chevron_left
chevron_right
Todo
Apuntes
Exámenes
chevron_left
chevron_right

He publicado nuevos apuntes de 1º Investigación, Innovación y Mejora Educativa: INVESTIGACION.pdf

16 páginas

He publicado nuevos examenes de 1º Investigación, Innovación y Mejora Educativa: Proyecto1Investigacion.pdf

16 páginas

He publicado nuevos apuntes de 1º Investigación, Innovación y Mejora Educativa: T1-Innova.pdf

6 páginas

He publicado nuevos apuntes de 1º Investigación, Innovación y Mejora Educativa: TEMA-2-WUOLAH.odt

word

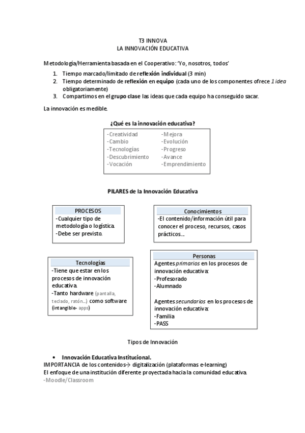
He publicado nuevos apuntes de 1º Investigación, Innovación y Mejora Educativa: T3-INNOVA.pdf

2 páginas

apuntes

-

Investigación, innovación y mejora

He publicado nuevos apuntes de 1º Investigación, Innovación y Mejora Educativa: Investigación, innovación y mejora

Tema-1.pdf
Tema-2.pdf
¡Estás al día!

¡Estás al día!

Has visto todos los archivos