Introducción a las Operaciones Financieras
🎓Clases Particulares de Introducción a las Operaciones Financieras
📚 En Conta Master Academy aprenderás con profesores expertos en docencia financiera, usando una pizarra realista que hace las clases claras y dinámicas. 🎥 Además, tendrás acceso a las grabaciones para repasar cuando quieras y un asistente virtual que te da ejercicios y soporte las 24 h del día. 💬 Escríbenos al WhatsApp 👉 639 879 228 y te contamos cómo unirte a tu grupo 🔥
He publicado nuevos apuntes de 2º Introducción a las Operaciones Financieras: Introduccion-a-las-Operaciones-Financieras.pdf
He publicado nuevos apuntes de 2º Introducción a las Operaciones Financieras: FORMULARIO-TEMA-4-IOF.pdf
ejercicios
-
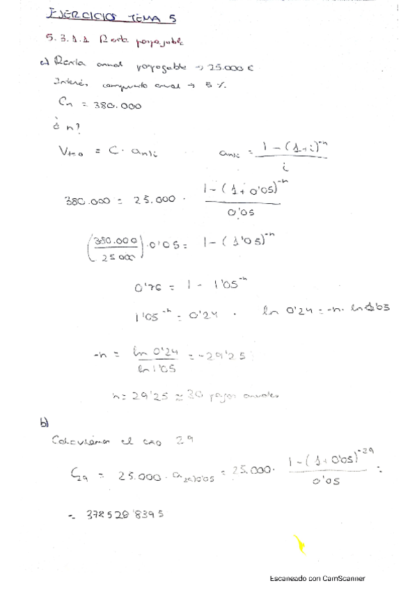
Ejercicios Resueltos Tema 5 y 6
He publicado nuevos ejercicios de 2º Introducción a las Operaciones Financieras: Ejercicios Resueltos Tema 5 y 6
apuntes
-
TEMAS 1-2-3_Teoria y test
He publicado nuevos apuntes de 2º Introducción a las Operaciones Financieras: TEMAS 1-2-3_Teoria y test
¡Estás al día!
Has visto todos los archivos
