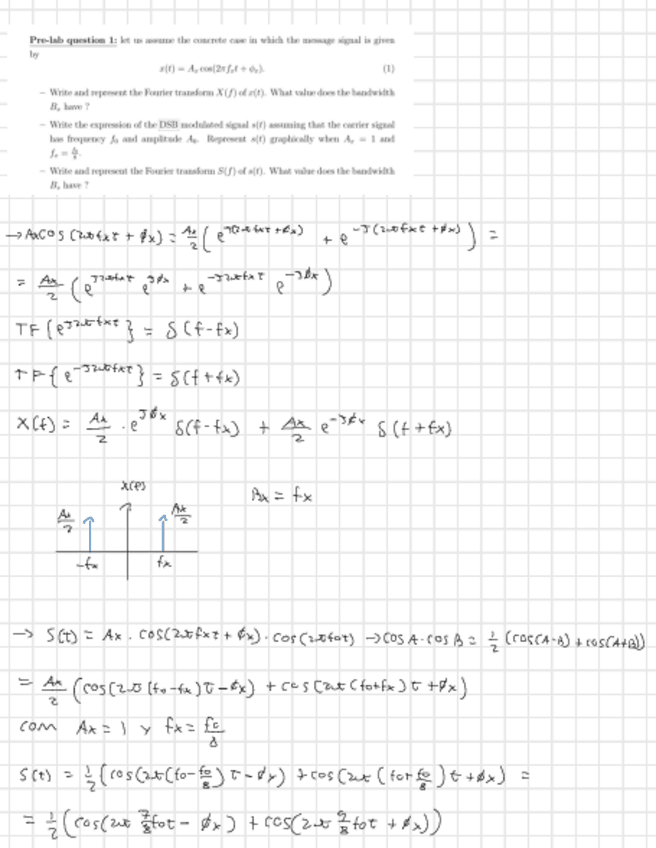
chevron_left
chevron_right
Todo
Apuntes
Ejercicios
Exámenes
Prácticas
Test
chevron_left
chevron_right

apuntes

-

TOT Apunts Classe ICOM

He publicado nuevos apuntes de 2º Introducció a les Comunicacions: TOT Apunts Classe ICOM

3.5-RECEPCION-DIGITAL.pdf
3.2-ANALISIS-ESTADISTICO-PAM.pdf
Ejercicios-T3.pdf
3.4-Transmision-digital-paso-banda.pdf
2.3-PROCESOS-PASO-BANDA.pdf
3.1-TRANSMISION-DIGITAL.pdf

practicas

-

Estudi Previ + Memories TOT Corregit

He publicado nuevos practicas de 2º Introducció a les Comunicacions: Estudi Previ + Memories TOT Corregit

Estudi-Previ--Memoria-P6-Corregit.pdf
Estudi-Previ--Memoria-P5-Corregit.pdf
Estudi-Previ--Memoria-P4-Corregit.pdf
Estudi-Previ--Memoria-P3-Corregit.pdf
Estudi-Previ--Memoria-P2-Corregit.pdf
Estudi-Previ--Memoria-P1-Corregit.pdf

He publicado nuevos apuntes de 2º Introducció a les Comunicacions: Resum-pel-final-ICOM.pdf

4 páginas

He publicado nuevos apuntes de 2º Introducció a les Comunicacions: TEMA 2: SENALES Y SISTEMAS PASO BANDA.pdf.pdf

27 páginas

He publicado nuevos practicas de 2º Introducció a les Comunicacions: MemoriaPract5icom.docx.pdf

16 páginas

He publicado nuevos practicas de 2º Introducció a les Comunicacions: Estudi-previ-5-icom.pdf

2 páginas

He publicado nuevos practicas de 2º Introducció a les Comunicacions: practica1icom.pdf

8 páginas

He publicado nuevos practicas de 2º Introducció a les Comunicacions: MemoriaPract2icom.docx.pdf

10 páginas

He publicado nuevos practicas de 2º Introducció a les Comunicacions: MemoriaPract4icom.docx.pdf

28 páginas

He publicado nuevos practicas de 2º Introducció a les Comunicacions: MemoriaPract3icom.docx.pdf

11 páginas

apuntes

-

Apunts per temes

apunts icom per temes

1-Introduccio.pdf
2-Senyals-i-Sistemes-Pas-Banda.pdf
3-sistema-de-transmissio-digital.pdf

practicas

-

memòries lab noves i resums examen lab

memories de les pràctiques noves icom

P1.pdf
P2.pdf
P3.pdf
P5.pdf
P6.pdf
P4.pdf

practicas

-

estudis previs practiques noves

He publicado nuevos practicas de 2º Introducció a les Comunicacions: estudis previs practiques noves

Estudi-previ-3.pdf
Estudi-previ-2.pdf
Previ-6.pdf

He publicado nuevos practicas de 2º Introducció a les Comunicacions: EP-NOVA-Practica-6.jpg

Imagen

Examens parcials ab solucions i procediment

72 páginas

He publicado nuevos examenes de 2º Introducció a les Comunicacions: Problemes-profe-abans-parcial.pdf.pdf

4 páginas

He publicado nuevos test de 2º Introducció a les Comunicacions: Test-Fundamentos-ICOM.pdf

4 páginas

practicas

-

PRACTICAS LAB (2024-2025 Q2)

He publicado nuevos practicas de 2º Introducció a les Comunicacions: PRACTICAS LAB (2024-2025 Q2)

PRACTICA 5 - P5 - ICOM.pdf
PRACTICA 2 - P2 - ICOM.pdf
PREVI P2 - ICOM.pdf
PRACTICA 4 - P4 - ICOM.pdf
PRACTICA 3 - P3 - ICOM.pdf
PRACTICA 1 - P1 - ICOM.pdf

apuntes

-

ICOM Pràctiques

He publicado nuevos apuntes de 2º Introducció a les Comunicacions: ICOM Pràctiques

MemoriaPract5.docx.pdf
MemoriaPract4.docx.pdf
MemoriaPract3.docx.pdf
ICOM-Memoria-2.docx.pdf
ICOM-lab1.pdf

practicas

-

PRACTICAS NUEVAS DE ICOM

He publicado nuevos practicas de 2º Introducció a les Comunicacions: PRACTICAS NUEVAS DE ICOM

DRVGMEMORIAP4.pdf
DRVGMEMORIAP3.pdf
DRVGMEMORIAP1.pdf
DRVGMEMORIAP2.pdf
DRVGMEMORIAP5.pdf

apuntes

-

Apuntes

He publicado nuevos apuntes de 2º Introducció a les Comunicacions: Apuntes

Tema-3-Modulador-Digital.pdf
Tema-3-Demodulador-Digital.pdf
Demosclasse.pdf
Tema-2-Senales-Y-Sistemas-Pas-Banda.pdf
Resumen-Tema-3-ICOM.pdf
Resumen-Tema-2-ICOM.pdf

practicas

-

Practica 5 (nuevas)

He publicado nuevos practicas de 2º Introducció a les Comunicacions: Practica 5 (nuevas)

Memoria-P5.pdf
Previo-P5.pdf

practicas

-

Practica 4 (nuevas)

He publicado nuevos practicas de 2º Introducció a les Comunicacions: Practica 4 (nuevas)

Memoria-P4.pdf

practicas

-

Practica 3 (nuevas)

He publicado nuevos practicas de 2º Introducció a les Comunicacions: Practica 3 (nuevas)

Memoria-P3.pdf

practicas

-

Practica 2 (nuevas)

He publicado nuevos practicas de 2º Introducció a les Comunicacions: Practica 2 (nuevas)

P2-ICOM.pdf
Previo-P2.pdf

practicas

-

Practica 1 (nuevas)

He publicado nuevos practicas de 2º Introducció a les Comunicacions: Practica 1 (nuevas)

DSBsignal.m
IQsignal.m
Previo-P1.pdf
Sinusoid.m
SquareWave.m
Memoria-P1-ICOM.pdf
Anónimo

@Anónimo

He publicado nuevos examenes de 2º Introducció a les Comunicacions: QP-2025-Final-ICOM.pdf

13 páginas

He publicado nuevos apuntes de 2º Introducció a les Comunicacions: ICOM-Tema-3.pdf

16 páginas

He publicado nuevos apuntes de 2º Introducció a les Comunicacions: RESUMICOMTEMA2.pdf

1 página

apuntes

-

PARCIALS ICOM

He publicado nuevos apuntes de 2º Introducció a les Comunicacions: PARCIALS ICOM

ParcialQT23.pdf
2020-04-ICOMParcialRESUELTOv2.pdf
Ex1Parcial27112019.pdf
ExParcialG10QT2020.pdf
icomparcial2122globalv4.pdf
ICOMParcialP2023Solucio.pdf

apuntes

-

RESUMS ICOM

He publicado nuevos apuntes de 2º Introducció a les Comunicacions: RESUMS ICOM

resum-T1-i-T2-parcial.pdf
resum-T3.pdf

He publicado nuevos apuntes de 2º Introducció a les Comunicacions: ICOMResumenprocesos.pdf

3 páginas

He publicado nuevos examenes de 2º Introducció a les Comunicacions: iCOM-final-2013-junio-enunciado.pdf

3 páginas

He publicado nuevos examenes de 2º Introducció a les Comunicacions: iCOM-final-2013-junio-enunciadosolucion.pdf

10 páginas

He publicado nuevos examenes de 2º Introducció a les Comunicacions: icomreava2324P1P2P3v13542d3db1237e60cf193a0216fa4bc653.pdf

13 páginas

He publicado nuevos apuntes de 2º Introducció a les Comunicacions: ICOM-tema-1.pdf

7 páginas

He publicado nuevos apuntes de 2º Introducció a les Comunicacions: ICOM-tema-2.pdf

8 páginas

apuntes

-

Apunts classe

He publicado nuevos apuntes de 2º Introducció a les Comunicacions: Apunts classe

Tema 3.pdf
Procesos Aleatorios (Tema 2).pdf
Determinista, Eq. Pas Baix (Tema-1-2).pdf

ejercicios

-

FINALS ICOM

He publicado nuevos ejercicios de 2º Introducció a les Comunicacions: FINALS ICOM

EXFINALICOMQT18SOLUCIONSDEF.pdf
ExFinalQT2020.pdf
FinalQT21.pdf
FinalQT22.pdf
ICOMexamreavjulio2016.pdf
icomfinalprima2023consolucion.pdf

apuntes

-

APUNTS ICOM

He publicado nuevos apuntes de 2º Introducció a les Comunicacions: APUNTS ICOM

ICOM T1 i repàs SSiS.pdf
ICOM T2.pdf
ICOM T3.pdf

Resum pràctiques 3 i 4

5 páginas

Resum pràctiques 1 i 2

6 páginas

practicas

-

PRÀCTIQUES LABORATORI ICOM

He publicado nuevos practicas de 2º Introducció a les Comunicacions: PRÀCTIQUES LABORATORI ICOM

PRACTICA5ICOM.pdf
PRACTICA4ICOM.pdf
PRACTICA3ICOM.pdf
PRACTICA2ICOM.pdf
PRACTICA1ICOM.pdf

apuntes

-

resums ICOM

He publicado nuevos apuntes de 2º Introducció a les Comunicacions: resums ICOM

resum-ICOM-T1-i-T2.pdf
resum-ICOM-T3.pdf

He publicado nuevos apuntes de 2º Introducció a les Comunicacions: ICOM-formulari-final.pdf

4 páginas

He publicado nuevos apuntes de 2º Introducció a les Comunicacions: Resum-ICOM.pdf

3 páginas

He publicado nuevos apuntes de 2º Introducció a les Comunicacions: ResumTeoriaICOM.pdf

58 páginas

He publicado nuevos ejercicios de 2º Introducció a les Comunicacions: Ejercicio-ISIBPSK.pdf

pdf

apuntes

-

Apunts ICOM

He publicado nuevos apuntes de 2º Introducció a les Comunicacions: Apunts ICOM

Tema-1-Introduccio.pdf
Tema-2-Senyals-i-Sistemes-Pas-Banda.pdf
Tema-3-Modulacio-Digital.pdf

He publicado nuevos apuntes de 2º Introducció a les Comunicacions: ICOM-apunts-tot-el-curs-per-temes.pdf

111 páginas

practicas

-

ESTUDIS PREVIS ICOM

He publicado nuevos practicas de 2º Introducció a les Comunicacions: ESTUDIS PREVIS ICOM

ESTUDI-PREVI-P1-icom.pdf
ESTUDI-PREVI-p2-icom.pdf
Estudi-Previ-Practica-3-icom.pdf
Estudi-Previ-Practica-4-icom.pdf
Estudi-Previ-Practica-5-icom.pdf

He publicado nuevos practicas de 2º Introducció a les Comunicacions: P3 (ESTUDI-PREVI) ICOM.pdf

2 páginas

He publicado nuevos examenes de 2º Introducció a les Comunicacions: 05/11/2021 (PARCIAL HECHO) ICOM.pdf

5 páginas

He publicado nuevos apuntes de 2º Introducció a les Comunicacions: RESUMEN EXAMEN PARCIAL ICOM.pdf

10 páginas

He publicado nuevos apuntes de 2º Introducció a les Comunicacions: T2(3aPart). Procesos PasBanda(RESUMEN_APUNTES).pdf

2 páginas

He publicado nuevos apuntes de 2º Introducció a les Comunicacions: T2(2aPart). Procesos Aleatoris(RESUMEN_APUNTES).pdf

3 páginas

He publicado nuevos practicas de 2º Introducció a les Comunicacions: P2 (MEMORIA) ICOM.pdf

7 páginas

He publicado nuevos apuntes de 2º Introducció a les Comunicacions: T2(1aPart). Senyals PasBanda Deterministes(RESUMEN_APUNTES).pdf

3 páginas

He publicado nuevos apuntes de 2º Introducció a les Comunicacions: T1. Intrduccio(RESUMEN_APUNTES).pdf

2 páginas

He publicado nuevos practicas de 2º Introducció a les Comunicacions: EP2 (ESTUDI-PREVI) ICOM.pdf

1 página