Italiano

chevron_left
chevron_right
Todo
Apuntes
Preguntas
Ejercicios
Exámenes
Otros
Prácticas
Test
Trabajos
chevron_left
chevron_right

PRUEBA DE ACCESO A LA UNIVERSIDAD - COMUNIDAD DE ANDALUCÍA - 25 Y 45 AÑOS

1 página

PRUEBA DE ACCESO A LA UNIVERSIDAD - COMUNIDAD DE ANDALUCÍA - 25 Y 45 AÑOS

1 página

He publicado nuevos examenes de 4º Italiano: GRADUDADO-ESO.-OCTUBRE-2002-COMUNICACION.ITALIANO.PDF

2 páginas

Mucho vocabulario y palabras para level A1.

Miniatura no disponible

He publicado nuevos examenes de Italiano: 23-24-2.pdf

4 páginas

He publicado nuevos examenes de Italiano: 23-24.pdf

4 páginas

He publicado nuevos examenes de Italiano: 22-23.pdf

4 páginas

He publicado nuevos examenes de Italiano: 22-23-2.pdf

4 páginas

He publicado nuevos examenes de Italiano: 21-22.pdf

4 páginas
Anónimo

@Anónimo

He publicado nuevos apuntes de 1º Italiano: OPTATIVAITALIANO.pdf

3 páginas
Anónimo

@Anónimo

He publicado nuevos apuntes de 1º Italiano: italianoelementala1online2019.pdf

10 páginas
Anónimo

@Anónimo

He publicado nuevos apuntes de 1º Italiano: italiano11eso-1.pdf

20 páginas
Anónimo

@Anónimo

He publicado nuevos apuntes de 1º Italiano: italianoelementala1online2018.pdf

10 páginas
Anónimo

@Anónimo

He publicado nuevos apuntes de 1º Italiano: ItalianoA1cast.pdf

18 páginas

He publicado nuevos apuntes de 1º Italiano: Gramaticaitalianadeunvistazo.pdf

51 páginas

He publicado nuevos apuntes de 1º Italiano: italiano.pdf

73 páginas

He publicado nuevos apuntes de 1º Italiano: 48102534.pdf

227 páginas

He publicado nuevos apuntes de 1º Italiano: Assimil-9782700506969estratto.pdf

8 páginas

He publicado nuevos apuntes de 1º Italiano: 04900009mDwGtUk.pdf

8 páginas

He publicado nuevos apuntes de 1º Italiano: 40478GramaticaItaliana.pdf

21 páginas

He publicado nuevos apuntes de 1º Italiano: 51069.pdf

26 páginas

He publicado nuevos apuntes de 1º Italiano: 33622ITALIANOparadummies.pdf

24 páginas
Anónimo

@Anónimo

examenes

-

Compendio de exámenes

He publicado nuevos examenes de Italiano: Compendio de exámenes

Examen-Italiano-de-la-Comunidad-de-Madrid-Extraordinaria-de-2021-www.examenesdepau.com4.pdf
Examen-Italiano-de-la-Comunidad-de-Madrid-Extraordinaria-de-2022.pdf
Examen-Italiano-de-la-Comunidad-de-Madrid-Ordinaria-de-2020-www.examenesdepau.com14.pdf
Examen-Italiano-de-la-Comunidad-de-Madrid-Ordinaria-de-2020.pdf
Examen-Italiano-de-la-Comunidad-de-Madrid-Ordinaria-de-2021.pdf
Examen-Italiano-de-la-Comunidad-de-Madrid-Ordinaria-de-2022.pdf
Anónimo

@Anónimo

apuntes

-

Teoría NOTA 10

He publicado nuevos apuntes de Italiano: Teoría NOTA 10

Actividades-cotidianas--Mis-apuntes.pdf
Adjetivos--Mis-apuntes.pdf
Adjetivos-y-pronombres-indefinidos--Mis-apuntes.pdf
Adverbios-y-conectores--Mis-apuntes.pdf
Articulos-determinativos--Mis-apuntes.pdf
Articulos-indeterminativos-singular--Mis-apuntes.pdf

examenes

-

Examen EBAU Italiano

He publicado nuevos examenes de Italiano: Examen EBAU Italiano

Examen-EBAU-Asturias-1a-Lengua-Extranjera-Italiano-Resuelto-Junio-2023-24.pdf
Examen-EBAU-Asturias-1a-Lengua-Extranjera-Italiano-Enunciado-Junio-2023-24.pdf
Examen-EBAU-Asturias-2a-Lengua-Extranjera-Italiano-Resuelto-Junio-2023-24.pdf
Examen-EBAU-Asturias-2a-Lengua-Extranjera-Italiano-Enunciado-Junio-2023-24.pdf
Examen-EBAU-Astuias-1a-Lengua-Extranjera-Italiano-II-resuelto-Junio-2017-18.pdf
Examen-EBAU-Astuias-2a-Lengua-Extranjera-Italiano-II-enunciado-Julio-2017-18.pdf

examenes

-

Examen EBAU Italiano

He publicado nuevos examenes de Italiano: Examen EBAU Italiano

Examen-EBAU-La-Rioja-Italiano-Julio-2019-20.pdf
Examen-EBAU-La-Rioja-Italiano-Junio-2016-17.pdf
Examen-EBAU-La-Rioja-Italiano-Junio-2018-19.pdf
Examen-EBAU-La-Rioja-Italiano-Junio-2020-21.pdf
Examen-EBAU-La-Rioja-Italiano-Junio-2021-22.pdf
Examen-EBAU-La-Rioja-Italiano-Septiembre-2019-20.pdf
Anónimo

@Anónimo

Vocabulario.

Imagen
Anónimo

@Anónimo

Vocabulario.

Imagen

He publicado nuevos apuntes de 1º Italiano: Tema-5-Estructura-de-la-materia-3oESO.pdf

9 páginas

He publicado nuevos apuntes de 5º Italiano: resumen-TODO-2do-ano-de-Italiano.pdf

8 páginas

como pronunciar en italiano

3 páginas

He publicado nuevos apuntes de 6º Italiano: gli-aggetivi.pdf

1 página

He publicado nuevos apuntes de 6º Italiano: passato-prossimo-di-essere-ed-avere.pdf

1 página

He publicado nuevos apuntes de 6º Italiano: Presente-continuo.pdf

1 página

He publicado nuevos apuntes de 6º Italiano: I-verbi-allindicativo-presente.pdf

3 páginas

He publicado nuevos apuntes de 6º Italiano: I-dimostrativi.pdf

1 página

He publicado nuevos apuntes de 6º Italiano: I-mesi-dellanno.pdf

1 página

He publicado nuevos apuntes de 6º Italiano: passato-prossimo.pdf

1 página

apuntes

-

IDIOMA MODERNO (ITALIANO I)

He publicado nuevos apuntes de Italiano: IDIOMA MODERNO (ITALIANO I)

GRAMATICA-1.pdf

Apuntes para primero ESO

2 páginas

examenes

-

MODELS 2012

He publicado nuevos examenes de Italiano: MODELS 2012

pauital12jp.pdf
pauital12sl.pdf
pauital12sp.pdf
pauital12jl.pdf

examenes

-

MODELS 2011

He publicado nuevos examenes de Italiano: MODELS 2011

pauital11sl.pdf
pauital11sp.pdf
pauital11jl.pdf
pauital11jp.pdf

examenes

-

MODELS 2010

He publicado nuevos examenes de Italiano: MODELS 2010

pauital10jl.pdf
pauital10jp.pdf

examenes

-

MODELS 2009

He publicado nuevos examenes de Italiano: MODELS 2009

pauital09sl.pdf
pauital09sp.pdf
pauital09jl-1.pdf
pauital09jp.pdf

He publicado nuevos examenes de 1º Italiano: EXAMEN-DE-VOCABULARIO-2-DE-ITALIANO.pdf

3 páginas

He publicado nuevos examenes de Italiano: EXAMEN-DE-VOCABULARIO-DE-ITALIANO.pdf

4 páginas

He publicado nuevos examenes de Italiano: italiano-lea-4.pdf

3 páginas

He publicado nuevos examenes de Italiano: italiano-lea-3.pdf

3 páginas

He publicado nuevos examenes de Italiano: Italiano-Extra.pdf

4 páginas

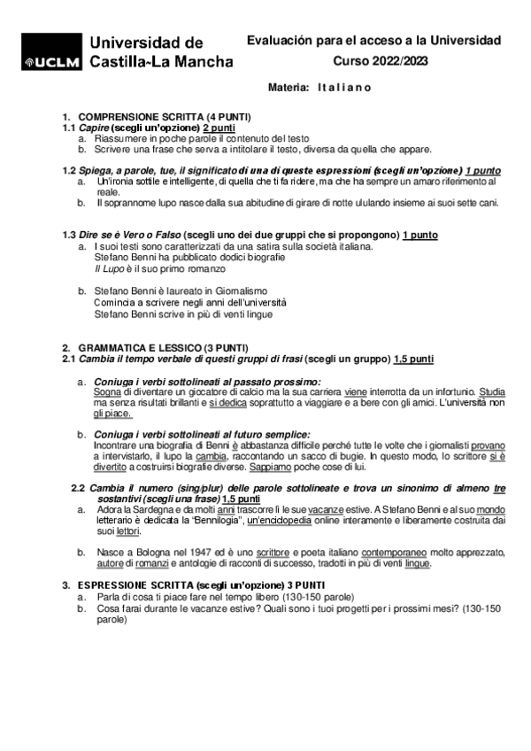
He publicado nuevos examenes de Italiano: Italiano-Ordinaria-2023.pdf

4 páginas

He publicado nuevos apuntes de Italiano: APUNTES-DE-ITALIANO-1.1.2.pdf

3 páginas

He publicado nuevos apuntes de Italiano: EJERCICIOS-DE-ITALIANO-1.4.pdf

2 páginas

He publicado nuevos apuntes de Italiano: EJERCICIOS-DE-ITALIANO-1.3.pdf

2 páginas

He publicado nuevos apuntes de 1º Italiano: EJERCICIOS-DE-ITALIANO-1.2.pdf

2 páginas

He publicado nuevos apuntes de 1º Italiano: vocabulario-basico-en-italiano-1.1.pdf

2 páginas

He publicado nuevos examenes de Italiano: examen-italiano-ciencias-ebau-junio-2023.pdf

4 páginas

He publicado nuevos apuntes de Italiano: Passato-prossimo-indicativo.pdf

1 página

He publicado nuevos ejercicios de 4º Italiano: Screenshot20230509-120149Drive.jpg

Imagen

He publicado nuevos ejercicios de 6º Italiano: Screenshot20230518-114746Drive.jpg

Imagen

He publicado nuevos examenes de Italiano: EXA-PVAU-RESERVA-EXTRA-ITALIANO-2022.pdf

5 páginas