Todo
Apuntes
Preguntas
Ejercicios
Exámenes
Otros
Prácticas
publication
Trabajos
chevron_left
chevron_right

apuntes

-

Comentarios críticos

Incluyo dos comentarios críticos 2º BACHILLERATO para la PAU.

Comentario-critico-La-Colmena-Camilo-Jose-Cela.pdf
Comentario-critico-Romancero-Gitano-poemario-completo-Federico-Garcia-Lorca.pdf

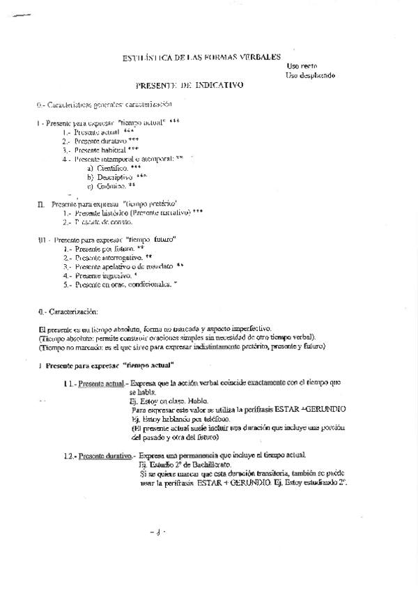
He publicado nuevos apuntes de Lengua Castellana y Literatura II: hispanoamerica-literatura-PAU.docx

word

Tema de la narrativa española posterior al 75 para la PAU. Corregido por profesor.

word

Apuntes del tercer libro de lectura de literatura para la PAU, libro muy frecuente en la PAU. Corregido por profesor.

word

He publicado nuevos apuntes de Lengua Castellana y Literatura II: novecentismo-lengua-PAU.docx

word

Apuntes para la PAU del segundo libro de literatura, Historia de una escalera. Corregidos por profesor.

1 página

Lírica y teatro posterior al 39, tema de literatura para la PAU. Corregidos por profesor

word

Literatura de Lengua Castellana y Literatura PAU Murcia. Obra Nada de Carmen Laforet (1944)

7 páginas

He publicado nuevos apuntes de Lengua Castellana y Literatura II: Comentario-literario-lengua.pdf

2 páginas

Preguntas de tipología y modalidad

2 páginas

He publicado nuevos apuntes de Lengua Castellana y Literatura II: tema-2-literatura-pdf.pdf

2 páginas

Tema 5 de literatura para la PAU, Generación 27 (tema muy frecuente en la PAU). Corregidos por profesor.

word

Comentario de libro para la PAU, de La Tía Tula publicado en 1921 (libro 1 de 3 de la PAU). Corregidos por profesor.

word

He publicado nuevos apuntes de Lengua Castellana y Literatura II: Vanguardias-literatura-PAU.docx

word

He publicado nuevos apuntes de Lengua Castellana y Literatura II: Tipos-de-SE.pdf

2 páginas

He publicado nuevos apuntes de Lengua Castellana y Literatura II: La-Generacion-del-27.pdf

3 páginas

He publicado nuevos apuntes de Lengua Castellana y Literatura II: El-teatro-de-1940-hasta-la-actualidad-tema-7.pdf

3 páginas

He publicado nuevos apuntes de Lengua Castellana y Literatura II: Guia-de-lectura-La-casa-de-Bernarda-Alba.pdf

4 páginas

He publicado nuevos apuntes de Lengua Castellana y Literatura II: La-poesia-desde-el-modernismo-a-las-vanguardias-tema-2.pdf

3 páginas

He publicado nuevos apuntes de Lengua Castellana y Literatura II: La-poesia-de-1940-a-1970-tema-6.pdf

3 páginas

He publicado nuevos apuntes de Lengua Castellana y Literatura II: La-novela-anterior-a-1940-tema-1.pdf

3 páginas

He publicado nuevos apuntes de Lengua Castellana y Literatura II: TEMA-5.LOS-TEXTOS-DE-LOS-MEDIOS-DE-COMUNICACION.pdf

4 páginas

He publicado nuevos apuntes de Lengua Castellana y Literatura II: TEMA-4.TIPOLOGIAS-TEXTUALES.pdf

3 páginas

He publicado nuevos apuntes de Lengua Castellana y Literatura II: TEMA-3-literatura.pdf

5 páginas

He publicado nuevos apuntes de Lengua Castellana y Literatura II: TEMA-3-LENGUA.-LAS-LENGUAS-DE-ESPANA-Y-EL-ESPANOL-EN-EL-MUNDO.pdf

5 páginas

He publicado nuevos apuntes de Lengua Castellana y Literatura II: TEMA-2-LITERATURA.pdf

10 páginas

TEMA 5 Lengua y Literatura de 2 bachillerato y evau/pau: LA GENERACIÓN DEL 27. TEATRO LORQUIANO

2 páginas

Autores y características de la generación del 27

3 páginas

ANÁLISIS DE LOS PRINCIPALES POEMAS DE CERNUDA PARA LA SELECTIVIDAD RENTA MUCHO ECHARLE UN VISTAZO!!!

15 páginas

He publicado nuevos apuntes de Lengua Castellana y Literatura II: Novela-espanola-desde-1936-hasta-los-70.pdf

3 páginas

Apuntes de la Generación del 98 (la novela)

2 páginas

un breve repasito...

1 página

EL TEATRO ESPAÑOL - PAU

5 páginas

RESUMEN GENERAL DE LOS LIBROS DE SELECTIVIDAD. COMPLETOS CON LO ESENCIAL...

4 páginas

MAPA CONCEPTUAL

1 página

Valoraciones críticas, pascual duarte y los peces de la amargura. Pau 2025

2 páginas

Tipos de textos Lengua y literatura 2 bachillerato

Imagen

Tipos de textos Lengua y literatura 2 bachillerato

Imagen

apuntes

-

sintaxis y funciones del lenguaje

He publicado nuevos apuntes de Lengua Castellana y Literatura II: sintaxis y funciones del lenguaje

Miniatura no disponible
SINTAXIS-RESUMIDO.webp
registro-lenguaje.pdf
Mecanismos-de-cohesi-n-1-1.pdf
Funciones-de-lenguaje-subrayado-y-redacci-n-comentario-NUEVO.pdf

He publicado nuevos apuntes de Lengua Castellana y Literatura II: estructura-examen-PAU-lengua-2026.pdf

2 páginas

Valoración crítica de Nada de Carmen Laforet. Responde a la pregunta de la PAU: "Comente los aspectos más relevantes de la obra española que haya leído escrita entre 1937 y 1974, en relación con su contexto sociohistórico y la tradición literaria." Reco

1 página

He publicado nuevos apuntes de Lengua Castellana y Literatura II: TEMA-5-LA-POESIA-Y-EL-TEATRO.pdf

6 páginas

He publicado nuevos apuntes de Lengua Castellana y Literatura II: Literatura.-Tema-4.pdf

2 páginas

He publicado nuevos apuntes de Lengua Castellana y Literatura II: Literatura.-Tema-3.pdf

2 páginas

He publicado nuevos apuntes de Lengua Castellana y Literatura II: TEMA-2-LENGUA.pdf

4 páginas

He publicado nuevos apuntes de Lengua Castellana y Literatura II: TEMA-1-LENGUA.pdf

2 páginas

Valoración crítica de Luces de bohemia de Ramón María del Valle-Inclán. Respuesta a la siguiente pregunta de la PAU. "Comente los aspectos más relevantes de la obra española que haya leído escrita entre 1875 y 1936, en relación con su contexto sociohistó

1 página

APUNTES DE: GENERACION 27, TEATRO HASTA 1939, SINTAXIS (TRUCOS, NEXOS, FUNCIONES)

7 páginas
Anónimo

@Anónimo

He publicado nuevos apuntes de Lengua Castellana y Literatura II: T9-la-literatura-hispanoamericana-contemporanea-poesia-americana-despues-de-las-vanguardias-la-novela-regionalista-la-novela-del-boom-la-novela-posterior-al-boom.pdf

2 páginas
Anónimo

@Anónimo

He publicado nuevos apuntes de Lengua Castellana y Literatura II: T8-La-novela-espanola-a-partir-de-1975-La-renovacion-de-la-novela.pdf

2 páginas
Anónimo

@Anónimo

He publicado nuevos apuntes de Lengua Castellana y Literatura II: T7-La-novela-espanola-de-1939-a-1975.pdf

2 páginas
Anónimo

@Anónimo

He publicado nuevos apuntes de Lengua Castellana y Literatura II: T6-La-lirica-y-el-teatro-posterior-es-a-1936.pdf

2 páginas
Anónimo

@Anónimo

He publicado nuevos apuntes de Lengua Castellana y Literatura II: T4-Las-vanguardias-en-Europa-Espana-e-Hispanoamerica.pdf

2 páginas
Anónimo

@Anónimo

He publicado nuevos apuntes de Lengua Castellana y Literatura II: T5-La-generacion-del-27-caracteristicas-y-trayectoria-poetica-de-los-poetas-del-27.-El-teatro-lorquiano.docx

word

He publicado nuevos apuntes de Lengua Castellana y Literatura II: Literatura-pau-2025.pdf

7 páginas

He publicado nuevos apuntes de Lengua Castellana y Literatura II: Literatura-G.98-y-G.27.pdf

8 páginas

He publicado nuevos apuntes de Lengua Castellana y Literatura II: Literatura-Poesia-Social-50-60-y-La-casa-de-Bernarda-Alba.pdf

5 páginas

He publicado nuevos apuntes de Lengua Castellana y Literatura II: Cronica-de-una-muerte-anunciada-comentario-de-texto.pdf

4 páginas

RESUMEN COMPLETO DEL LIBRO

7 páginas

apuntes

-

Llengua castellana i literatura

Reflexión Gramatical, Tiempos Verbales, Parónimos, Categorías Gramaticales, Pares Mínimos, Análisis Inverso, Sociolingüística, Tipologías Textuales, Oración Compuesta y Saber Literario.

Categorías Gramaticales.pdf
Tipologías Textuales.pdf
Análisis Inverso.pdf
Pares Mínimos.pdf
Parónimos.pdf
Reflexión Gramatical.pdf