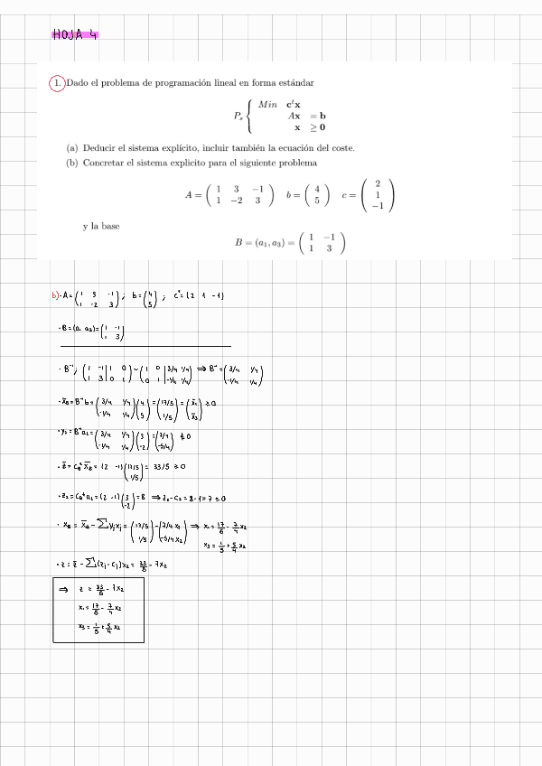
Anónimo

Ejercicios-4-Inicializacion-Simplex.pdf

Anónimo

Miniatura del documento Ejercicios-4-Inicializacion-Simplex.pdf

Portada

Miniatura del documento Ejercicios-4-Inicializacion-Simplex.pdf

Fecha de subida

13 abr 2024

Categoría

ejercicios

Etiquetas

category

ejercicios

content_copy

Archivos recomendados