Todo
Apuntes
chevron_left
chevron_right

He publicado nuevos apuntes de La Constitución Española Ii: de la Corona: PREGUNTAS-CLAVES-CE.pdf

4 páginas

Resumida y esquematizada la CE (faltan algunos artículos NO importantes)

19 páginas

RESUMEN TEMA 3. LA CONSTITUCIÓN (II). POLICIA NACIONAL ESCALA BASICA

24 páginas
Anónimo

@Anónimo

Artículos mas relevantes sobre el tema.

word

He publicado nuevos apuntes de La Constitución Española Ii: de la Corona: 03-LA-CONSTITUCION-ESPANOLA-II.pdf

10 páginas

He publicado nuevos apuntes de La Constitución Española Ii: de la Corona: Constitucion-Espanola-II-2a-parte.pdf

5 páginas

He publicado nuevos apuntes de La Constitución Española Ii: de la Corona: Constitucion-Espanola-II-1a-parte.pdf

6 páginas

Glosario donde hay algunas definiciones importantes del Tema 3: La Constitución Española II

1 página

Apuntes sobre el Título IX y X de la CE: El Tribunal Constitucional y La Reforma Constitucional

3 páginas

Apuntes sobre el Título VIII de la CE: La organización territorial del Estado

3 páginas

Apuntes sobre el Título VII de la CE: Economía y Hacienda

2 páginas

Apuntes sobre el Título VI de la CE: El Poder Judicial.

2 páginas

Apuntes sobre el Título V de la CE: Relaciones entre el Gobierno y las Cortes Generales

2 páginas

Apuntes sobre el Título IV de la CE: El Gobierno y la Administración.

2 páginas

Apuntes sobre el Capítulo 2 y 3 del Título III de la Constitución: Elaboración de las leyes y tratados internacionales.

3 páginas

Apuntes sobre el Capítulo 1 del Título III de la Constitución: Las Cámaras

3 páginas

Apuntes sobre el Título II de la CE: La Corona

2 páginas

apuntes

-

TEMA 3

He publicado nuevos apuntes de La Constitución Española Ii: de la Corona: TEMA 3

PREGUNTAS-OFICIALES-TEMA-3.pdf

He publicado nuevos apuntes de La Constitución Española Ii: de la Corona: PLAZOS-CE.pdf

3 páginas

He publicado nuevos apuntes de La Constitución Española Ii: de la Corona: Mayorias-en-la-CE.pdf

3 páginas

apuntes

-

La Constitución Española II: La Corona

He publicado nuevos apuntes de La Constitución Española Ii: de la Corona: La Constitución Española II: La Corona

Estado-de-Alarma-Estado-de-Excepcion-y-Estado-de-Sitio-esquema.pdf
La-Cuestion-de-Confianza-y-la-Mocion-de-Censura-esquema.pdf
Eleccion-de-Presidente-de-Gobierno-esquema.pdf
La-Corona-esquema.pdf
Reforma-de-la-Constitucion-esquema.pdf

Constitución española parte 2

26 páginas

He publicado nuevos apuntes de La Constitución Española Ii: de la Corona: Funciones-de-la-Corona.pdf

1 página

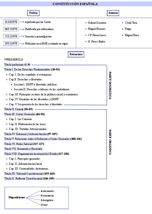
Aquí os dejo la segunda parte de la tabla de artículos de la constitución, están resumidos del artículo 56 al 169, es decir, toda la parte orgánica de la Constitución

9 páginas
¡Estás al día!

¡Estás al día!

Has visto todos los archivos