chevron_left
chevron_right
Todo
Apuntes
Ejercicios
Exámenes
Otros
Prácticas
publication
Test
Trabajos
chevron_left
chevron_right

He publicado nuevos apuntes de 1º Introducción a la Arquitectura: Apuntes-1o-parcial.docx

word

He publicado nuevos apuntes de 1º Introducción a la Arquitectura: Apuntes-2o-Parcial.pdf

4 páginas
Anónimo

@Anónimo

ejercicios

-

Ejercicios y trabajos de clase

He publicado nuevos ejercicios de 1º Introducción a la Arquitectura: Ejercicios y trabajos de clase

actividad-1.pdf
actividad-2.pdf
actividad-3.pdf
actividad-4.pdf
actividad-5.pdf
Casa-do-Brasil.pdf

Resumen sobre la obra de: Le Corbusier, Mies Van der Rohe Frank Lloyd Wright y Alvar Aalto

word
Anónimo

@Anónimo

PARCIAL2 2025

107 páginas
Anónimo

@Anónimo

Primer parcial 2025

72 páginas

En los parciales siempre hay unas preguntas cortas de "cuestionario", estas son las que salieron el año pasado 2024-2025 en el primer parcial de octubre en Introduccion a la arquitectura

2 páginas

Preguntas tipo examen para estudiar a la perfeccion el segundo parcial de la asignatura Introducción a la arquitectura

18 páginas

Preguntas tipo examen para sacar sobresaliente en Introducción a la Arquitectura

10 páginas

Resúmenes por temas de todo el temario de introducción a la arquitectura en la ETSAM :).

9 páginas

Todas las imágenes y planos que entran en el primer parcial de introducción a la arquitectura en la ETSAM.

23 páginas

apuntes

-

Introducción a la Arquitectura - Segundo parcial

Apuntes segundo parcial Introducción a la Arquitectura

Bauhaus-Casa--Construccion.pdf
La-Casa.-Viviendas-abiertas.pdf
La-vivienda-colectiva.-Vivienda-social.pdf
El-templo.-Lugares-para-el-espiritu-II.pdf
El-templo.-Lugares-para-el-espiritu-III.pdf
Espacios-publicos.pdf

apuntes

-

Introducción a la Arquitectura - Primer parcial

Apuntes primer parcial Introducción a la Arquitectura.

Definiciones-y-conceptos-preliminares.pdf
Lenguaje-y-representacion-en-arquitectura.pdf
El-cometido-funcional.pdf
La-dimension-formal.pdf
La-dimension-tecnica.pdf
La-casa-vivienda-y-cultura-I.pdf

Bloque 3 de Introducción a la arquitectura (las dimensiones de la arquitectura)

36 páginas

Apuntes del Bloque 2 (El Habitar) que comprende el habitar privado, público y colectivo

38 páginas

Apuntes de los 5 puntos del bloque 1 (el Arquitecto)

12 páginas

Apuntes de todo el cuatrimestre de introducción a la arquitectura. Profesores: Marco Enia y Graziella Trovato

17 páginas

He publicado nuevos apuntes de 1º Introducción a la Arquitectura: TeoriaCompleta-IntroduccionArquitectura-Rafael.pdf

106 páginas

He publicado nuevos apuntes de 1º Introducción a la Arquitectura: Segundo-Parcial-APUNTES-Trovato.pdf

9 páginas

He publicado nuevos apuntes de 1º Introducción a la Arquitectura: Primer-Parcial-APUNTES-TROVATO.pdf

9 páginas

He publicado nuevos apuntes de 1º Introducción a la Arquitectura: Resumen-primera-parte-Introduccion-a-la-Arquitectura.pdf

6 páginas

He publicado nuevos apuntes de 1º Introducción a la Arquitectura: Apuntes-intro-1er-parcial-Marta-Garcia-Carbonero.pdf

42 páginas

He publicado nuevos apuntes de 1º Introducción a la Arquitectura: Tema-3-Roma.pdf

4 páginas

He publicado nuevos apuntes de 1º Introducción a la Arquitectura: tema-2-Grecia.pdf

4 páginas

He publicado nuevos apuntes de 1º Introducción a la Arquitectura: SEGUNDO-PARCIAL-INTRO.pdf

19 páginas

He publicado nuevos apuntes de 1º Introducción a la Arquitectura: tema-1-Egipto.pdf

3 páginas

He publicado nuevos apuntes de 1º Introducción a la Arquitectura: Todas-las-plantas-del-primer-parcial.pdf

70 páginas

He publicado nuevos apuntes de 1º Introducción a la Arquitectura: Parcial-1-intro.pdf

7 páginas

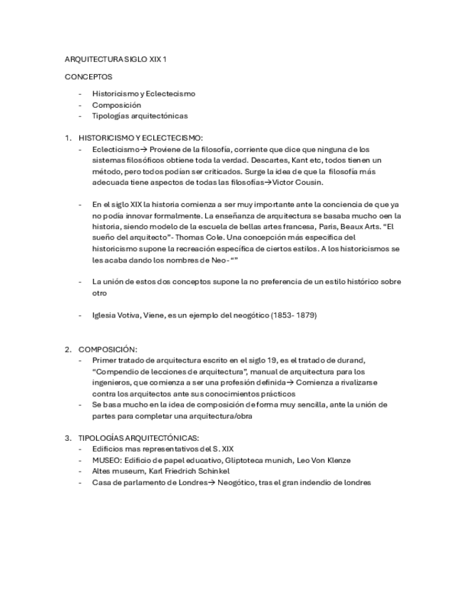
He publicado nuevos apuntes de 1º Introducción a la Arquitectura: ARQUITECTURA-SIGLO-XIX-1.pdf

1 página

He publicado nuevos apuntes de 1º Introducción a la Arquitectura: 1DIMENSION-TECNICA-DE-LA-ARQUITECTURA.pdf

2 páginas

Respuestas cuestionarios

1 página

Respuestas cuestionarios

1 página

Respuestas cuestionarios

1 página

Respuestas cuestionarios

1 página

Respuestas cuestionarios

1 página

Respuestas cuestionarios

1 página

Respuestas cuestionarios

1 página

Respuestas cuestionarios

2 páginas

Respuestas cuestionarios

1 página

He publicado nuevos apuntes de 1º Introducción a la Arquitectura: INTRODUCCION-GRAZIELA-TROVATO.pdf

8 páginas

trabajos

-

Trabajos - Sobresaliente- Introducción a la Arquitectura

He publicado nuevos trabajos de 1º Introducción a la Arquitectura: Trabajos - Sobresaliente- Introducción a la Arquitectura

Trabajo-1-Introduccion-a-la-Arquitectura.pdf
Trabajo-2-Introduccion-a-la-Arquitectura.pdf
Trabajo-3-Introduccion-a-la-Arquitectura.pdf
Trabajo-4-Introduccion-a-la-Arquitectura.pdf
Practica-1-Introduccion-a-la-Arquitectura.pdf

He publicado nuevos apuntes de 1º Introducción a la Arquitectura: 12.-ALEMANIA.pdf

8 páginas

He publicado nuevos apuntes de 1º Introducción a la Arquitectura: 11.-ARQUITECTURA-s.-XX.pdf

5 páginas

He publicado nuevos apuntes de 1º Introducción a la Arquitectura: 10.-VANGUARDIAS.pdf

8 páginas

He publicado nuevos apuntes de 1º Introducción a la Arquitectura: 9.-ADOLF-LOOS-.pdf

2 páginas

He publicado nuevos apuntes de 1º Introducción a la Arquitectura: 8.-VIENA-OTTO-WAGNER-Y-LA-SEZESION-.pdf

3 páginas

He publicado nuevos apuntes de 1º Introducción a la Arquitectura: 7.-ART-NOUVEAU.pdf

5 páginas

He publicado nuevos apuntes de 1º Introducción a la Arquitectura: 6.-FRANK-LLOYD-WRIGHT.pdf

5 páginas

He publicado nuevos apuntes de 1º Introducción a la Arquitectura: 5.-ARQUITECTURA-Y-URBANISMO-EN-ESTADOS-UNIDOS.pdf

3 páginas

He publicado nuevos apuntes de 1º Introducción a la Arquitectura: 4.-CIUDAD-s-XIX.pdf

6 páginas

He publicado nuevos apuntes de 1º Introducción a la Arquitectura: 3.-INGIENERIA-s.XIX-.pdf

3 páginas

He publicado nuevos apuntes de 1º Introducción a la Arquitectura: 2.-ARQUITECTURA-S-XIX.pdf

3 páginas

He publicado nuevos apuntes de 1º Introducción a la Arquitectura: 1.-NEOCLASICISMO-.pdf

6 páginas

He publicado nuevos apuntes de 1º Introducción a la Arquitectura: 8.-Barroco.pdf

5 páginas

He publicado nuevos apuntes de 1º Introducción a la Arquitectura: 7.-Renacimiento.pdf

4 páginas

He publicado nuevos apuntes de 1º Introducción a la Arquitectura: 6.-Gotico.pdf

5 páginas

He publicado nuevos apuntes de 1º Introducción a la Arquitectura: 5.-Arquitectura-bizantina.pdf

2 páginas

He publicado nuevos apuntes de 1º Introducción a la Arquitectura: 4.-Prerromanico-y-romanico.pdf

4 páginas

He publicado nuevos apuntes de 1º Introducción a la Arquitectura: 3.-Arquitectura-paleocristiana.pdf

2 páginas