Introducció a l'Enginyeria TIC

chevron_left
chevron_right
Todo
Apuntes
Ejercicios
Exámenes
Otros
Prácticas
publication
Trabajos
chevron_left
chevron_right

He publicado nuevos apuntes de 2º Introducció a l'Enginyeria TIC: Sustainability-Report.pdf

14 páginas

He publicado nuevos apuntes de 2º Introducció a l'Enginyeria TIC: Full-respostes-ENTIC.docx.pdf

24 páginas

He publicado nuevos apuntes de 2º Introducció a l'Enginyeria TIC: Final-report.docx.pdf

35 páginas

examens amb procediment ben explicat

52 páginas

He publicado nuevos apuntes de 2º Introducció a l'Enginyeria TIC: Resum-Tots-els-temes.pdf

16 páginas

He publicado nuevos apuntes de 2º Introducció a l'Enginyeria TIC: Classe-3-PMBoK.pdf

61 páginas

He publicado nuevos apuntes de 2º Introducció a l'Enginyeria TIC: Classe-2.pdf

23 páginas

He publicado nuevos practicas de 2º Introducció a l'Enginyeria TIC: ENTICLABWP1-mechanical.pdf

6 páginas

He publicado nuevos practicas de 2º Introducció a l'Enginyeria TIC: ENTICLABWP2-electrical.pdf

8 páginas

He publicado nuevos practicas de 2º Introducció a l'Enginyeria TIC: ENTICLABWP3-electronics.pdf

7 páginas

He publicado nuevos practicas de 2º Introducció a l'Enginyeria TIC: ENTICLABWP4-communications.pdf

13 páginas

He publicado nuevos practicas de 2º Introducció a l'Enginyeria TIC: ENTICLABWP5-signal-processing-1.pdf

4 páginas

He publicado nuevos practicas de 2º Introducció a l'Enginyeria TIC: ENTICLAB-WP6-final-assembly-water-tests.pdf

10 páginas
Anónimo

@Anónimo

He publicado nuevos practicas de 2º Introducció a l'Enginyeria TIC: Questions-entic.pdf

24 páginas
Anónimo

@Anónimo

He publicado nuevos trabajos de 2º Introducció a l'Enginyeria TIC: BPR.pdf

34 páginas

He publicado nuevos apuntes de 2º Introducció a l'Enginyeria TIC: EMPRESA.pdf

39 páginas

He publicado nuevos apuntes de 2º Introducció a l'Enginyeria TIC: Costs.pdf

30 páginas

He publicado nuevos trabajos de 2º Introducció a l'Enginyeria TIC: Entregable-critical-path.pdf

1 página

He publicado nuevos apuntes de 2º Introducció a l'Enginyeria TIC: Entic-1.pdf

23 páginas
Anónimo

@Anónimo

He publicado nuevos trabajos de 2º Introducció a l'Enginyeria TIC: FinalReport.pdf

33 páginas
Anónimo

@Anónimo

He publicado nuevos trabajos de 2º Introducció a l'Enginyeria TIC: EnviromentalImpactReport.pdf

7 páginas
Anónimo

@Anónimo

He publicado nuevos trabajos de 2º Introducció a l'Enginyeria TIC: ProjectDocumentation.pdf

24 páginas

He publicado nuevos apuntes de 2º Introducció a l'Enginyeria TIC: Marketing-estrategico-y-operativo.pdf

31 páginas

He publicado nuevos apuntes de 2º Introducció a l'Enginyeria TIC: PMBoK.pdf

68 páginas

practicas

-

PROYECTO LAB

Todo lo que se tiene que entregar

BPR-BCR-Business-Case-Report.pdf
LABFinalReport-Final-Report.pdf
PartB.pdf
Sustainability-Report.pdf
WPAnswers.pdf
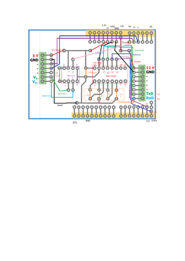
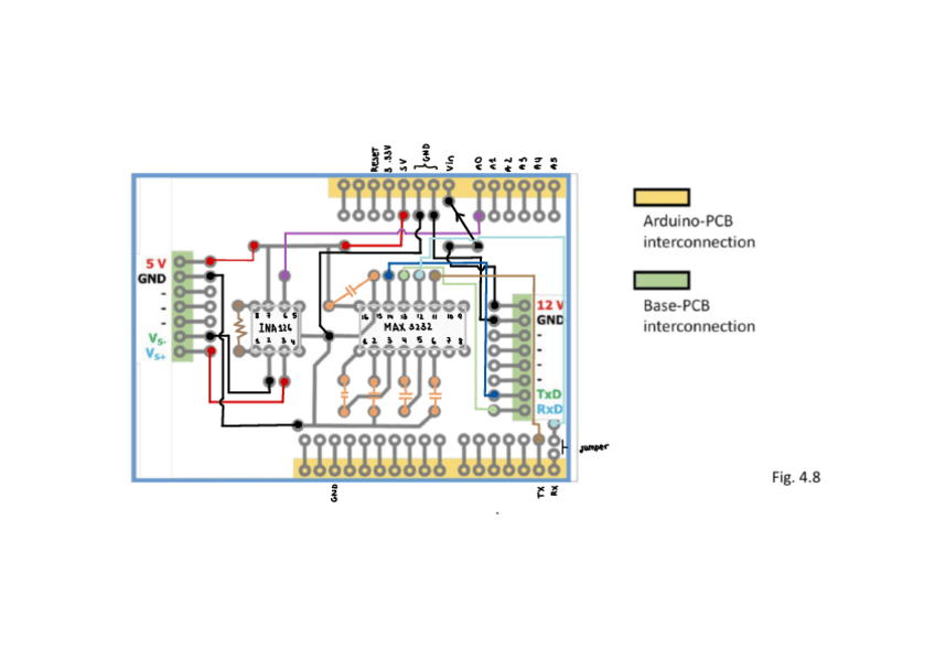
ESQUEMA-BOARD.pdf

He publicado nuevos apuntes de 2º Introducció a l'Enginyeria TIC: ResumTeoriailab.pdf

10 páginas
Anónimo

@Anónimo

He publicado nuevos apuntes de 2º Introducció a l'Enginyeria TIC: Apunts-ENTIC-dels-PW.pdf

25 páginas

He publicado nuevos trabajos de 2º Introducció a l'Enginyeria TIC: HYDROSCRUBBER-PresentationBPR-ENTIC.pdf

13 páginas

He publicado nuevos trabajos de 2º Introducció a l'Enginyeria TIC: HYDROSCRUBBER-BuisnessPlanReport-ENTIC.pdf

29 páginas

He publicado nuevos trabajos de 2º Introducció a l'Enginyeria TIC: HYDROSCRUBBER-DraftPartB-ENTIC.pdf

1 página

He publicado nuevos trabajos de 2º Introducció a l'Enginyeria TIC: HYDROSCRUBBER-EnvironmentalReport-ENTIC.pdf

6 páginas

He publicado nuevos trabajos de 2º Introducció a l'Enginyeria TIC: HYDROSCRUBBER-FinalReport-ENTIC.pdf

38 páginas

He publicado nuevos trabajos de 2º Introducció a l'Enginyeria TIC: HYDROSCRUBBER-ProjectDocumentation-ENTIC.pdf

25 páginas

Es possible que hi hagi algun error (sap greu)

24 páginas
Anónimo

@Anónimo

He publicado nuevos examenes de 2º Introducció a l'Enginyeria TIC: exam-11-April-2012.pdf

1 página
Anónimo

@Anónimo

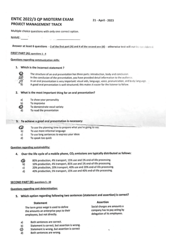
He publicado nuevos examenes de 2º Introducció a l'Enginyeria TIC: exam-21-April-2023.pdf

2 páginas
Anónimo

@Anónimo

He publicado nuevos examenes de 2º Introducció a l'Enginyeria TIC: exam-5-may-2012.pdf

1 página

trabajos

-

ENTIC DOCUMENTOS (TODO)

He publicado nuevos trabajos de 2º Introducció a l'Enginyeria TIC: ENTIC DOCUMENTOS (TODO)

ENTIC-BUSINESS-CASE-REPORT.pdf
ENTIC-FINAL-REPORT.pdf
ENTIC-INFORME-IMPACTE-AMBIENTAL.pdf

He publicado nuevos trabajos de 2º Introducció a l'Enginyeria TIC: BPRTheRiptideProjectdef.pdf

38 páginas

He publicado nuevos trabajos de 2º Introducció a l'Enginyeria TIC: FinalReportTheRiptideProjectg12t2.pdf

34 páginas

He publicado nuevos practicas de 2º Introducció a l'Enginyeria TIC: WPANSWERS.pdf

29 páginas

He publicado nuevos apuntes de 2º Introducció a l'Enginyeria TIC: Vo-en-funcio-de-Pressio.pdf

1 página

He publicado nuevos otros de 2º Introducció a l'Enginyeria TIC: sensor-distancia-codigo.pdf

2 páginas

He publicado nuevos apuntes de 2º Introducció a l'Enginyeria TIC: RESUM-PARCIAL-ENTIC.pdf

8 páginas

practicas

-

ENTIC LAB (TODO)

Material y documentos del LAB

ENTIC-ARDUINO-SENSORES-TODO.pdf
ENTIC-MATLAB-SENSORES-TODO.pdf
ENTIC-SENSOR-PH.pdf

He publicado nuevos ejercicios de 2º Introducció a l'Enginyeria TIC: Cost-exercise.pdf

7 páginas

He publicado nuevos apuntes de 2º Introducció a l'Enginyeria TIC: RESUM PARCIAL ENTIC.pdf

10 páginas

He publicado nuevos trabajos de 2º Introducció a l'Enginyeria TIC: RESPUESTAS WPANSWERS ENTIC.pdf

23 páginas

He publicado nuevos trabajos de 2º Introducció a l'Enginyeria TIC: Circuito.pdf

1 página

He publicado nuevos apuntes de 2º Introducció a l'Enginyeria TIC: ENTICLABDismantling-Instructions.pdf

3 páginas

He publicado nuevos apuntes de 2º Introducció a l'Enginyeria TIC: ENTICLABToolsMaterials.pdf

6 páginas

apuntes

-

ENTIC Apuntes teoría

He publicado nuevos apuntes de 2º Introducció a l'Enginyeria TIC: ENTIC Apuntes teoría

ENTIC-Comunication.pdf
ENTIC-Costs-calculation.pdf
ENTIC-Project-Management-Track.pdf

He publicado nuevos trabajos de 2º Introducció a l'Enginyeria TIC: Environmental-Impact-Report-final.pdf

7 páginas

He publicado nuevos trabajos de 2º Introducció a l'Enginyeria TIC: Enviromental Report.pdf

4 páginas

He publicado nuevos practicas de 2º Introducció a l'Enginyeria TIC: WP4-QConectionsrotated.pdf

1 página
Anónimo

@Anónimo

Resumen teoría para el parcial

2 páginas

He publicado nuevos apuntes de 2º Introducció a l'Enginyeria TIC: ENTIC-Resumen-Teoria-.pdf

4 páginas

He publicado nuevos apuntes de 2º Introducció a l'Enginyeria TIC: ENTIC-Part-A-Exam.pdf

2 páginas

Com es fa el critical chain?

Com es fa el critical chain?

trabajos

-

Projecte ROUV ENTIC

He publicado nuevos trabajos de 2º Introducció a l'Enginyeria TIC: Projecte ROUV ENTIC

PPT-ENTICbo.pdf
Project-Documentation-G-11-1.pdf
FinalReport1101.pdf
BUSINESS-PLAN-REPORT-G11.pdf