Introducción a los sistemas gráficos interactivos

chevron_left
chevron_right
Todo
Apuntes
Ejercicios
Exámenes
chevron_left
chevron_right
Anónimo

@Anónimo

examenes

-

EXAMENES 2007 - 2023

He publicado nuevos examenes de 4º Introducción a los sistemas gráficos interactivos: EXAMENES 2007 - 2023

2012-Solucion.pdf
Examen-Oficial-Enero-2013-Enunciado.pdf
Examen-Oficial-Enero-2013-Solucion.pdf
2004-Enero.pdf
2004-Julio.pdf
2005-Enero.pdf

He publicado nuevos apuntes de 4º Introducción a los sistemas gráficos interactivos: SGI230213.pdf

31 páginas

Preguntas examen teoría 13/01/2023

3 páginas

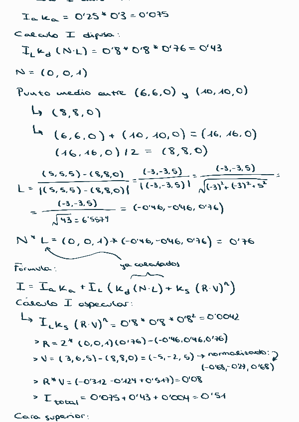
Ejercicios resueltos de toda la asignatura

29 páginas
¡Estás al día!

¡Estás al día!

Has visto todos los archivos