chevron_left
chevron_right
Todo
Apuntes
Ejercicios
Exámenes
Otros
PEC
Prácticas
publication
Trabajos
chevron_left
chevron_right

EXAMEN 14_01_2025

17 páginas

PEC1_CURSO 2022_2023_2semestre

20 páginas

Módulo1. Introducción a los fundamentos de la contabilidad

10 páginas

He publicado nuevos apuntes de 1º Introducción a la Contabilidad

https://youtu.be/sY6_YvDkvPM?si=a4uq2pIl1fyCIWnL

EXAMEN RESUELTO - 21/06/2025 - TUACADEMIAFACIL

15 páginas

VÍDEO PRESENTACIÓN - CURSO "INTRODUCCIÓN A LA CONTABILIDAD" GRADO ADE - UOC (TUACADEMIAFACIL)

INTRODUCCIÓN A LA CONTABILIDAD (ADE - UOC). VÍDEO 1 - Módulo 1. ¿Qué es la contabilidad? PATRIMONIO

He publicado nuevos pec de 1º Introducción a la Contabilidad: Introduccion-a-la-contabilidad-PEC-5.pdf

18 páginas

He publicado nuevos pec de 1º Introducción a la Contabilidad: Introduccion-a-la-contabilidad-PEC-4.pdf

18 páginas

He publicado nuevos pec de 1º Introducción a la Contabilidad: Introduccion-a-la-contabilidad-PEC-3.pdf

17 páginas

He publicado nuevos pec de 1º Introducción a la Contabilidad: Introduccion-a-la-contabilidad-PEC-2.pdf

16 páginas

He publicado nuevos pec de 1º Introducción a la Contabilidad: Introduccion-a-la-contabilidad-PEC-1.pdf

16 páginas

He publicado nuevos pec de 1º Introducción a la Contabilidad: Introduccion-ContabilidadPEC5Solucion24252final-v2.doc

word

He publicado nuevos pec de 1º Introducción a la Contabilidad: Introduccion-ContabilidadPEC4PropuestaSolucion24252e.docx

word

He publicado nuevos pec de 1º Introducción a la Contabilidad: Introduccion-ContabilidadPEC3Propuesta-Solucion24252-v2.docx

word

He publicado nuevos pec de 1º Introducción a la Contabilidad: Introduccion-ContabilidadPEC2Propuesta-Solucion24252.docx

word

He publicado nuevos pec de 1º Introducción a la Contabilidad: Introduccion-ContabilidadPEC1Propuesta-Solucion24252.doc

word

He publicado nuevos apuntes de 1º Introducción a la Contabilidad: Financiacion-basica-y-activo-no-corriente.pdf

14 páginas

He publicado nuevos apuntes de 1º Introducción a la Contabilidad: Activo-y-pasivo-corriente.pdf

21 páginas

He publicado nuevos apuntes de 1º Introducción a la Contabilidad: El-metodo-contable-y-el-ciclo-contable.pdf

19 páginas

He publicado nuevos apuntes de 1º Introducción a la Contabilidad: Introduccion-a-los-fundamentos-de-la-contabilidad.pdf

14 páginas

He publicado nuevos apuntes de 1º Introducción a la Contabilidad

Miniatura no disponible
https://www.youtube.com/watch?v=8Xb2ikx7qSk

He publicado nuevos pec de 1º Introducción a la Contabilidad: PEC3CURSO-202320242semestre-enunciado.pdf

19 páginas

He publicado nuevos pec de 1º Introducción a la Contabilidad: PEC1CURSO-23242semestre-SOLUCIONpdf.pdf

17 páginas

He publicado nuevos pec de 1º Introducción a la Contabilidad: PEC2CURSO-23242semestre-enunciado.pdf

20 páginas

He publicado nuevos apuntes de 1º Introducción a la Contabilidad: Modulo1.-Introduccion-a-los-fundamentos-de-la-contabilidadPIZARRA.pdf

10 páginas

He publicado nuevos examenes de 1º Introducción a la Contabilidad: EXAMENINTRO-CONTABILIDAD-PR-Final-curso-2324-segundo-semestre.pdf

8 páginas

He publicado nuevos apuntes de 1º Introducción a la Contabilidad

https://youtu.be/Q1kO_YK99ok

He publicado nuevos apuntes de 1º Introducción a la Contabilidad: TuAcademiaFacil-Como-son-nuestros-cursos-UOC.mp4

video

He publicado nuevos apuntes de 1º Introducción a la Contabilidad

https://youtu.be/lJyQPjgn9oc

He publicado nuevos apuntes de 1º Introducción a la Contabilidad

Miniatura no disponible
https://t.me/+aFn-zxY6MwY0YmE0

He publicado nuevos otros de 1º Introducción a la Contabilidad: Como-son-nuestros-cursos-para-la-UOC.mp4

video

He publicado nuevos ejercicios de 1º Introducción a la Contabilidad: PR-Curso-22-23-segundo-semestre-PIZARRA.pdf

15 páginas

He publicado nuevos pec de 1º Introducción a la Contabilidad: PEC4CURSO-202320241semestre-PIZARRA.pdf

22 páginas

He publicado nuevos pec de 1º Introducción a la Contabilidad: PEC5CURSO-202320241semestre-PIZARRA.pdf

23 páginas

He publicado nuevos pec de 1º Introducción a la Contabilidad: PEC2CURSO-202320241semestre-solucion.pdf

17 páginas

He publicado nuevos pec de 1º Introducción a la Contabilidad: PEC3CURSO-202320241semestre-PIZARRA.pdf

18 páginas

He publicado nuevos pec de 1º Introducción a la Contabilidad: PEC1CURSO-202320241semestre-solucion.pdf

21 páginas

ejercicios

-

Exercicis BLOC III. Operacions empresarials i el cicle comptable

He publicado nuevos ejercicios de 1º Introducción a la Contabilidad: Exercicis BLOC III. Operacions empresarials i el cicle comptable

Proposta-solucio-empresa-EIXECROC.pdf
Solucio-casos-practics-credits-canviaris.pdf
Solucio-casos-practics-drets-de-cobrament.pdf
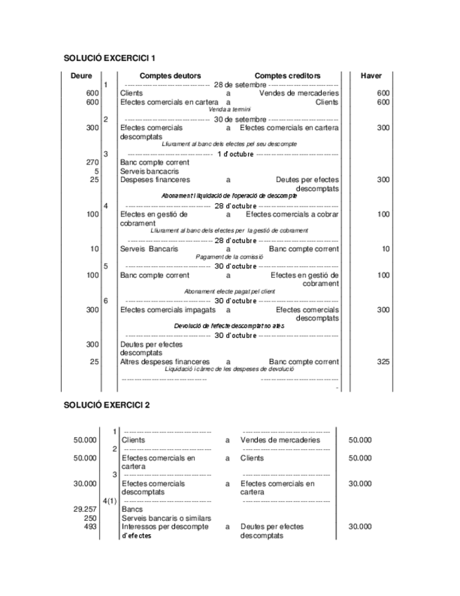
SOLUCIO-EXERCICIS-IMMOBILITZAT.pdf
Solucio-exercicis-periodificacio.pdf
SOLUCIO-EXERCICIS-TEMA-EXISTENCIES.pdf

ejercicios

-

Exercicis BLOC II. La instrumentació comptable

He publicado nuevos ejercicios de 1º Introducción a la Contabilidad: Exercicis BLOC II. La instrumentació comptable

Enunciats-casos-practics-del-16-al-19.pdf
Ex.-instrumentacio-comptable-partI.pdf
Exercicis-aplicacio-Teoria-Matematica-del-carrec-i-abonament.pdf
Sol-Exercici-instrumentacio-comptable-partI.pdf
Solucio-Exercicis-aplicacio-Teoria-Matematica-del-carrec-i-abonament.pdf

ejercicios

-

Exercicis BLOC I. Teoria de l'estructura patrimonial

He publicado nuevos ejercicios de 1º Introducción a la Contabilidad: Exercicis BLOC I. Teoria de l'estructura patrimonial

1.-CASOS-PRACTICS-1-BLOC-I.pdf
1.-SOLUCIONS-CASOS-PRACTICS-1-BLOC-I.pdf
2.-Enunciat-i-Solucio-per-fer-a-classe-110221.pdf
2.-Enunciat-per-fer-a-classe-110221.pdf
2.-Solucio11-02-21TeoriaGeneralde-la-Comptabilitat.pdf
3.-Cassos-practics-2-patrimoni.pdf
Anónimo

@Anónimo

apuntes

-

Comptabilitat

He publicado nuevos apuntes de 1º Introducción a la Contabilidad: Comptabilitat

Metode-i-Cicle-comptable.pdf
Actiu-no-corrent.pdf
Actiu-i-Passiu-Corrent.pdf
Resultat-de-lexercici.pdf
Fonaments-de-comptabilitat.pdf
Anónimo

@Anónimo

trabajos

-

Introducción a la contabilidad

He publicado nuevos trabajos de 1º Introducción a la Contabilidad: Introducción a la contabilidad

pec5solucion.doc
pec3solucion.docx
pec1solucion.doc
pec2solucion.doc
pec4solucion.doc
Anónimo

@Anónimo

practicas

-

IC 2020-2021

He publicado nuevos practicas de 1º Introducción a la Contabilidad: IC 2020-2021

Introduccio-ComptabilitatPAC5Proposta-Solucio20211.docx
IntroduccioComptabilitatSolucioPAC420211.zip
Introduccio-ComptabilitatPAC2Proposta-Solucio20211.doc
IntroduccioComptabilitatSolucioPAC320211.zip
IntroduccioComptabilitat-PAC1Proposta-de-Solucio20-211.doc
Anónimo

@Anónimo

He publicado nuevos apuntes de 1º Introducción a la Contabilidad: RESUMEN INTRODUCCION A LA CONTABILIDAD.rar

rar
¡Estás al día!

¡Estás al día!

Has visto todos los archivos