Introducción a la Teoría de Campos

chevron_left
chevron_right
Todo
Apuntes
chevron_left
chevron_right

apuntes

-

Ejercicios

He publicado nuevos apuntes de 4º Introducción a la Teoría de Campos: Ejercicios

conmutador-de-L-con-f-y-ps.pdf
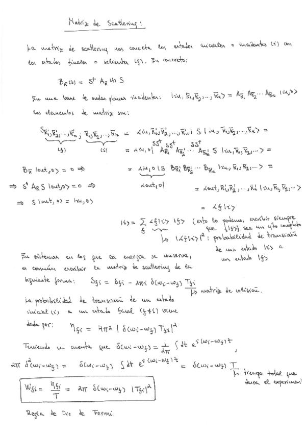
matriz-de-scattering.pdf
ejericcios.pdf
NormalizacionBessel.pdf
estados-de-una-particula.pdf
conexion-estados-fisicos-y-estados-desnudos.pdf
¡Estás al día!

¡Estás al día!

Has visto todos los archivos