chevron_left
chevron_right
Todo
Apuntes
Ejercicios
Exámenes
Prácticas
Trabajos
chevron_left
chevron_right

He publicado nuevos apuntes de 3º Investigación de Mercados Ii: TEORIA-IMPORTANTE-DE-IM-II.pdf

4 páginas

He publicado nuevos apuntes de 3º Investigación de Mercados Ii: Tema-1.pdf

4 páginas

He publicado nuevos apuntes de 3º Investigación de Mercados Ii: Multiple-aleatorizado-y-de-efectos-fijos.pdf

2 páginas

He publicado nuevos examenes de 3º Investigación de Mercados Ii: Respuestas-examen-teorico.pdf

2 páginas

He publicado nuevos ejercicios de 3º Investigación de Mercados Ii: Ejercicios-Inv-Mdos-II.pdf

16 páginas

He publicado nuevos apuntes de 3º Investigación de Mercados Ii: APUNTES INV MDOS II.pdf.pdf

18 páginas

He publicado nuevos apuntes de 3º Investigación de Mercados Ii: Temario-IDM-II.pdf

23 páginas

He publicado nuevos apuntes de 3º Investigación de Mercados Ii: MODELO-5-CLASIFICACION-multiple-COMPLETAMENTEB-ALEATORIZADO-EFECTOS-mixtos-..pdf

2 páginas

He publicado nuevos apuntes de 3º Investigación de Mercados Ii: Modelo-4--modelo-de-clasificacion-multiple-completamente-aleatoria-de-efectos-aleatorios-..pdf

1 página

He publicado nuevos apuntes de 3º Investigación de Mercados Ii: Test-post-hoc-.-TEORICO-PRACTICO.pdf

3 páginas

Es un resumen de la teoria de investigación .

3 páginas

He publicado nuevos apuntes de 3º Investigación de Mercados Ii: Apuntes-Clase-para-examen.pdf

14 páginas

He publicado nuevos apuntes de 3º Investigación de Mercados Ii: APUNTES-IMII--TODOS-LOS-MODELOS--E-I.C.pdf

8 páginas

He publicado nuevos examenes de 3º Investigación de Mercados Ii: Examenes-resueltos.pdf

4 páginas

He publicado nuevos apuntes de 3º Investigación de Mercados Ii: EJERCICIO-LIBRO.pdf

4 páginas

apuntes

-

Temas Investigación de Mercados II

He publicado nuevos apuntes de 3º Investigación de Mercados Ii: Temas Investigación de Mercados II

Comparacion-hipotesis-con-IC-M-Ejemplos-ejercicios.pdf
Tema-1.pdf
Modelo-multiple-efectos-aleatorios.pdf
Ejemplos-clase-ejercicios.pdf
Modelo-multiple-efectos-fijos.pdf
Modelo-multiple-efectos-mixtos.pdf
Anónimo

@Anónimo

He publicado nuevos examenes de 3º Investigación de Mercados Ii: Parcial-Resuelto-Tarde-2024-2025.pdf

4 páginas

He publicado nuevos apuntes de 3º Investigación de Mercados Ii: APUNTES TEMA 7 IDM2.pdf

9 páginas

He publicado nuevos apuntes de 3º Investigación de Mercados Ii: Libreta-Inv-De-Mercados.pdf

10 páginas

He publicado nuevos apuntes de 3º Investigación de Mercados Ii: Tema-1.pdf

15 páginas
Anónimo

@Anónimo

He publicado nuevos examenes de 3º Investigación de Mercados Ii: SOLUCION-DEL-EXAMEN-DE-WUOLAH.pdf

4 páginas

apuntes

-

Apuntes para aprobar

He publicado nuevos apuntes de 3º Investigación de Mercados Ii: Apuntes para aprobar

APUNTES-PARA-APROBAR-INVESTIGACION-DE-MERCADOS-II.pdf
TEST-DE-COMPARACION-MULTIPLE.pdf
AMPLIACION-BLOQUES.pdf
Anónimo

@Anónimo

apuntes

-

Examen teorico

He publicado nuevos apuntes de 3º Investigación de Mercados Ii: Examen teorico

PREGUNTAS-TEORICAS-EXAMEN-2023-2024.pdf

He publicado nuevos apuntes de 3º Investigación de Mercados Ii: Modelos-formulas.pdf

4 páginas

He publicado nuevos apuntes de 3º Investigación de Mercados Ii: TEMA-1-IDM-II.pdf

2 páginas

He publicado nuevos apuntes de 3º Investigación de Mercados Ii: TEMA-2-IDM-II.pdf

9 páginas

He publicado nuevos apuntes de 3º Investigación de Mercados Ii: Introduccion.pdf

3 páginas

He publicado nuevos apuntes de 3º Investigación de Mercados Ii: TEMA-1.-DISENOS-DE-EXPERIMETOS-EN-LA-INVESTIGACION.pdf

8 páginas

He publicado nuevos apuntes de 3º Investigación de Mercados Ii: TEMA-1-INVESTIGACION-DE-MERCADOS-II.pdf

3 páginas

practicas

-

Ejercicios de clase Excel

He publicado nuevos practicas de 3º Investigación de Mercados Ii: Ejercicios de clase Excel

Ejercicio-2-puntuacion-Excel.pdf
Ejercicio-1-empresas-Excel.pdf

He publicado nuevos apuntes de 3º Investigación de Mercados Ii: Todos-los-Modelos-y-Teoria.pdf

13 páginas

Tabla y esquema

2 páginas
Anónimo

@Anónimo

examenes

-

Exámenes parciales

He publicado nuevos examenes de 3º Investigación de Mercados Ii: Exámenes parciales

primer-parcial-pdf.pdf
segundo-parcial-pdf.pdf

He publicado nuevos apuntes de 3º Investigación de Mercados Ii: TEMARIO-IM2.pdf

23 páginas

apuntes

-

Modelos

He publicado nuevos apuntes de 3º Investigación de Mercados Ii: Modelos

Modelo-1.pdf
Modelo-2.pdf
Modelo-3.pdf
Modelo-4.pdf
Modelo-5.pdf

He publicado nuevos apuntes de 3º Investigación de Mercados Ii: Investigacion-de-mercados-II-Carmen-Garcia.pdf

50 páginas

He publicado nuevos apuntes de 3º Investigación de Mercados Ii: INVESTIGACION-DE-MERCADOS-II.pdf

6 páginas

He publicado nuevos apuntes de 3º Investigación de Mercados Ii: RESUMEN-MODELOS.pdf

5 páginas

He publicado nuevos apuntes de 3º Investigación de Mercados Ii: TABLA-DISTRIBUCION-F-DE-SNEDECOR.pdf

1 página

He publicado nuevos apuntes de 3º Investigación de Mercados Ii: Apuntes-iim21.pdf

22 páginas

He publicado nuevos apuntes de 3º Investigación de Mercados Ii: TEMA-1.pdf

19 páginas

He publicado nuevos apuntes de 3º Investigación de Mercados Ii: Sistema-de-Investigacion-de-Mercados-Analisis-de-los-datos-e-interpretacion-de-los-resultados-1.pdf

10 páginas

He publicado nuevos apuntes de 3º Investigación de Mercados Ii: SISTEMA-DE-INVESTIGACION-DE-MERCADOS-5.pdf

49 páginas

He publicado nuevos apuntes de 3º Investigación de Mercados Ii: Sistema-de-Investigacion-de-Mercados-El-muestreo-1.pdf

6 páginas

He publicado nuevos apuntes de 3º Investigación de Mercados Ii: SISTEMA-DE-INVESTIGACION-DE-MERCADOS-4.pdf

48 páginas

He publicado nuevos apuntes de 3º Investigación de Mercados Ii: Sistema-de-Investigacion-de-Mercados-Diseno-de-plan-de-investigacion-comercial-1.pdf

8 páginas

He publicado nuevos apuntes de 3º Investigación de Mercados Ii: SISTEMA-DE-INVESTIGACION-DE-MERCADOS-3.pdf

49 páginas

He publicado nuevos apuntes de 3º Investigación de Mercados Ii: Sistemas-de-Investigacion-de-Mercados-Configuracion-de-un-sistema-de-informacion-de-mercados-1.pdf

10 páginas

He publicado nuevos apuntes de 3º Investigación de Mercados Ii: SISTEMA-DE-INVESTIGACION-DE-MERCADOS-2.pdf

36 páginas

He publicado nuevos apuntes de 3º Investigación de Mercados Ii: Sistema-de-Investigacion-de-Mercados-El-mercado-1.pdf

11 páginas

He publicado nuevos apuntes de 3º Investigación de Mercados Ii: SISTEMA-DE-INVESTIGACION-DE-MERCADOS-1.pdf

52 páginas

He publicado nuevos apuntes de 3º Investigación de Mercados Ii: Resumen-modelos.pdf

4 páginas

He publicado nuevos apuntes de 3º Investigación de Mercados Ii: inv2-formulario-completo.pdf

10 páginas

He publicado nuevos apuntes de 3º Investigación de Mercados Ii: Apuntes.pdf

31 páginas
Anónimo

@Anónimo

He publicado nuevos ejercicios de 3º Investigación de Mercados Ii: Ejercicio resuelto libro 1.pdf

2 páginas
Anónimo

@Anónimo

apuntes

-

Temas 1 al 5

He publicado nuevos apuntes de 3º Investigación de Mercados Ii: Temas 1 al 5

TEMA 5.pdf
TEMA 2.pdf
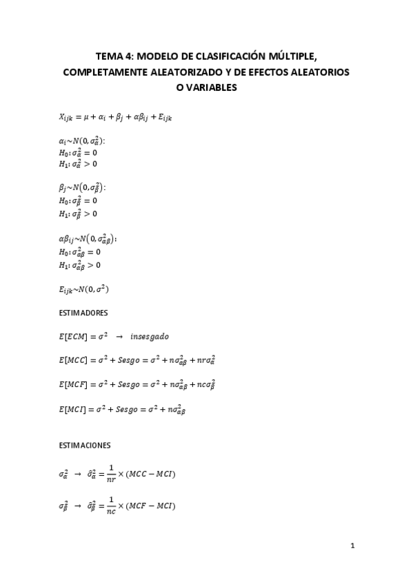
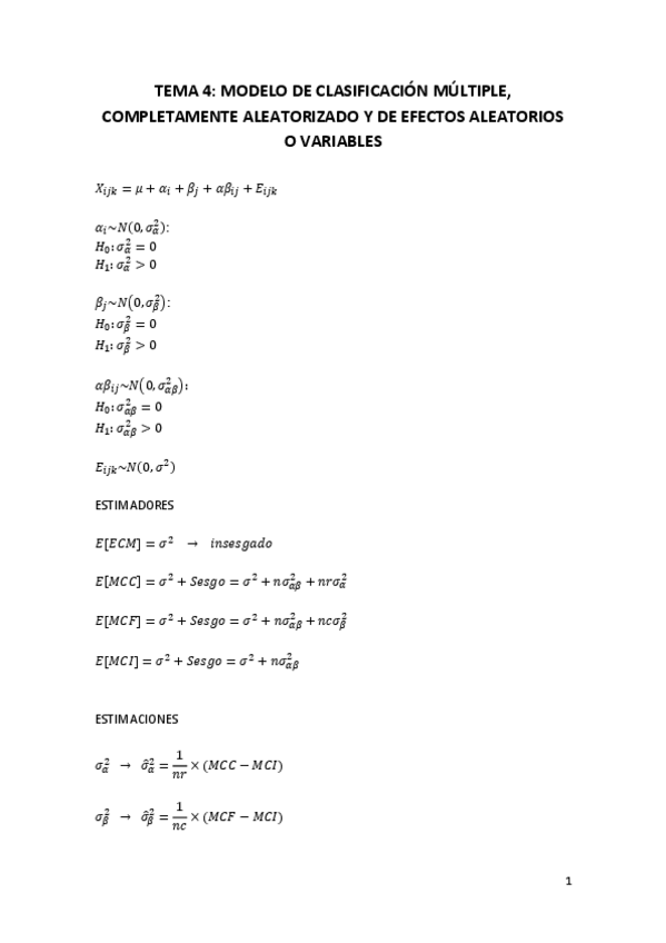
TEMA 4.pdf
TEMA 3.pdf
TEMA 1.pdf

Posibles preguntas de examen y resumen de los modelos esquematizado

4 páginas

Apuntes de clase + ejemplos

23 páginas
Anónimo

@Anónimo

He publicado nuevos apuntes de 3º Investigación de Mercados Ii: DesigualdadyEndeudamiento_corregido.xlsx

excel

Están todas las formulas, modelos y ejemplos.

23 páginas