Introducción a las Operaciones Financieras
He publicado nuevos ejercicios de 1º Introducción a las Operaciones Financieras: problemas-tema-5-IOF.pdf
He publicado nuevos examenes de 1º Introducción a las Operaciones Financieras: parcial-iof-2022-23.pdf
He publicado nuevos examenes de 1º Introducción a las Operaciones Financieras: EXAMENIOF.pdf
apuntes
-
IOF
He publicado nuevos apuntes de 1º Introducción a las Operaciones Financieras: IOF
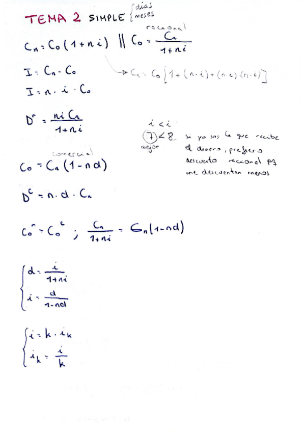
Todas las fórmulas necesarias para realizar los problemas del tema 2, 3 y 4
💥 Clases Particulares Online — Tu aprobado asegurado con Conta Master Academy
APRUEBA Introducción a las Operaciones Financieras… por menos de una Big Mac 🍔 Solo durante octubre, trae a tus amigos y consigue: 🟢 -30 % grupos de 3 a 5 🔴 -50 % grupos de 6 o más ⏳ Plazas limitadas 💬 Escríbenos sin compromiso al 639 879 228 📍 Conta Master Academy
He publicado nuevos apuntes de 1º Introducción a las Operaciones Financieras: 6-RENTAS-VARIABLES.ppt
He publicado nuevos apuntes de 1º Introducción a las Operaciones Financieras: 5-RENTAS-CONSTANTES-1.ppt
He publicado nuevos apuntes de 1º Introducción a las Operaciones Financieras: 4-RENTAS.ppt
He publicado nuevos apuntes de 1º Introducción a las Operaciones Financieras: 2-CAPITALIZACION-SIMPLE.ppt
He publicado nuevos apuntes de 1º Introducción a las Operaciones Financieras: 3-CAPITALIZACION-COMPUESTA.ppt
He publicado nuevos apuntes de 1º Introducción a las Operaciones Financieras: 1-CONCEPTOS-GENERALES.ppt
He publicado nuevos apuntes de 1º Introducción a las Operaciones Financieras: examen-ordinaria-iof.pdf
examenes
-
INTRODUCCIÓN A LAS OPERACIONES FINANCIERAS
He publicado nuevos examenes de 1º Introducción a las Operaciones Financieras: INTRODUCCIÓN A LAS OPERACIONES FINANCIERAS
He publicado nuevos ejercicios de 1º Introducción a las Operaciones Financieras: TEMA-6.pdf
He publicado nuevos ejercicios de 1º Introducción a las Operaciones Financieras: TEMA-2.pdf
He publicado nuevos ejercicios de 1º Introducción a las Operaciones Financieras: TEMA-5.pdf
He publicado nuevos apuntes de 1º Introducción a las Operaciones Financieras: Rentas-Geometricas.pdf
He publicado nuevos apuntes de 1º Introducción a las Operaciones Financieras: Tema-5--RENTAS-.pdf
He publicado nuevos apuntes de 1º Introducción a las Operaciones Financieras: Repaso-Tipo-Test-Tema-5.pdf
He publicado nuevos ejercicios de 1º Introducción a las Operaciones Financieras: Ejercicios.pdf
He publicado nuevos apuntes de 1º Introducción a las Operaciones Financieras: Clase-IOF-cancelacion-Total-Y-Cancelacion-Parcial.pdf
He publicado nuevos apuntes de 1º Introducción a las Operaciones Financieras: tema-6--PRESTAMOS-.pdf
He publicado nuevos apuntes de 1º Introducción a las Operaciones Financieras: Formulas-Tema-6-IOF.pdf
He publicado nuevos apuntes de 1º Introducción a las Operaciones Financieras: CARACTERISTICAS.pdf
Temas 5 y 6 IOF, teoría y fórmulas. Apuntes cogidos de clase del profesor
apuntes
-
TEMA 4
He publicado nuevos apuntes de 1º Introducción a las Operaciones Financieras: TEMA 4
ejercicios
-
TEMA 3
He publicado nuevos ejercicios de 1º Introducción a las Operaciones Financieras: TEMA 3
apuntes
-
IOF
He publicado nuevos apuntes de 1º Introducción a las Operaciones Financieras: IOF
apuntes
-
TEMAS IOF (1-6)
Apuntes completos basados en el libro con ejercicios resueltos y fórmulas.
He publicado nuevos examenes de 1º Introducción a las Operaciones Financieras: Examen-IOF.pdf
He publicado nuevos apuntes de 1º Introducción a las Operaciones Financieras: TEMAS-1-Y-2-IOF.pdf
He publicado nuevos apuntes de 1º Introducción a las Operaciones Financieras: TEMA-6-IOF.pdf
He publicado nuevos apuntes de 1º Introducción a las Operaciones Financieras: TEMA-5-IOF.pdf
He publicado nuevos apuntes de 1º Introducción a las Operaciones Financieras: TEMA-4-IOF.pdf
He publicado nuevos apuntes de 1º Introducción a las Operaciones Financieras: Tema-3-IOF.pdf
He publicado nuevos apuntes de 1º Introducción a las Operaciones Financieras: Formulas-Completas-1-al-6.pdf
He publicado nuevos examenes de 1º Introducción a las Operaciones Financieras: tipo-test-examenes-anteriores.pdf
He publicado nuevos examenes de 1º Introducción a las Operaciones Financieras: test-sep23.pdf
He publicado nuevos apuntes de 1º Introducción a las Operaciones Financieras: EJERCICIOS-FINALES-LIBRO-TEMA-5.pdf
He publicado nuevos ejercicios de 1º Introducción a las Operaciones Financieras: CASOS-PRACTICOS-TEMA-5.pdf
He publicado nuevos ejercicios de 1º Introducción a las Operaciones Financieras: FORMULAS-TEMA-5.pdf
Para repasar los conceptos más importantes para el tipo test en solo unos minutos.
