Laboratorio de química física

chevron_left
chevron_right
Todo
Prácticas
chevron_left
chevron_right

practicas

-

Informes 2 cuatri

He publicado nuevos practicas de 3º Laboratorio de química física: Informes 2 cuatri

pract-6.pdf
pract-5.pdf
pract-4.pdf
pract-3.pdf
pract-2.pdf
pract-1.pdf

practicas

-

informes 1 cuatri

He publicado nuevos practicas de 3º Laboratorio de química física: informes 1 cuatri

Entalpia-de-vaporizacion-de-un-liquido-puro.pdf
Presiones-de-vapor-en-disoluciones-liquidas-ideales.pdf
Volumenes-parciales-molares.pdf
Diagrama-de-solubilidad-de-dos-liquidos-parcialmente-miscibles.pdf
Adsorcion-del-acido-acetico-sobre-carbon-activo.pdf
Diagrama-de-un-sistema-ternario.pdf

He publicado nuevos practicas de 3º Laboratorio de química física: LABORATORIO-QUIMICA-FISICA-primer-cuatrimestre.pdf

49 páginas

Informes segundo cuatrimestre

28 páginas

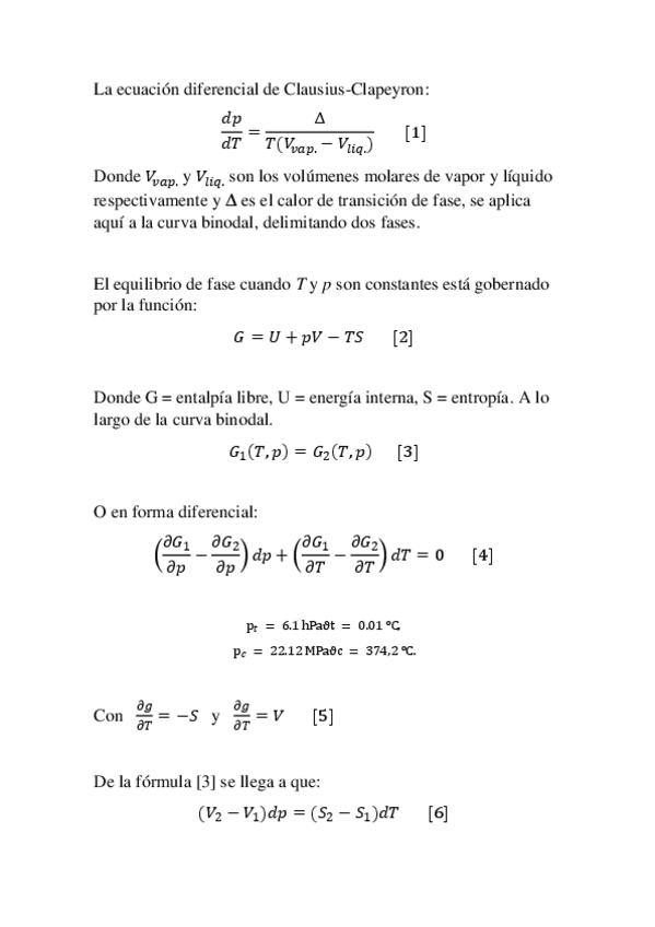
El porcentaje del Ftalato es del 99,5% y el del NaOH del 98%.

10 páginas

He publicado nuevos practicas de 3º Laboratorio de química física: Coeficiente-de-dilatacion-termica.pdf

12 páginas

He publicado nuevos practicas de 3º Laboratorio de química física: Presion-de-vapor-en-disoluciones-liquidas-ideales.pdf

10 páginas

He publicado nuevos practicas de 3º Laboratorio de química física: Diagrama-de-solubilidad-de-dos-liquidos-parcialmente-miscibles.pdf

10 páginas

He publicado nuevos practicas de 3º Laboratorio de química física: Volumenes-Molares-Parciales.pdf

9 páginas

practicas

-

Prácticas QUIFI

He publicado nuevos practicas de 3º Laboratorio de química física: Prácticas QUIFI

entalpia-de-vaporizacion-de-un-liquido-puro.pdf
Diagrama-de-solubilidad-de-dos-liquidos-parcialmente-miscibles.pdf
Diagrama-ternario.pdf
dilatometria.pdf
Isoterma-de-adsorcion-del-acido-acetico-sobre-carbon-activo.pdf
Diagrama-de-punto-de-ebullicion-de-una-mezcla-binaria.pdf
¡Estás al día!

¡Estás al día!

Has visto todos los archivos