Introducción a las Finanzas Empresariales

Todo
Apuntes
Ejercicios
Exámenes
Otros
Prácticas
Test
chevron_left
chevron_right

He publicado nuevos apuntes de 1º Introducción a las Finanzas Empresariales: IFE-T.4-LAS-RENTAS-FINANCIERAS-Y-SU-VALORACION.pdf

5 páginas

He publicado nuevos apuntes de 1º Introducción a las Finanzas Empresariales: IFE-T.3-OPERACIONES-FINANCIERAS-DE-DESCUENTO.pdf

8 páginas

He publicado nuevos apuntes de 1º Introducción a las Finanzas Empresariales: IFE-T.2-OPERACIONES-FINANCIERAS-DE-CAPITALIZACION.pdf

9 páginas

He publicado nuevos apuntes de 1º Introducción a las Finanzas Empresariales: IFE-T.1-FUNDAMENTOS-DE-LAS-OPERACIONES-FINANCIERAS.pdf

9 páginas

ejercicios

-

Ejercicios y ejemplos resueltos

He publicado nuevos ejercicios de 1º Introducción a las Finanzas Empresariales: Ejercicios y ejemplos resueltos

Ejercicios-tema-7.pdf
Ejercicios-tema-8.pdf
Ejercicios-tema-6.pdf
Ejemplos-de-descuento.pdf
Ejemplos-de-rentas-financieras.pdf
Ejemplos-de-capitalizacion.pdf

He publicado nuevos examenes de 1º Introducción a las Finanzas Empresariales: EXAMEN-IFE-FEBRERO-FYCO-2024.pdf

5 páginas

He publicado nuevos examenes de 1º Introducción a las Finanzas Empresariales: EXAMEN-FEBRERO-IFE-2024.pdf

5 páginas

examenes

-

Examen febrero 23/24 con solución

He publicado nuevos examenes de 1º Introducción a las Finanzas Empresariales: Examen febrero 23/24 con solución

Captura-de-pantalla-34.png
Captura-de-pantalla-35.png
Ejercicios-1.pdf
Ejercicios-2.pdf

He publicado nuevos apuntes de 1º Introducción a las Finanzas Empresariales: IMG2023-Actividad-evaluab-T6.jpg

Imagen

He publicado nuevos ejercicios de 1º Introducción a las Finanzas Empresariales: EJERCICIOS-TEMA-2-y-3-IFE.pdf

6 páginas

He publicado nuevos ejercicios de 1º Introducción a las Finanzas Empresariales: ejercicios-practicos-IFE.pdf

17 páginas

He publicado nuevos apuntes de 1º Introducción a las Finanzas Empresariales: formulas-introduccion-a-las-finanzas-emp.pdf

7 páginas

He publicado nuevos apuntes de 1º Introducción a las Finanzas Empresariales: EJERCICIOS-Y-AUTOEVALUACIONES-IFE.pdf

12 páginas

He publicado nuevos apuntes de 1º Introducción a las Finanzas Empresariales: ACTIVIDAD-EVALUABLE-T3.jpg

Imagen

He publicado nuevos apuntes de 1º Introducción a las Finanzas Empresariales: ACTIVIDAD-EVALUABLE-T4.jpg

Imagen

He publicado nuevos apuntes de 1º Introducción a las Finanzas Empresariales: ACTIVIDAD-EVALUABLE-T2.jpg

Imagen

He publicado nuevos apuntes de 1º Introducción a las Finanzas Empresariales: FORMULARIO-BLOQUE-1.pdf

5 páginas

He publicado nuevos apuntes de 1º Introducción a las Finanzas Empresariales: FORMULAS-T4.pdf

3 páginas

He publicado nuevos apuntes de 1º Introducción a las Finanzas Empresariales: FORMULAS-T3.pdf

1 página

He publicado nuevos apuntes de 1º Introducción a las Finanzas Empresariales: FORMULAS-T2.pdf

1 página

He publicado nuevos ejercicios de 1º Introducción a las Finanzas Empresariales: Ejercicios-propuestos-T4.pdf

15 páginas

He publicado nuevos ejercicios de 1º Introducción a las Finanzas Empresariales: Ejercicios-de-clase-T4.pdf

9 páginas

He publicado nuevos ejercicios de 1º Introducción a las Finanzas Empresariales: EJERCICIOS-DEL-T4.pdf

23 páginas

He publicado nuevos ejercicios de 1º Introducción a las Finanzas Empresariales: Ejercicios-propuestos-T3.pdf

4 páginas

He publicado nuevos ejercicios de 1º Introducción a las Finanzas Empresariales: Ejercicios-de-clase-T3.pdf

4 páginas

He publicado nuevos ejercicios de 1º Introducción a las Finanzas Empresariales: EJERCICIOS-DEL-T3.pdf

8 páginas

He publicado nuevos ejercicios de 1º Introducción a las Finanzas Empresariales: Ejercicios-propuestos-T2.pdf

8 páginas

He publicado nuevos ejercicios de 1º Introducción a las Finanzas Empresariales: Ejercicios-de-clase-T2.pdf

10 páginas

He publicado nuevos apuntes de 1º Introducción a las Finanzas Empresariales: Examen-IFE-Junio-mi-nota-final-fue-un-8.pdf

3 páginas

apuntes

-

Formulario IFE

He publicado nuevos apuntes de 1º Introducción a las Finanzas Empresariales: Formulario IFE

Formulas-Tema-2-y-3.jpeg
Formulas-Tema-4.jpeg
Formulas-Tema-6.jpeg
Formulas-Tema-8.jpeg
Formulas-continuacion-Tema-8.jpeg
Formulas-continuacion-Tema-8.jpeg

He publicado nuevos apuntes de 1º Introducción a las Finanzas Empresariales: FORMULARIO IFE.pdf

2 páginas

He publicado nuevos ejercicios de 1º Introducción a las Finanzas Empresariales: AUTOEVALUACIÓN 8 IFE.pdf

2 páginas

examenes

-

IFE_ Examenes corregidos

He publicado nuevos examenes de 1º Introducción a las Finanzas Empresariales: IFE_ Examenes corregidos

IFE-Examen-ADE-junio.pdf
IFE-Examen-febrero-2021.pdf
IFE-Examen-junio-2021.pdf

ejercicios

-

IFE_ Ejercicios corregidos

He publicado nuevos ejercicios de 1º Introducción a las Finanzas Empresariales: IFE_ Ejercicios corregidos

IFE-Ejercicios-de-clase.pdf
IFE-Ejercicios-propuestos.pdf

He publicado nuevos apuntes de 1º Introducción a las Finanzas Empresariales: IFE-Formulario-completo.pdf

4 páginas

apuntes

-

IFE_ Temario completo

He publicado nuevos apuntes de 1º Introducción a las Finanzas Empresariales: IFE_ Temario completo

IFE-Tema-1.pdf
IFE-Tema-2.pdf
IFE-Tema-3.pdf
IFE-Tema-4.pdf
IFE-Tema-5.pdf
IFE-Tema-6.pdf

He publicado nuevos apuntes de 1º Introducción a las Finanzas Empresariales: EXAMEN-FINAL-ENERO.pdf

1 página

examenes

-

Examen IFE Junio recuperación 2022 con soluciones

He publicado nuevos examenes de 1º Introducción a las Finanzas Empresariales: Examen IFE Junio recuperación 2022 con soluciones

2.jpg
4.jpg
6.jpg
5.jpg
7.jpg
1.jpg
Anónimo

@Anónimo

He publicado nuevos examenes de 1º Introducción a las Finanzas Empresariales: Ejercicios de exámenes con solución.pdf

15 páginas
Anónimo

@Anónimo

He publicado nuevos apuntes de 1º Introducción a las Finanzas Empresariales: Ejercicios-Tema-8.pdf

pdf
Anónimo

@Anónimo

He publicado nuevos apuntes de 1º Introducción a las Finanzas Empresariales: Ejercicios-tema-6.pdf

pdf
Anónimo

@Anónimo

He publicado nuevos ejercicios de 1º Introducción a las Finanzas Empresariales: Ejercicios-T2-3-IFE.pdf

pdf
Anónimo

@Anónimo

He publicado nuevos ejercicios de 1º Introducción a las Finanzas Empresariales: Ejercicios-4-IFE.pdf

pdf
Anónimo

@Anónimo

He publicado nuevos apuntes de 1º Introducción a las Finanzas Empresariales: Ejercicios-tema-4.pdf

pdf
Anónimo

@Anónimo

He publicado nuevos ejercicios de 1º Introducción a las Finanzas Empresariales: Ejercicios-tema-2.pdf

pdf

apuntes

-

ejercicios de repaso

He publicado nuevos apuntes de 1º Introducción a las Finanzas Empresariales: ejercicios de repaso

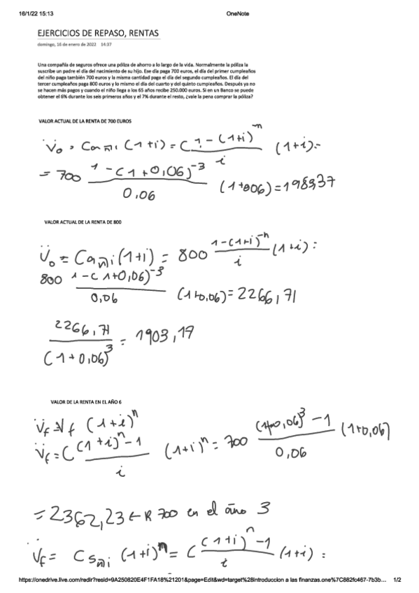
ejercicios-de-repaso-parte-rentas.pdf
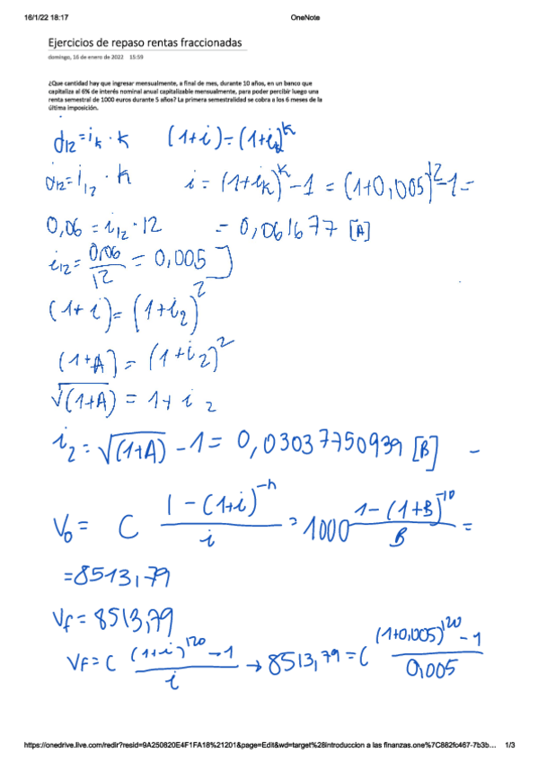
ejercicios-de-repaso-parte-rentas-fraccionadas.pdf

He publicado nuevos apuntes de 1º Introducción a las Finanzas Empresariales: Practica-8.xlsx

excel
Anónimo

@Anónimo

He publicado nuevos apuntes de 1º Introducción a las Finanzas Empresariales: FORMULAS-RENTAS.pdf

1 página

He publicado nuevos apuntes de 1º Introducción a las Finanzas Empresariales: AUTOEVALUACION-8.pdf

2 páginas

He publicado nuevos apuntes de 1º Introducción a las Finanzas Empresariales: EXAMEN-FINAL-ENERO.pdf

1 página

He publicado nuevos apuntes de 1º Introducción a las Finanzas Empresariales: AUTOEVALUACION-7.pdf

9 páginas

He publicado nuevos apuntes de 1º Introducción a las Finanzas Empresariales: AUTOEVALUACION-6.pdf

1 página

He publicado nuevos apuntes de 1º Introducción a las Finanzas Empresariales: AUTOEVALUACION-5.pdf

9 páginas

He publicado nuevos apuntes de 1º Introducción a las Finanzas Empresariales: AUTOEVALUACION-4.pdf

2 páginas

He publicado nuevos apuntes de 1º Introducción a las Finanzas Empresariales: AUTOEVALUACION-3.pdf

4 páginas

He publicado nuevos apuntes de 1º Introducción a las Finanzas Empresariales: AUTOEVALUACION-2.pdf

4 páginas

He publicado nuevos apuntes de 1º Introducción a las Finanzas Empresariales: AUTOEVALUACION-1.pdf

5 páginas

He publicado nuevos ejercicios de 1º Introducción a las Finanzas Empresariales: ejercicios-tema-4.pdf

4 páginas
Anónimo

@Anónimo

He publicado nuevos examenes de 1º Introducción a las Finanzas Empresariales: Examen-introduccion-a-las-financias-empresaliares.pdf

2 páginas

apuntes

-

IFE

He publicado nuevos apuntes de 1º Introducción a las Finanzas Empresariales: IFE

FORMULARIO-IFE-.pdf
EJERCICIOS-TEMA-2.pdf
EJERCICIOS-TEMA-3.pdf
EJERCICIOS-TEMA-4.pdf
EJERCICIOS-TEMA-6.pdf
EJERCICIOS-TEMA-7.pdf