Laboratorio Básico Integrado

Todo
Apuntes
chevron_left
chevron_right

He publicado nuevos apuntes de 1º Laboratorio Básico Integrado: LBI-QUIMICA-practicas-4-8.pdf

20 páginas

He publicado nuevos apuntes de 1º Laboratorio Básico Integrado: LBI-QUIMICA-practicas-1-3.pdf

11 páginas

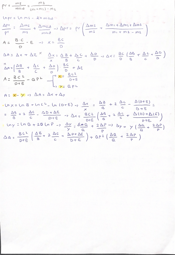
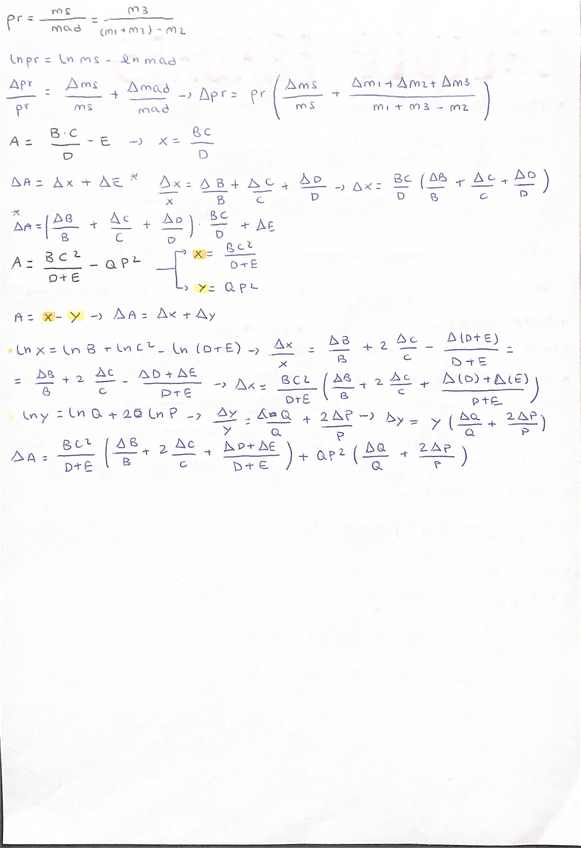
Apuntes de errores, cifras significativas y ajustes.

6 páginas
¡Estás al día!

¡Estás al día!

Has visto todos los archivos