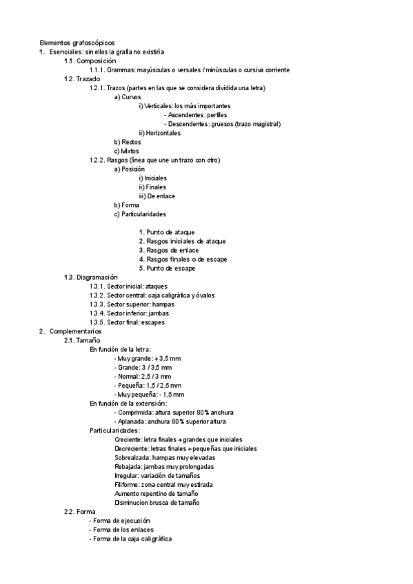
Investigación Criminalística III

chevron_left
chevron_right
Todo
Apuntes
Exámenes
chevron_left
chevron_right

He publicado nuevos apuntes de 4º Investigación Criminalística III: INFORME-FALSEDAD-BILLETE-50.pdf

9 páginas

He publicado nuevos apuntes de 4º Investigación Criminalística III: INFORME-GRAFOSCOPIA-MODELO-HECHO.pdf

8 páginas

Último tema que entra para examen, sacado del manual. Incluye la firma y otras materia adicional que puede ser objeto de preguntas de examen.

10 páginas

apuntes

-

apuntes y resúmenes Criminalística III

He publicado nuevos apuntes de 4º Investigación Criminalística III: apuntes y resúmenes Criminalística III

PRINCIPALES-SIMILITUDES-Y-DIFERENCIAS-BILLETES-EURO.pdf

apuntes

-

TEMARIO 23-24

He publicado nuevos apuntes de 4º Investigación Criminalística III: TEMARIO 23-24

TEMA-1.pdf
TEMA-2.pdf
TEMA-3.pdf
TEMA-4.pdf
TEMA-5.pdf

apuntes

-

PRÁCTICAS 2023/2024

He publicado nuevos apuntes de 4º Investigación Criminalística III: PRÁCTICAS 2023/2024

Infome-Grafoscopia.pdf
Informe-falsedad-documental.pdf

apuntes

-

Temario 2023/2024

He publicado nuevos apuntes de 4º Investigación Criminalística III: Temario 2023/2024

Examen-de-un-documento.pdf
Glosario-de-medidas-de-seguridad-del-euro.pdf
Introduccion.pdf
La-Firma.pdf
Partes-del-DNI.pdf
Super-resumen-Grafoscopia.pdf

He publicado nuevos apuntes de 4º Investigación Criminalística III: Resumencillo-de-grafoscopia.pdf

17 páginas

He publicado nuevos apuntes de 4º Investigación Criminalística III: TEMARIO-2023-INVESTIGACION-CRIMINALISTICA-III.pdf

46 páginas

REVISAD SI HAY ERRATAS. LO HE HECHO MIRANDO TEMARIO Y APUNTES pero puede haber ERRORES. Espero que os sirva de orientación. Saluditos?

7 páginas

apuntes

-

Temario 2022-23

He publicado nuevos apuntes de 4º Investigación Criminalística III: Temario 2022-23

Tema-1.pdf
Glosario-de-medidas-de-seguridad-del-Euro.pdf
Billetes-de-la-serie-Europa.pdf
Billete-de-5-EUROS.pdf
Billete-de-10-EUROS.pdf
Billete-de-20-EUROS.pdf

apuntes

-

CRIMINALÍSTICA III - Temario (1/2)

He publicado nuevos apuntes de 4º Investigación Criminalística III: CRIMINALÍSTICA III - Temario (1/2)

TEMA-1.pdf
1-SERIE-EUROPA.pdf
TEORIA-BILLETES-SERIE-EUROPA.pdf

apuntes

-

GLOSARIOS Criminalística III

He publicado nuevos apuntes de 4º Investigación Criminalística III: GLOSARIOS Criminalística III

Glosario-de-medidas-de-seguridad-Euro.pdf
Anónimo

@Anónimo

He publicado nuevos examenes de 4º Investigación Criminalística III: Preguntas-examen.pdf

2 páginas
¡Estás al día!

¡Estás al día!

Has visto todos los archivos