Introducción a la Ingeniería Ambiental

chevron_left
chevron_right
Todo
Apuntes
Ejercicios
Exámenes
chevron_left
chevron_right

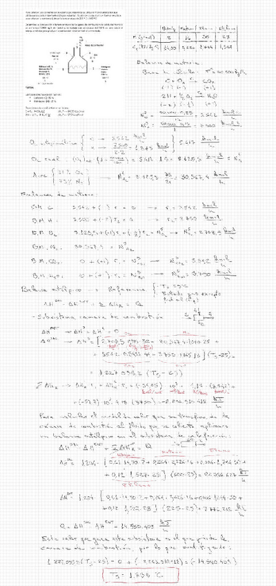
Seminario resuelto de balances de energía.

1 página

Seminario resuelto de balance de materia

1 página

Es una recopilación de seminarios y examenes de años anteriores

3 páginas

He publicado nuevos ejercicios de 1º Introducción a la Ingeniería Ambiental: Ejercicios-Balance-de-Energia.pdf

3 páginas

He publicado nuevos ejercicios de 1º Introducción a la Ingeniería Ambiental: Ejercicios-Balance-de-Materia.pdf

4 páginas

He publicado nuevos ejercicios de 1º Introducción a la Ingeniería Ambiental: IA009-Problhoja-1Tema-2-20162017.pdf

2 páginas

He publicado nuevos ejercicios de 1º Introducción a la Ingeniería Ambiental: IA009-Probhoja-2Tema-3-20162017CP.pdf

2 páginas

He publicado nuevos ejercicios de 1º Introducción a la Ingeniería Ambiental: IA009-Probhoja-1Tema-4.pdf

2 páginas

He publicado nuevos apuntes de 1º Introducción a la Ingeniería Ambiental: t5-apuntes-indices-de-calidad-del-medio.pdf

8 páginas

apuntes

-

T4 BE ejercicios+apuntes

repaso junio tiene todos los ejercicios importantes!!

t4-ejercicios-2-sin-RQ-BE.pdf
t4-ejercicios-diapositivas-BE.pdf
t4-repaso-junio-BE.pdf
t4-seminario-2022-BE.pdf
t4-seminario-2023-BE.pdf
t4-apuntes-BE.pdf

apuntes

-

T3 BM ejercicios+apuntes

repaso junio tiene todos los ejercicios importantes!!

t3-ejercicios-BM.pdf
t3-ejercicios-diapositivas-BM.pdf
t3-repaso-junio-BM.pdf
t3-seminario-resuelto-BM.pdf
t3-apuntes-BM.pdf

He publicado nuevos ejercicios de 1º Introducción a la Ingeniería Ambiental: t2-ejercicios-sistemas.pdf

2 páginas

He publicado nuevos apuntes de 1º Introducción a la Ingeniería Ambiental: t2-apuntes-sistemas.pdf

1 página

He publicado nuevos apuntes de 1º Introducción a la Ingeniería Ambiental: Evaluacion-T3-INTROD.-ING.-AMBIENTALGrupo-3.pdf

27 páginas

EXAMEN PARCIAL DOCUMENTO

6 páginas

EXAMEN

10 páginas

Primer examen

4 páginas

apuntes

-

TEORÍA COMPLETA

He publicado nuevos apuntes de 1º Introducción a la Ingeniería Ambiental: TEORÍA COMPLETA

2.-INTRODUCCION-A-LA-INGENIERIA-AMBINTAL.pdf
3.-INTRODUCCION-A-LA-INGENIERIA-AMBIENTAL.pdf
4.-INTRODUCCION-A-LA-INGENIERIA-AMBIENTAL.pdf
5.-INTRODUCCION-A-LA-INGENIERIA-AMBIENTAL.pdf

He publicado nuevos apuntes de 1º Introducción a la Ingeniería Ambiental: Restaura-la-biodiversidad-de-Nuevo-Leon-1.pdf

1 página

He publicado nuevos apuntes de 1º Introducción a la Ingeniería Ambiental: Glosario-de-ingenieria-ambiental.pdf

5 páginas

He publicado nuevos apuntes de 1º Introducción a la Ingeniería Ambiental: linea-del-tiempo-IIA.pdf

1 página

He publicado nuevos apuntes de 1º Introducción a la Ingeniería Ambiental: Glosario-de-ingenieria-ambiental-1.pdf

4 páginas

He publicado nuevos apuntes de 1º Introducción a la Ingeniería Ambiental: Analisis-del-ciclo-de-vida.pdf

10 páginas

He publicado nuevos examenes de 1º Introducción a la Ingeniería Ambiental: Seminario-Balance de Energía.pdf

1 página

apuntes

-

Ejercicios intro. A la IA

He publicado nuevos apuntes de 1º Introducción a la Ingeniería Ambiental: Ejercicios intro. A la IA

Ejercicios-hoja-2-2.pdf
Ejercicios-hoja-3-1.pdf
Problemas-balance-de-energia.pdf
Ejercicios-hoja-2-1.pdf
Ejercicios-hoja-3-2.pdf

apuntes

-

Introducción a la ing. Ambiental

He publicado nuevos apuntes de 1º Introducción a la Ingeniería Ambiental: Introducción a la ing. Ambiental

Parte-1-balance-de-materia.pdf
Parte-2-balance-de-energia.pdf

ejercicios

-

Ejercicios

He publicado nuevos ejercicios de 1º Introducción a la Ingeniería Ambiental: Ejercicios

Tema-2-problemas.pdf
Tema-3-problemas.pdf
Tema-4-problemas.pdf

apuntes

-

Temas

He publicado nuevos apuntes de 1º Introducción a la Ingeniería Ambiental: Temas

Tema-1-La-Ingenieria-Ambiental.pdf
Tema-2-Sistemas-y-procesos.pdf
Tema-3-Balances-de-Materia.pdf
Tema-4-Balances-de-Energia.pdf
Tema-5-Indices-de-Calidad-del-Medio.pdf

He publicado nuevos examenes de 1º Introducción a la Ingeniería Ambiental: Resolucion-del-problema-del-Seminario-BE.pdf

1 página

apuntes

-

Microbiología ambiental

Biorremediación de suelos contaminados | Flujograma

Flujograma.pdf
¡Estás al día!

¡Estás al día!

Has visto todos los archivos