Todo
Apuntes
Ejercicios
Exámenes
Otros
Prácticas
Test
chevron_left
chevron_right

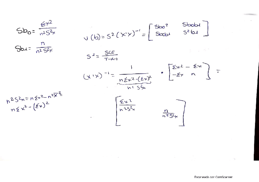
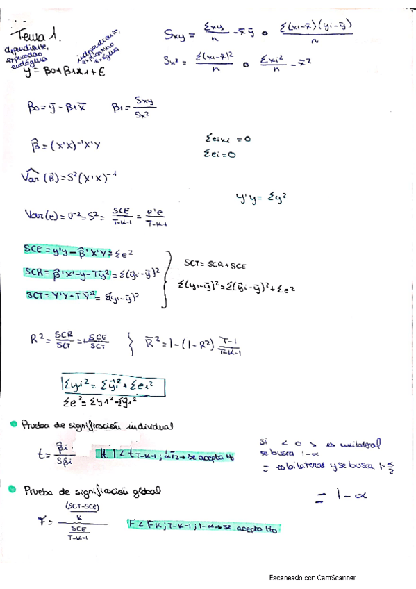
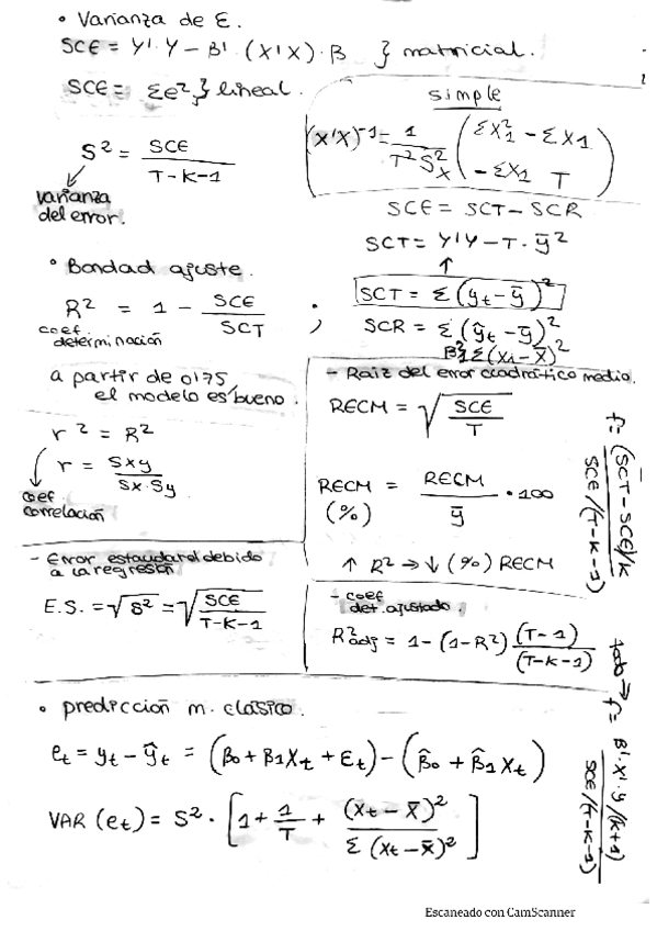
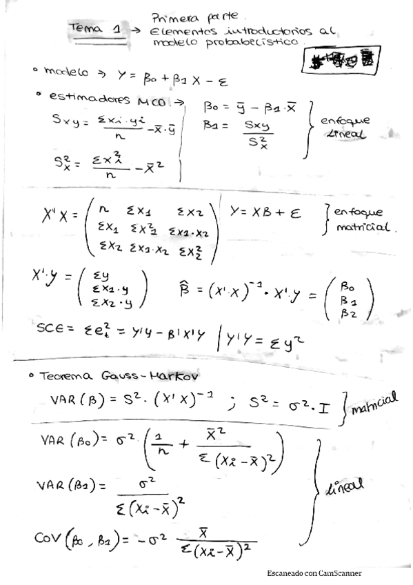
He publicado nuevos apuntes de 2º Introducción a la Econometría: Apuntes-Tema-1.pdf

21 páginas

He publicado nuevos ejercicios de 2º Introducción a la Econometría: TEMA-2.-HETEROCEDASTICIDAD.-ESTIMADOR-MCG.pdf

5 páginas

He publicado nuevos ejercicios de 2º Introducción a la Econometría: EJERCICIO-HETEROCEDASTICIDAD.pdf

2 páginas

He publicado nuevos ejercicios de 2º Introducción a la Econometría: EJERCICIO-TEMA-2-HETEROCEDASTICIDAD-Y-AUTOCORRELACION.pdf

5 páginas

He publicado nuevos ejercicios de 2º Introducción a la Econometría: EJERCICIO-DE-REPASO-ECONOMETRIA.pdf

2 páginas

He publicado nuevos ejercicios de 2º Introducción a la Econometría: EJERCICIO-ECONOMETRIA.-AUTOCORRELACION.pdf

5 páginas

He publicado nuevos examenes de 2º Introducción a la Econometría: Examen-Junio.pdf

2 páginas

He publicado nuevos examenes de 2º Introducción a la Econometría: Examen-Julio.pdf

1 página

He publicado nuevos practicas de 2º Introducción a la Econometría: eviews.pdf

6 páginas

apuntes

-

INTRODUCCIÓN ECONOMETRÍA

He publicado nuevos apuntes de 2º Introducción a la Econometría: INTRODUCCIÓN ECONOMETRÍA

RESUMEN-TEORIA-Eview-EXAMEN-1.pdf

He publicado nuevos apuntes de 2º Introducción a la Econometría: Tipos-de-ejercicios-T6-PRACTICA.pdf

19 páginas

apuntes

-

Introducción a la econometría

He publicado nuevos apuntes de 2º Introducción a la Econometría: Introducción a la econometría

PRESENTACION-TEMA-6.pdf
PRESENTACION-TEMA-5.pdf
ELASTICIDAD.pdf

apuntes

-

Introducción a la econometria

He publicado nuevos apuntes de 2º Introducción a la Econometría: Introducción a la econometria

PRESENTACION-TEMA-3.pdf
PRESENTACION-TEMA-2-SEGUNDA-PARTE.pdf
PRESENTACION-TEMA-2.pdf
PRESENTACION-TEMA-2.pdf
PRESENTACION-TEMA-2-PRIMERA-PARTE.pdf
PRESENTACION-TEMA-1.pdf

apuntes

-

Ejercicios de econometría

He publicado nuevos apuntes de 2º Introducción a la Econometría: Ejercicios de econometría

Ejercicio-4-enunciado.pdf
Ejercicio-2.pdf
Ejercicio-1.pdf
Ejercicio-4-solucion.pdf

He publicado nuevos apuntes de 2º Introducción a la Econometría: Sesiones-5-6-y-7-de-Eviews.pdf

15 páginas

He publicado nuevos apuntes de 2º Introducción a la Econometría: apuntes-en-pasos-eviews.pdf

2 páginas

He publicado nuevos apuntes de 2º Introducción a la Econometría: apuntes-ecm2-para-econometria.pdf

2 páginas

He publicado nuevos test de 2º Introducción a la Econometría: test-econometria.pdf

8 páginas
Anónimo

@Anónimo

He publicado nuevos apuntes de 2º Introducción a la Econometría: Apuntes-con-todas-las-formulas.pdf

16 páginas

He publicado nuevos apuntes de 2º Introducción a la Econometría: Tipo-Test-Econometria.pdf

25 páginas

He publicado nuevos apuntes de 2º Introducción a la Econometría: SESION-7-GP-ECONOMETRIA.pdf

5 páginas

He publicado nuevos apuntes de 2º Introducción a la Econometría: SESION-6-GP-ECONOMETRIA.pdf

7 páginas

He publicado nuevos apuntes de 2º Introducción a la Econometría: SESION-5-GP-ECONOMETRIA.pdf

15 páginas

He publicado nuevos apuntes de 2º Introducción a la Econometría: Tema-6-tipo-test-2020.pdf

8 páginas

He publicado nuevos apuntes de 2º Introducción a la Econometría: Pasos.pdf

3 páginas

He publicado nuevos apuntes de 2º Introducción a la Econometría: Tipo-test-tema-4-5.pdf

7 páginas

He publicado nuevos apuntes de 2º Introducción a la Econometría: SESION-2-GP-EVIEWS-ECONOMETRIA.pdf

8 páginas

He publicado nuevos apuntes de 2º Introducción a la Econometría: SESION-1-GP-EVIEWS-ECONOMETRIA.pdf

8 páginas

He publicado nuevos apuntes de 2º Introducción a la Econometría: Temario-formulas-y-practicas.pdf

71 páginas

He publicado nuevos apuntes de 2º Introducción a la Econometría: practicas-todos-los-temas.pdf

21 páginas

He publicado nuevos apuntes de 2º Introducción a la Econometría: resumen-temas.pdf

42 páginas

He publicado nuevos apuntes de 2º Introducción a la Econometría: formulas-juntas.pdf

17 páginas

He publicado nuevos apuntes de 2º Introducción a la Econometría: apuntes-Eviews-practicas.pdf

11 páginas

apuntes

-

EVIEWS - PASO A PASO

He publicado nuevos apuntes de 2º Introducción a la Econometría: EVIEWS - PASO A PASO

EJERCICIOS-EVIEWS-PASO-A-PASO.pdf
MERCAPESCAY-EJERCICIO-82-EN-EVIEWS.pdf
EXPLICACION-PRACTICAS-EVIEWS-PASO-A-PASO.pdf
DEMOSTRACIONES-ECONOMETRIA.pdf
AZUCAR-Y-ROPA.pdf

He publicado nuevos apuntes de 2º Introducción a la Econometría: EJERCICIOS-EVLUACION-CONT-INUA-ANO-2019.pdf

14 páginas

He publicado nuevos examenes de 2º Introducción a la Econometría: test-econometria.pdf

18 páginas

apuntes

-

APUNTES

He publicado nuevos apuntes de 2º Introducción a la Econometría: APUNTES

BURROS-VS-ESTUDIANTES.pdf
SOBRE-BURROS-Y-TRACTORES.pdf
Anscombe.xls
anscombe1973.pdf
PRESENTACION-TEMA-1.pdf
PRESENTACION-TEMA-1.pdf

He publicado nuevos ejercicios de 2º Introducción a la Econometría: Ejercicio-foto-pizarra.pdf

4 páginas

test

-

Test Econometría

He publicado nuevos test de 2º Introducción a la Econometría: Test Econometría

Test-Econometria-temas-4-y-5.pdf
Test-Econometria-temas-2-y-3.pdf
Test-Econometria-tema-6.pdf
Test-Econometria-Tema-1.pdf

He publicado nuevos apuntes de 2º Introducción a la Econometría: TEST-TEMA-6.rtf

word

He publicado nuevos apuntes de 2º Introducción a la Econometría: TEST-ECONOMETRIA-TEMA-2-Y-3.docx

word

apuntes

-

1º PRACTICA EVIEW

He publicado nuevos apuntes de 2º Introducción a la Econometría: 1º PRACTICA EVIEW

ejercicio-2.wf1
ejercicio-3.wf1
tablas-2.wf1
heter-1.wf1
ejercicios-4.wf1
ejercicio-5.wf1

He publicado nuevos ejercicios de 2º Introducción a la Econometría: Ejercicio-autoevaluacion-econometria-tema-1.pdf

3 páginas

He publicado nuevos apuntes de 2º Introducción a la Econometría: Formulas-t2-3-econometria.pdf

2 páginas

He publicado nuevos apuntes de 2º Introducción a la Econometría: FormularioT1.pdf

1 página

He publicado nuevos apuntes de 2º Introducción a la Econometría: Ejercicios-Examen.pdf

10 páginas

apuntes

-

TEORIA 2/2

He publicado nuevos apuntes de 2º Introducción a la Econometría: TEORIA 2/2

PRESENTACION-TEMA-6.pdf
Resumen-interpretacion-de-la-pendiente-en-los-modelos-semi-y-logaritmi.pdf
PRESENTACION-TEMA-5.pdf
resumen-modelos.jpg
PRESENTACION-TEMA-4.pdf

apuntes

-

TEORIA 1/2

He publicado nuevos apuntes de 2º Introducción a la Econometría: TEORIA 1/2

PRESENTACION-TEMA-3.pdf
PRESENTACION-TEMA-1.pdf
PRESENTACION-TEMA-1.pdf
PRESENTACION-TEMA-2-TERCERA-PARTE2.pdf
PRESENTACION-TEMA-2-PRIMERA-PARTE.pdf
PRESENTACION-TEMA-2-SEGUNDA-PARTE.pdf

apuntes

-

PROBLEMAS EXAMEN 3/3

He publicado nuevos apuntes de 2º Introducción a la Econometría: PROBLEMAS EXAMEN 3/3

TEMA-5.-SEGUNDO-EJERCICIO-RESUELTO-CON-EXCEL-2.xls
TEMA-6.xlsx
TEMA-5.-PRIMER-EJERCICIO-RESUELTO-CON-EXCEL-2.xls
TEMA-6.pdf

apuntes

-

PROBLEMAS EXAMEN 2/3

He publicado nuevos apuntes de 2º Introducción a la Econometría: PROBLEMAS EXAMEN 2/3

TEMA-4.pdf
TEMA-5.pdf
TEMA-5.pdf
TEMA-4.-PRIMER-EJERCICIO-RESUELTO-CON-EXCEL-2.xls
TEMA-3.xlsx
TEMA-3.pdf

apuntes

-

PROBLEMAS EXAMEN 1/3

He publicado nuevos apuntes de 2º Introducción a la Econometría: PROBLEMAS EXAMEN 1/3

TEMA-2.pdf
Tema-1.pdf
TEMA-2.xlsx
TEMA-2.pdf
TEMA-2.-TERCER-EJERCICIO-RESUELTO-CON-EXCEL-2.xls
Tema-1.pdf

apuntes

-

EXAMENES

He publicado nuevos apuntes de 2º Introducción a la Econometría: EXAMENES

Practicas.pdf
Preguntas-Teoria.pdf
JUNIO-2019.pdf
Teoria-Completa.pdf

He publicado nuevos apuntes de 2º Introducción a la Econometría: 206655.pdf

4 páginas

He publicado nuevos apuntes de 2º Introducción a la Econometría: Teoria-econometria.docx

word

He publicado nuevos ejercicios de 2º Introducción a la Econometría: Ejercicios.pdf

4 páginas
Anónimo

@Anónimo

He publicado nuevos examenes de 2º Introducción a la Econometría: JUNIO-2019.pdf

2 páginas

He publicado nuevos apuntes de 2º Introducción a la Econometría: TEORIA-4-EVIEW-PDF-SUBB.pdf

2 páginas

He publicado nuevos apuntes de 2º Introducción a la Econometría: TEORIA-3-EVIEW-PDF-SUBB.pdf

4 páginas

He publicado nuevos apuntes de 2º Introducción a la Econometría: 3a-SESION-HETEROCEDASTICIDAD-PDF.pdf

2 páginas

He publicado nuevos apuntes de 2º Introducción a la Econometría: 2a-SESION-AUTOCORRELACION-PDF.pdf

1 página