Investigación Comercial

chevron_left
chevron_right
Todo
Apuntes
Preguntas
Ejercicios
Exámenes
Otros
Prácticas
publication
Test
Trabajos
chevron_left
chevron_right
Anónimo

@Anónimo

He publicado nuevos examenes de 3º Investigación Comercial: Final-2026-Investigacion-Comercial.pdf

6 páginas

apuntes

-

Investigación comercial

He publicado nuevos apuntes de 2º Investigación Comercial: Investigación comercial

Apuntes-T1-Investigacion-comercial.pdf
Apuntes-T2-Investigacion-comercial.pdf
Apuntes-T3-Investigacion-comercial.pdf
Apuntes-T4-Investigacion-comercial.pdf
Apuntes-T5-Investigacion-comercial.pdf
Apuntes-T6-Investigacion-Comercial.pdf

apuntes

-

Segundo parcial

Apuntes de los temas del segundo parcial. Son básicamente las diapositivas de clase y alguna cosa añadida por mi

Tema-6.pdf
Tema-7.pdf
Tema-8.pdf
Tema-9.pdf

He publicado nuevos apuntes de 2º Investigación Comercial: RESUMEN-TEMA-6.pdf

7 páginas

alguien tiene algún examen de años anteriores de Natividad? Suele meter muchas preguntas de la parte estadística?

He publicado nuevos examenes de 3º Investigación Comercial: TEST-TODOS-LOS-TEMAS-40-PREGUNTAS.pdf

8 páginas

He publicado nuevos apuntes de 3º Investigación Comercial: Resumen-todos-los-temas-definitivo.pdf

48 páginas

He publicado nuevos apuntes de 2º Investigación Comercial: RESUMEN-INVESTIGACION-6-10.pdf

32 páginas

apuntes

-

MARKET RESEARCH Midterm 2

He publicado nuevos apuntes de 3º Investigación Comercial: MARKET RESEARCH Midterm 2

MARKET-RESEARCH-T5.pdf
MARKET-RESEARCH-T10.pdf
MARKET-RESEARCH-T11.pdf
MARKET-RESEARCH-T12.pdf

examenes

-

Past midterm exams

He publicado nuevos examenes de 3º Investigación Comercial: Past midterm exams

MIDTERM-1.pdf
MIDTERM-2-MR.pdf
MIDTERM-2.pdf
MIDTERM-MR.pdf
MIDTERM-2-2026-MR.pdf

apuntes

-

Apuntes Investigación comercial

Iré subiendo el resto de los temas con el paso de los días.

Tema-1.pdf
Tema-2.pdf
Tema-3.pdf
Tema-4.pdf
Tema-5.pdf
Tema-6.pdf

He publicado nuevos apuntes de 3º Investigación Comercial: ICO-TEMA-2.pdf

4 páginas

apuntes

-

Apuntes Investigación Comercial

He publicado nuevos apuntes de 3º Investigación Comercial: Apuntes Investigación Comercial

Tema-1-ICO.pdf
Tema-6-ICO.pdf
Tema-5-ICO.pdf
Tema-4-ICO.pdf
Tema-3-ICO.pdf
Tema-2-ICO.pdf

apuntes

-

RESÚMENES T1-10

He publicado nuevos apuntes de 2º Investigación Comercial: RESÚMENES T1-10

Resumen-T1.pdf
Resumen-T2.pdf
Resumen-T3.pdf
Resumen-T4.pdf
Resumen-T5.pdf
Resumen-T6.pdf

apuntes

-

EXÁMENES FINALES

He publicado nuevos apuntes de 2º Investigación Comercial: EXÁMENES FINALES

Final-julio-2020-opcion-A.pdf
Final-julio-2020-opcion-B.pdf
Final-junio-2019.pdf
Final-junio-2020.pdf
Final-junio-2023.pdf
Final-junio-2024.pdf

examenes

-

EXÁMENES 2o Parcial

He publicado nuevos examenes de 2º Investigación Comercial: EXÁMENES 2o Parcial

2o-parcial-2020.pdf
2o-parcial-2021.pdf

examenes

-

EXÁMENES 1er Parcial

He publicado nuevos examenes de 2º Investigación Comercial: EXÁMENES 1er Parcial

1er-parcial-2017.pdf
1er-parcial-2018.pdf
1er-parcial-2020.pdf
1er-parcial-2021.pdf
1er-parcial-2023.pdf

apuntes

-

ESQUEMAS T1-10

He publicado nuevos apuntes de 2º Investigación Comercial: ESQUEMAS T1-10

Esquema-T1.pdf
Esquema-T2.pdf
Esquema-T3.pdf
Esquema-T4.pdf
Esquema-T5.pdf
Esquema-T6.pdf

apuntes

-

INVESTIGACIÓN COMERCIAL

unidades 7, 8, 9, 10, 11, 12 y 13

UNIDAD-7-INVESTIGACION-COMERCIAL.pdf
UNIDAD-8-INVESTIGACION-COMERCIAL.pdf
UNIDAD-9-INVESTIGACION-COMERCIAL.pdf
UNIDAD-10-INVESTIGACION-COMERCIAL.pdf
UNIDAD-11-INVESTIGACION-COMERCIAL.pdf
UNIDAD-12-INVESTIGACION-COMERCIAL.pdf

Resumen del libro de Ilerna FP, Grado Superior de Marketing y Publicidad. Asignatura Investigación Comercial.

4 páginas

Resumen hecho del libro de ILERNA FP. Marketing y Publicidad.

6 páginas

Resumen Unidad 4 del Libro Inv. Comercial de Ilerna, contenido del grado superior de Marketing y publicidad.

4 páginas
Anónimo

@Anónimo

He publicado nuevos examenes de 4º Investigación Comercial: SOLUCION-EX-SIN-CONOCER-ANO.pdf

4 páginas
Anónimo

@Anónimo

He publicado nuevos examenes de 4º Investigación Comercial: SOLUCION-EXAMEN-2014.pdf

2 páginas
Anónimo

@Anónimo

He publicado nuevos examenes de 4º Investigación Comercial: Junio-2021-pactica-ROTOUR.pdf

4 páginas
Anónimo

@Anónimo

He publicado nuevos examenes de 4º Investigación Comercial: EXAMENES-VERDADERO-Y-FALSO.pdf

9 páginas
Anónimo

@Anónimo

He publicado nuevos examenes de 4º Investigación Comercial: Examen-enero-2023.pdf

4 páginas
Anónimo

@Anónimo

He publicado nuevos examenes de 4º Investigación Comercial: EXAMEN-SIN-CONOCER-ANO.pdf

4 páginas
Anónimo

@Anónimo

He publicado nuevos examenes de 4º Investigación Comercial: Examen-Enero-2021.pdf

9 páginas
Anónimo

@Anónimo

He publicado nuevos examenes de 4º Investigación Comercial: EXAMEN-2014.pdf

2 páginas
Anónimo

@Anónimo

He publicado nuevos examenes de 4º Investigación Comercial: ENERO-2022-y-algo-de-Julio.pdf

3 páginas

Análisis de datos y presentación del informe

5 páginas

He publicado nuevos trabajos de Investigación Comercial: solucion-tarea-IC6.pdf

6 páginas

He publicado nuevos trabajos de Investigación Comercial: VigueraLopezRaquelIC05Tarea.pdf

12 páginas

Obtención de información primaria: técnicas de investigación cuantitativa

7 páginas

Proceso de IC, obtención de información secundaria

8 páginas

Sistema de información de marketing

word

Análisis de mercado y del entorno

7 páginas

apuntes

-

MARKET RESEARCH Midterm 1

He publicado nuevos apuntes de 3º Investigación Comercial: MARKET RESEARCH Midterm 1

MARKET-RESEARCH-T1.pdf
MARKET-RESEARCH-T2.pdf
MARKET-RESEARCH-T3.pdf
MARKET-RESEARCH-T4.pdf
MARKET-RESEARCH-T6.pdf
MARKET-RESEARCH-T7.pdf

He publicado nuevos apuntes de 2º Investigación Comercial: Metodos-de-observacion-Resumen-a-gusto-del-coordinador.pdf

5 páginas

He publicado nuevos apuntes de 2º Investigación Comercial: Guia-Case-study-2.pdf

5 páginas

He publicado nuevos apuntes de 2º Investigación Comercial: Ventajas-y-Desventajas-T4-y-T5.pdf

12 páginas

He publicado nuevos apuntes de 2º Investigación Comercial: Codigo-ICC-ESOMAR-para-tontos.pdf

5 páginas

He publicado nuevos apuntes de 3º Investigación Comercial: ICO-UNIT-5.pdf

7 páginas

He publicado nuevos apuntes de 3º Investigación Comercial: ICO-UNIT-4.pdf

9 páginas

He publicado nuevos apuntes de 3º Investigación Comercial: ICO-UNIT-3.pdf

12 páginas

He publicado nuevos apuntes de 3º Investigación Comercial: ICO-UNIT-2.pdf

4 páginas

He publicado nuevos apuntes de 3º Investigación Comercial: ICO-UNIT-1.pdf

8 páginas

He publicado nuevos apuntes de 2º Investigación Comercial: RESUMEN-TEMA-5.pdf

7 páginas

He publicado nuevos apuntes de 2º Investigación Comercial: RESUMEN-TEMA-4.pdf

14 páginas

Resumen completo para aprobar la 2a parte del 1er parcial

7 páginas

He publicado nuevos apuntes de 3º Investigación Comercial: T5-METODOS-ENCUESTA-VENTAJAS--INCONVENIENTES.pdf

2 páginas

He publicado nuevos apuntes de 2º Investigación Comercial: Tema-5.pdf

9 páginas

apuntes del libro y diapositivas de clase

14 páginas

He publicado nuevos apuntes de 2º Investigación Comercial: TEMA-9.pdf

3 páginas

He publicado nuevos apuntes de 2º Investigación Comercial: TEMA-8.pdf

4 páginas

He publicado nuevos apuntes de 2º Investigación Comercial: TEMA-7.pdf

4 páginas

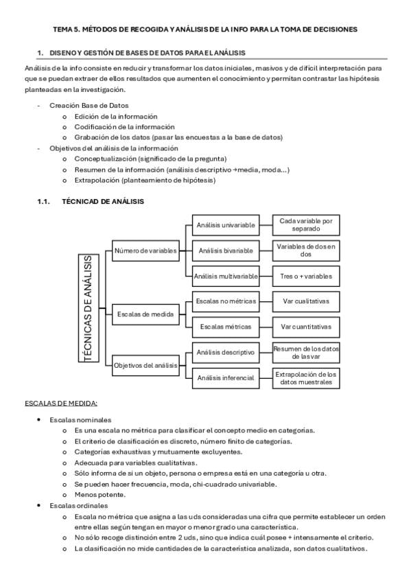
He publicado nuevos apuntes de 2º Investigación Comercial: TEMA-5.pdf

6 páginas

He publicado nuevos apuntes de 2º Investigación Comercial: TEMA-6.pdf

7 páginas

He publicado nuevos apuntes de 2º Investigación Comercial: TEMA-4.pdf

8 páginas