Lengua Castellana y Literatura II

chevron_left
chevron_right
Todo
Apuntes
Preguntas
Ejercicios
Exámenes
Otros
Prácticas
publication
Trabajos
chevron_left
chevron_right

He publicado nuevos apuntes de Lengua Castellana y Literatura II

Esquema-sintaxis-simple.pdf

He publicado nuevos apuntes de Lengua Castellana y Literatura II: literatura-PAU.pdf

22 páginas

He publicado nuevos apuntes de Lengua Castellana y Literatura II: resumen-nexos-sintaxis.pdf.pdf

2 páginas

He publicado nuevos apuntes de Lengua Castellana y Literatura II: Textos-lengua-analisis.pdf

3 páginas

todos los temas de LITERATURA PAU 2026, ordenador segun informe oficial de la UCLM

36 páginas

apuntes

-

Literatura

He publicado nuevos apuntes de Lengua Castellana y Literatura II: Literatura

Vanguardias-G.27-Machado-y-JRJ.pdf
Campos-de-Castilla.pdf
Realismo-Modernismo.pdf
G.98-G.14.pdf
Entre-Visillos.pdf
Bodas-de-sangre.pdf

apuntes

-

lengua pau uclm 25-26

He publicado nuevos apuntes de Lengua Castellana y Literatura II: lengua pau uclm 25-26

comentario-de-textos-cientificos-pau-uclm-25-26.pdf
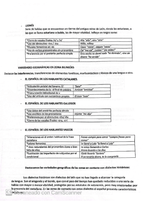
apuntes-variedades-geograficas-pau-uclm-25-26.pdf
apuntes-morfologia-pau-uclm-25-26.pdf
Campos-de-Castilla-Antonio-Machado-pau-uclm-25-26.pdf
literatura-tema-5-Antonio-Machado-y-Juan-Ramon-Jimenez-pau-uclm-25-26.pdf
literatura-tema-6-Las-Vanguardias-pau-uclm-25-26.pdf

apuntes

-

Literatura EVAU

He publicado nuevos apuntes de Lengua Castellana y Literatura II: Literatura EVAU

T8el-teatro-espanol-anterior-a-1936.pdf
T10el-teatro-espanol-posterior-a-1936-esquema.pdf
T1El-Realismo-literario.-Caracteristicas.-Autores-y-obras-mas-significativas.pdf
T9narrativa-espanola-posterior-a-1936.pdf
T10El-teatro-espanol-posterior-a-1936.pdf
T11la-poesia-posterior-a-1936.pdf

Conceptos clave para identificar textos científicos y humanísticos. PAU 2025.

word

Rasgos clave para identificar dentro de los textos y comentarlos. Los rasgos de los textos

word

Resumen de la morfología, PAU 2025

word

Resumen de la Casa de Bernarda Alba y los rasgos de Lorca ejemplificados. PAU 2025

word

He publicado nuevos apuntes de Lengua Castellana y Literatura II: TEMA-17.-Barroco-Teatro.docx

word

He publicado nuevos apuntes de Lengua Castellana y Literatura II: TEMA-16.-BARROCO-POESIA-Y-PROSA.docx

word

apuntes

-

Lengua

He publicado nuevos apuntes de Lengua Castellana y Literatura II: Lengua

Estructura-de-la-palabra-y-relaciones-semanticas.pdf
Sintaxis-adverbiales.pdf
Sintaxis-sustantivas-compuestas-coordinadas.pdf
Sintaxis-relativas.pdf

He publicado nuevos apuntes de Lengua Castellana y Literatura II: LITERATURA-1-REALISMO-LITERARIO.docx

word

He publicado nuevos apuntes de Lengua Castellana y Literatura II: LITERATURA-2-MODERNISMO.docx

word

He publicado nuevos apuntes de Lengua Castellana y Literatura II: LITERATURA-3-GENERACION-DEL-98.docx

word

He publicado nuevos apuntes de Lengua Castellana y Literatura II: LITERATURA-4-GENERACION-DEL-14.docx

word

He publicado nuevos apuntes de Lengua Castellana y Literatura II: LITERATURA-5-ANTONIO-MACHADO-Y-JUAN-RAMON-JIMENEZ.docx

word

He publicado nuevos apuntes de Lengua Castellana y Literatura II: LITERATURA-6-LAS-VANGUARDIAS.docx

word

He publicado nuevos apuntes de Lengua Castellana y Literatura II: LITERATURA-7-GENERACION-DEL-27.docx

word

He publicado nuevos apuntes de Lengua Castellana y Literatura II: LITERATURA-8-TEATRO-ESPANOL-ANTERIOR-A-1936.docx

word

He publicado nuevos apuntes de Lengua Castellana y Literatura II: LITERATURA-9-NARRATIVA-ESPANOLA-POSTERIOR-A-1936.docx

word

He publicado nuevos apuntes de Lengua Castellana y Literatura II: LITERATURA-10-TEATRO-ESPANOL-POSTERIOR-A-1936.docx

word

He publicado nuevos apuntes de Lengua Castellana y Literatura II: LITERATURA-11-POESIA-ESPANOLA-POSTERIOR-A-1936.docx

word

He publicado nuevos apuntes de Lengua Castellana y Literatura II: LENGUA-MORFOLOGIA.docx

word

He publicado nuevos apuntes de Lengua Castellana y Literatura II: LENGUA-5-8-TIPOS-TEXTOS.docx

word

He publicado nuevos apuntes de Lengua Castellana y Literatura II: LENGUA-4-TEXTO-Y-PROPIEDADES.docx

word

He publicado nuevos apuntes de Lengua Castellana y Literatura II: 1-BENITO-PEREZ-GALDOS.docx

word

He publicado nuevos ejercicios de Lengua Castellana y Literatura II: ORACIONES-SINTAXIS-EVAUPAU-UCLM-2008-2025.pdf

10 páginas

He publicado nuevos apuntes de Lengua Castellana y Literatura II: Texto-cientifico.pdf

Miniatura no disponible
2 páginas

He publicado nuevos apuntes de Lengua Castellana y Literatura II: Texto-humanistico.pdf

Miniatura no disponible
2 páginas
Anónimo

@Anónimo

He publicado nuevos apuntes de Lengua Castellana y Literatura II: Texto-periodistico.pdf

Miniatura no disponible
2 páginas
Anónimo

@Anónimo

He publicado nuevos apuntes de Lengua Castellana y Literatura II: RASGOS-LENGUA.pdf

21 páginas

Características clave para identificar comentarios de texto. PAU.

8 páginas

Resumen del epígrafe 11: La poesía posterior a 1936 en España, Literatura, completo y breve. PAU

2 páginas

Resumen del epígrafe 10: Teatro posterior a 1936 en España, Literatura, completo y breve. PAU

2 páginas

Resumen del epígrafe 9: La novela desde 1936 hasta los años 70 en España, Literatura, completo y breve. PAU

3 páginas

Resumen del epígrafe 8: Teatro español completo (Anterior a 1936, Federico García Lorca y Valle Inclán), Literatura, completo y breve. PAU

4 páginas

Resumen del epígrafe 7: Generación del 27, Literatura, completo y breve. PAU

3 páginas

Resumen del epígrafe 6: Vanguardias, Literatura, completo y breve. PAU

3 páginas

Resumen del epígrafe 5: Antonio Machado y Juan Ramón Jiménez, Literatura, completo y en una cara cada uno. PAU.

2 páginas

Resumen del epígrafe 4: Novecentismo o Generación del 14, Literatura, completo y en una cara. PAU

word

Resumen del epígrafe 3: Generación del 98, Literatura, completo y en una cara. PAU 2025

word

Resumen del epígrafe 2: Modernismo, de la PAU 2025, Literatura, completo y breve

word

Resumen del epígrafe 1 de la PAU 2025, Literatura, completo y breve.

word

Apuntes resumidos de la parte de Lengua, sobre todo para comentario de texto de la PAU 2025

word
Anónimo

@Anónimo

apuntes

-

Literatura II

He publicado nuevos apuntes de Lengua Castellana y Literatura II: Literatura II

Miniatura no disponible
La-novela-y-el-ensayo-novecentista.-Generacion-del-14
Miniatura no disponible
Juan-Rammon-Jimenez.-Juan-Ramon-Jimenez
Miniatura no disponible
Juan-Ramon-Jimenez.-Juan-Ramon-Jimenez
Miniatura no disponible
Las-vanguardias.-Caracteristicas.-Las-vanguardias
Miniatura no disponible
Creacionismo-y-ultrismo.-Las-vanguardias
La-generacion-del-27.-Rehumanizacion.pdf

He publicado nuevos apuntes de Lengua Castellana y Literatura II: Variedades-del-espanol-y-procedimientos-de-formacion-de-palabras.pdf

1 página

Comentario literario de Campos de Castilla de Machado para Pau CLM :)

Miniatura no disponible

He publicado nuevos apuntes de Lengua Castellana y Literatura II: ep-8.2.-El-teatro-renovador-tendencias.-Federico-Garcia-Lorca.-pdf.pdf

1 página

He publicado nuevos apuntes de Lengua Castellana y Literatura II: ep-8.3.-La-trayectoria-dramatica-de-Ramon-Maria-del-Valle-Inclan.-pdf.pdf

1 página

He publicado nuevos apuntes de Lengua Castellana y Literatura II: ep-8.1.-El-teatro-comercial-comedia-burguesa-teatro-comico-y-teatro-poetico.-pdf.pdf

1 página

He publicado nuevos apuntes de Lengua Castellana y Literatura II: ep-7.2.-Las-Sinsombrero-Concha-Mendez.-pdf.pdf

1 página

He publicado nuevos apuntes de Lengua Castellana y Literatura II: ep-7.1.-La-Generacion-del-27-definicion-caracteristicas-generales-y-evolucion.-pdf.pdf

1 página

He publicado nuevos apuntes de Lengua Castellana y Literatura II: Las-vanguardias-resumen.pdf

1 página

He publicado nuevos apuntes de Lengua Castellana y Literatura II: machado-y-juan-ramon-jimenez-resumen.pdf

1 página

He publicado nuevos apuntes de Lengua Castellana y Literatura II: generacion-del-14-resumen.pdf

1 página

He publicado nuevos apuntes de Lengua Castellana y Literatura II: generacion-del-98-resumen.pdf

1 página