Todo
Apuntes
Ejercicios
Exámenes
Prácticas
chevron_left
chevron_right

RESUMEN MANUAL JOSÉ MARTÍN OSTOS

28 páginas

apuntes

-

Introducción Derecho Procesal

He publicado nuevos apuntes de 2º Introducción Al Derecho Procesal: Introducción Derecho Procesal

TEMA-1.pdf
TEMA-1.pdf
TEMA-2.pdf
TEMA-2.pdf
TEMA-3.pdf
TEMA-3.pdf
Anónimo

@Anónimo

He publicado nuevos examenes de 2º Introducción Al Derecho Procesal: posibles-preguntas-procesal.pdf

2 páginas
Anónimo

@Anónimo

He publicado nuevos examenes de 2º Introducción Al Derecho Procesal: preguntas-examen.pdf

1 página
Anónimo

@Anónimo

He publicado nuevos examenes de 2º Introducción Al Derecho Procesal: Preguntas-de-examen.pdf

1 página
Anónimo

@Anónimo

apuntes

-

TEST PROCESAL TEMAS

He publicado nuevos apuntes de 2º Introducción Al Derecho Procesal: TEST PROCESAL TEMAS

preguntas-procesal.pdf
preguntas-procesal.pdf
TESTS-PROCESAL-TEMAS.pdf
TESTS-PROCESAL-TEMAS.pdf
TESTS-PROCESAL-TEMAS-SOLUCIONES.pdf
TESTS-PROCESAL-TEMAS-SOLUCIONES.pdf

ejercicios

-

Prácticas de clase

He publicado nuevos ejercicios de 2º Introducción Al Derecho Procesal: Prácticas de clase

Actividad-4.pdf
Actividad-4.pdf
Actividad-1.pdf
Actividad-1.pdf
Actividad-2.pdf
Actividad-2.pdf

examenes

-

EXAMENES INTRO AL DCHO PROCESAL

He publicado nuevos examenes de 2º Introducción Al Derecho Procesal: EXAMENES INTRO AL DCHO PROCESAL

PREGUNTAS-Examen-procesal-POR-TEMAS.pdf
PREGUNTAS-Examen-procesal-POR-TEMAS.pdf
Examen-procesal-Enero-2016.pdf
Examen-procesal-Enero-2016.pdf
PREGUNTAS-Examen-procesal-POR-TEMAS.pdf
PREGUNTAS-Examen-procesal-POR-TEMAS.pdf

examenes

-

EXAMENES PROCESAL

Examen para todos los grados

Preguntas-Frecuentes-examenes.pdf
Preguntas-Frecuentes-examenes.pdf
PREGUNTAS-INTRO-PROCESAL.pdf
PREGUNTAS-INTRO-PROCESAL.pdf
PREGUN-FRECUENTES-INTRO-PROCESAL.pdf
PREGUN-FRECUENTES-INTRO-PROCESAL.pdf

He publicado nuevos apuntes de 2º Introducción Al Derecho Procesal: Epigrafe-4.pdf

8 páginas

He publicado nuevos apuntes de 2º Introducción Al Derecho Procesal: Anexo-1-al-Dossier-Tema-1-Ejemplos-de-letra-de-cambio.pdf

1 página
Anónimo

@Anónimo

He publicado nuevos examenes de 2º Introducción Al Derecho Procesal: PRUEBA-1-CORREGIDA.pdf

12 páginas

He publicado nuevos apuntes de 2º Introducción Al Derecho Procesal: PROYECTO-DOCENTE-2019-20-INTRODUCCION-AL-DERECHO-PROCESAL-GRUPO-T2-SEGUNDO-CUATRIMESTRE.pdf

7 páginas

He publicado nuevos apuntes de 2º Introducción Al Derecho Procesal: PRINCIPIOS-RECTORES-DEL-PROCESO-JUDICIAL-GRUPO-T2-TEMA-6.pdf

9 páginas

He publicado nuevos apuntes de 2º Introducción Al Derecho Procesal: LA-ASISTENCIA-JURIDICA-GRATUITA.pdf

15 páginas

He publicado nuevos apuntes de 2º Introducción Al Derecho Procesal: modelo-de-demanda.pdf

4 páginas

He publicado nuevos apuntes de 2º Introducción Al Derecho Procesal: LA-ACCION-POPULAR-CLASE-GRUPO-T2-MARZO-2020.pdf

6 páginas

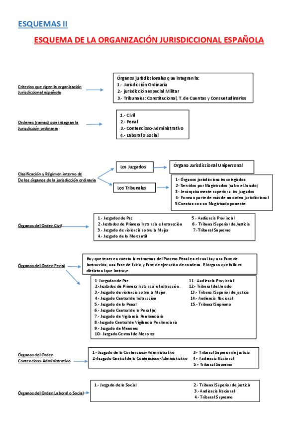
He publicado nuevos apuntes de 2º Introducción Al Derecho Procesal: ESQUEMAS-II.pdf

1 página

He publicado nuevos apuntes de 2º Introducción Al Derecho Procesal: ESQUEMAS-I.pdf

1 página

He publicado nuevos apuntes de 2º Introducción Al Derecho Procesal: ESQUEMA-TEMA-14-INCIDENTE-DE-NULIDAD.pdf

1 página

He publicado nuevos apuntes de 2º Introducción Al Derecho Procesal: ESQUEMA-TEMA-11-ORGANIZACION-DEL-MINISTERIO-FISCAL.pdf

1 página

He publicado nuevos apuntes de 2º Introducción Al Derecho Procesal: EL-PROCESO-GRUPO-T2-2020-TEMA-5.pdf

14 páginas

He publicado nuevos apuntes de 2º Introducción Al Derecho Procesal: ejemplo-de-querella-en-ejercicio-de-la-accion-popular.pdf

83 páginas

He publicado nuevos apuntes de 2º Introducción Al Derecho Procesal: ANEXO-TEMA-7-PARTE-PRIMERA.pdf

1 página

He publicado nuevos apuntes de 2º Introducción Al Derecho Procesal: ANEXO-MODELO-DE-SOLICITUD-DE-ASISTENCIA-JURIDICA-GRATUITA-PARA-LA-COMUNIDAD-DE-ANDALUCIA.pdf

7 páginas

He publicado nuevos apuntes de 2º Introducción Al Derecho Procesal: ANEXO-AL-TEMA-7-PARTE-III.pdf

1 página

He publicado nuevos apuntes de 2º Introducción Al Derecho Procesal: TEMA-16-LOS-ACTOS-DE-COMUNICACION-A-LAS-PARTES-Y-OTROS-INTERVINIENTES.pdf

16 páginas

He publicado nuevos apuntes de 2º Introducción Al Derecho Procesal: TEMA-15-RESOLUCIONES-PROCESALES-Y-RECURSOS.pdf

7 páginas

He publicado nuevos apuntes de 2º Introducción Al Derecho Procesal: TEMA-14-ACTOS-PROCESALES.pdf

14 páginas

He publicado nuevos apuntes de 2º Introducción Al Derecho Procesal: TEMA-13-LA-DEFENSA-DEL-ESTADO-GRUPO-T2.pdf

1 página

He publicado nuevos apuntes de 2º Introducción Al Derecho Procesal: TEMA-12-EL-ABOGADO-Y-EL-PROCURADOR-GRUPO-T2.pdf

7 páginas

He publicado nuevos apuntes de 2º Introducción Al Derecho Procesal: TEMA-11-MINISTERIO-FISCAL-GRUPO-T2.pdf

7 páginas

He publicado nuevos apuntes de 2º Introducción Al Derecho Procesal: TEMA-10-OFICINA-JUDICIAL-LETRADOS-DE-LA-AD.-JUS.-Y-FUNCIONARIOS-GRUPO-T2.pdf

7 páginas

He publicado nuevos apuntes de 2º Introducción Al Derecho Procesal: TEMA-9-PERSONAL-JUZGADOR-GRUPO-T2.pdf

9 páginas

He publicado nuevos apuntes de 2º Introducción Al Derecho Procesal: TEMA-8-EL-AUTOGOBIERNO-DEL-PODER-JUDICIAL-GRUPO-T2.pdf

5 páginas

He publicado nuevos apuntes de 2º Introducción Al Derecho Procesal: TEMA-7-PARTE-III-OTROS-TRIBUNALES.pdf

12 páginas

He publicado nuevos apuntes de 2º Introducción Al Derecho Procesal: TEMA-7-PARTE-II-ORGANIZACIN-DELPODER-JUDICIAL-EN-ESPANA.-ORGANOS-COLEGIADOS1.pdf

7 páginas

He publicado nuevos apuntes de 2º Introducción Al Derecho Procesal: TEMA-7-PARTE-I-ORGANIZACION-DEL-PODER-JUDICIAL-EN-ESPANA-ORGANOS-UNIPERSONALES.pdf

13 páginas

He publicado nuevos practicas de 2º Introducción Al Derecho Procesal: CUESTIONARIO-I-GRUPO-T2.pdf

3 páginas

He publicado nuevos practicas de 2º Introducción Al Derecho Procesal: CUESTIONARIO-TRIBUNALES-II.pdf

3 páginas

He publicado nuevos practicas de 2º Introducción Al Derecho Procesal: CUESTIONARIO-III-Temas-8-a-16.pdf

2 páginas

He publicado nuevos apuntes de 2º Introducción Al Derecho Procesal: Temario-procesal.pdf

73 páginas

apuntes

-

Apuntes Introducción al Derecho Procesal

Apuntes de clase de Ana María Chocrón completados con el manual.

TEMA-1.pdf
TEMA-1.pdf
TEMAS-4-y-5.pdf
TEMAS-4-y-5.pdf
TEMAS-2-Y-3.pdf
TEMAS-2-Y-3.pdf

He publicado nuevos apuntes de 2º Introducción Al Derecho Procesal: Preguntas-importantes-por-tema.pdf

4 páginas

He publicado nuevos apuntes de 2º Introducción Al Derecho Procesal: Preguntas-Introduccion-al-Derecho-Procesal.pdf

13 páginas

He publicado nuevos apuntes de 2º Introducción Al Derecho Procesal: Preguntas-importantes-por-tema.pdf

4 páginas

He publicado nuevos apuntes de 2º Introducción Al Derecho Procesal: Preguntas-Introduccion-al-Derecho-Procesal.pdf

13 páginas

apuntes

-

Todos los temas para sacar nota

He publicado nuevos apuntes de 2º Introducción Al Derecho Procesal: Todos los temas para sacar nota

LECCION-1o.pdf
LECCION-1o.pdf
LECCION-2o.pdf
LECCION-2o.pdf
LECCION-3o.pdf
LECCION-3o.pdf

apuntes

-

Temario actualizado para sacar nota

He publicado nuevos apuntes de 2º Introducción Al Derecho Procesal: Temario actualizado para sacar nota

LECCION-1o.pdf
LECCION-1o.pdf
LECCION-2o.pdf
LECCION-2o.pdf
LECCION-3o.pdf
LECCION-3o.pdf

apuntes

-

TEMARIO COMPLETO

Nota: 9

TEMA-5.pdf
TEMA-5.pdf
TEMA-1.pdf
TEMA-1.pdf
TEMA-10.pdf
TEMA-10.pdf

He publicado nuevos apuntes de 2º Introducción Al Derecho Procesal: Apuntes-Introduccion-al-Derecho-Procesal.pdf

61 páginas

He publicado nuevos apuntes de 2º Introducción Al Derecho Procesal: Apuntes-Introduccion-al-Derecho-Procesal.pdf

61 páginas

He publicado nuevos apuntes de 2º Introducción Al Derecho Procesal: cuestionarios-temario-procesal.pdf

4 páginas

apuntes

-

Resúmenes Derecho Procesal

He publicado nuevos apuntes de 2º Introducción Al Derecho Procesal: Resúmenes Derecho Procesal

PR-Tema-5.pdf
PR-Tema-5.pdf
PR-Tema-4.pdf
PR-Tema-4.pdf
PR-Tema-8.pdf
PR-Tema-8.pdf

apuntes

-

Resúmenes Derecho Procesal

He publicado nuevos apuntes de 2º Introducción Al Derecho Procesal: Resúmenes Derecho Procesal

PR-Tema-4.pdf
PR-Tema-4.pdf
PR-Tema-2.pdf
PR-Tema-2.pdf
PR-Tema-5.pdf
PR-Tema-5.pdf

apuntes

-

Temas Derecho Procesal

He publicado nuevos apuntes de 2º Introducción Al Derecho Procesal: Temas Derecho Procesal

Leccion-1.docx
Leccion-1.docx
Leccion-5.docx
Leccion-5.docx
Leccion-4.docx
Leccion-4.docx

apuntes

-

Temario Introducción al Dcho Procesal

He publicado nuevos apuntes de 2º Introducción Al Derecho Procesal: Temario Introducción al Dcho Procesal

Tema-4.pdf
Tema-4.pdf
Tema-2.pdf
Tema-2.pdf
Tema-3.pdf
Tema-3.pdf

He publicado nuevos apuntes de 2º Introducción Al Derecho Procesal: Resumen-Completo-de-Introduccio-al-Derecho-Procesal.pdf

55 páginas

apuntes

-

Introducción al Derecho Procesal

He publicado nuevos apuntes de 2º Introducción Al Derecho Procesal: Introducción al Derecho Procesal

Lección Tercera.pdf
Lección Tercera.pdf
Lección Duodécima.pdf
Lección Duodécima.pdf
Lección Sexta.pdf
Lección Sexta.pdf

apuntes

-

Resúmenes de la Asignatura

He publicado nuevos apuntes de 2º Introducción Al Derecho Procesal: Resúmenes de la Asignatura

Tema 4 - Gobierno autónomo del Poder Judicial.pdf
Tema 4 - Gobierno autónomo del Poder Judicial.pdf
Tema 8 - Derecho de acción.pdf
Tema 8 - Derecho de acción.pdf
Tema 7 - El principio de exclusividad.pdf
Tema 7 - El principio de exclusividad.pdf