-basicos-de-la-contabilidad-nacional.pdf
Tema-7-Conceptos-basicos-de-la-contabilidad-nacional.pdf

apuntes

-

Resúmenes de la Asignatura

He publicado nuevos apuntes de 1º Introducció a l’Economia: Resúmenes de la Asignatura

Tema-2-La-oferta-y-la-demanda.pdf
Tema-2-La-oferta-y-la-demanda.pdf
Tema-10-Dinero-y-precios-a-largo-plazo.pdf
Tema-10-Dinero-y-precios-a-largo-plazo.pdf
Tema-4-La-oferta-la-demanda-y-las-politicas-del-gobierno.pdf
Tema-4-La-oferta-la-demanda-y-las-politicas-del-gobierno.pdf