Lenguajes de marcas y sistemas de gestión de información

chevron_left
chevron_right
Todo
Apuntes
Ejercicios
Exámenes
Otros
Prácticas
publication
Test
Trabajos
chevron_left
chevron_right

He publicado nuevos ejercicios de Lenguajes de marcas y sistemas de gestión de información: Ejercicios-Basicos-4-CSS.pdf

3 páginas

He publicado nuevos ejercicios de Lenguajes de marcas y sistemas de gestión de información: Ejercicios-Basicos-3-CSS.pdf

4 páginas

He publicado nuevos ejercicios de Lenguajes de marcas y sistemas de gestión de información: Ejercicios-Basicos-2-CSS.pdf

2 páginas

He publicado nuevos ejercicios de Lenguajes de marcas y sistemas de gestión de información: Ejercicios-Basicos-1-CSS.pdf

2 páginas

He publicado nuevos ejercicios de Lenguajes de marcas y sistemas de gestión de información: Ejercicios-Basicos-8-HTML.pdf

2 páginas

He publicado nuevos ejercicios de Lenguajes de marcas y sistemas de gestión de información: Ejercicios-Basicos-7-HTML.pdf

1 página

He publicado nuevos ejercicios de Lenguajes de marcas y sistemas de gestión de información: Ejercicios-Basicos-6-HTML.pdf

13 páginas

He publicado nuevos ejercicios de Lenguajes de marcas y sistemas de gestión de información: Ejercicios-Basicos-5-HTML.pdf

4 páginas

He publicado nuevos ejercicios de Lenguajes de marcas y sistemas de gestión de información: Ejercicios-Basicos-4-HTML.pdf

8 páginas

He publicado nuevos ejercicios de Lenguajes de marcas y sistemas de gestión de información: Ejercicios-Basicos-3-HTML.pdf

2 páginas

He publicado nuevos ejercicios de Lenguajes de marcas y sistemas de gestión de información: Ejercicios-Básicos-2-HTML.pdf

4 páginas

He publicado nuevos ejercicios de Lenguajes de marcas y sistemas de gestión de información: Ejercicios-Básicos-1-HTML.pdf

2 páginas

He publicado nuevos apuntes de Lenguajes de marcas y sistemas de gestión de información: U1-Intro-a-los-LM.pdf

36 páginas

He publicado nuevos apuntes de Lenguajes de marcas y sistemas de gestión de información: xml-apuntes.docx

word

He publicado nuevos apuntes de Lenguajes de marcas y sistemas de gestión de información: TEORIA-CRM-Y-ERP.pdf

3 páginas

He publicado nuevos apuntes de Lenguajes de marcas y sistemas de gestión de información: Exportar-una-base-de-datos-a-xml.pdf

4 páginas

He publicado nuevos apuntes de Lenguajes de marcas y sistemas de gestión de información: Lenguaje-de-Marcas.pdf

13 páginas

He publicado nuevos test de Lenguajes de marcas y sistemas de gestión de información: Test-XML-2.pdf

3 páginas

He publicado nuevos test de Lenguajes de marcas y sistemas de gestión de información: Test-XML.pdf

3 páginas

He publicado nuevos apuntes de Lenguajes de marcas y sistemas de gestión de información: Apuntes-de-XML.pdf

5 páginas

He publicado nuevos apuntes de Lenguajes de marcas y sistemas de gestión de información: Tema-6-Lenguajes-para-la-visualizacion-de-informacion.pdf

46 páginas

He publicado nuevos apuntes de Lenguajes de marcas y sistemas de gestión de información: JavaScript-DOM.pdf

2 páginas

He publicado nuevos apuntes de Lenguajes de marcas y sistemas de gestión de información: UT5-Conversion-y-adaptacion-de-documentos-XML.pdf

14 páginas

He publicado nuevos apuntes de Lenguajes de marcas y sistemas de gestión de información: Explicacion-para-lo-que-sirve-cada-elemento-principal-de-xslt.pdf

4 páginas

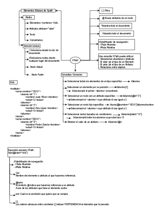
Esquema Xpath

2 páginas

Teoría y Práctica xpath

12 páginas

He publicado nuevos apuntes de Lenguajes de marcas y sistemas de gestión de información: UT4-Almacenamiento-de-informacion.pdf

17 páginas

He publicado nuevos apuntes de Lenguajes de marcas y sistemas de gestión de información: IntroduccionaCSStablas.pdf

8 páginas

He publicado nuevos apuntes de Lenguajes de marcas y sistemas de gestión de información: FormulariosenHTML.pdf

10 páginas

He publicado nuevos test de Lenguajes de marcas y sistemas de gestión de información: Miniexamenformularios.pdf

4 páginas

He publicado nuevos apuntes de Lenguajes de marcas y sistemas de gestión de información: IntroduccionaHTML.pdf

8 páginas

Glosario: Unidad 3 Sistemas de Gestión de la Información. Glosario

3 páginas

He publicado nuevos apuntes de Lenguajes de marcas y sistemas de gestión de información: Unidad-3-Sistemas-de-Gestion-de-la-Informacion.pdf

3 páginas

He publicado nuevos apuntes de Lenguajes de marcas y sistemas de gestión de información: TEMA-2-DEFINICION-DE-ESQUEMAS-Y-VOCABULARIOS-EN-XML.pdf

24 páginas

He publicado nuevos apuntes de Lenguajes de marcas y sistemas de gestión de información: UT-1-RECONOCIMIENTO-DE-LAS-CARACTERISTICAS-DE-LO-LENGUAJES-XML.pdf

11 páginas

He publicado nuevos ejercicios de Lenguajes de marcas y sistemas de gestión de información: Boostrap-Red-social.pdf

4 páginas

He publicado nuevos ejercicios de Lenguajes de marcas y sistemas de gestión de información: Boostrap-HTML-y-CSS.pdf

1 página

He publicado nuevos ejercicios de Lenguajes de marcas y sistemas de gestión de información: Flex-y-Gird-HTML-y-CSS.pdf

2 páginas

He publicado nuevos examenes de Lenguajes de marcas y sistemas de gestión de información: Examen-T4-Grid-y-FLEX.pdf

3 páginas

He publicado nuevos ejercicios de Lenguajes de marcas y sistemas de gestión de información: Position-HTML-y-CSS.pdf

1 página

He publicado nuevos ejercicios de Lenguajes de marcas y sistemas de gestión de información: Float-HTML-y-CSS.pdf

1 página

He publicado nuevos ejercicios de Lenguajes de marcas y sistemas de gestión de información: Flexbox-HTML-y-CSS.pdf

1 página

Práctica de investigación

2 páginas

He publicado nuevos ejercicios de Lenguajes de marcas y sistemas de gestión de información: Tablas-formularios-y-enlaces-HTML-y-CSS.pdf

1 página

He publicado nuevos ejercicios de Lenguajes de marcas y sistemas de gestión de información: Web-HTML-y-CSS.pdf

1 página

He publicado nuevos ejercicios de Lenguajes de marcas y sistemas de gestión de información: Tablas-HTML-y-CSS.pdf

1 página

He publicado nuevos ejercicios de Lenguajes de marcas y sistemas de gestión de información: Listas-HTML-y-CSS.pdf

1 página

He publicado nuevos examenes de Lenguajes de marcas y sistemas de gestión de información: Examen-T3-HTML-y-CSS.pdf

4 páginas

He publicado nuevos ejercicios de Lenguajes de marcas y sistemas de gestión de información: JSON-y-XML.pdf

1 página

He publicado nuevos ejercicios de Lenguajes de marcas y sistemas de gestión de información: XML.pdf

2 páginas

He publicado nuevos apuntes de Lenguajes de marcas y sistemas de gestión de información: TEMA-1-INTRODUCCION-A-LOS-LENGUAJES-DE-MARCAS.pdf

2 páginas

apuntes

-

Lenguaje de marcas

Primer curso completo

Anexo.-Tabla-Resumen-CSS-marypaz1986.pdf
Anexo.-Tabla-Resumen-XHTML-marypaz1986.pdf
Tema-0.-Introduccion-marypaz1986.pdf
Tema-1.-XHTML-marypaz1986.pdf
Tema-2.-CSS-marypaz1986.pdf
Tema-3.-XML-marypaz1986.pdf

He publicado nuevos apuntes de Lenguajes de marcas y sistemas de gestión de información: Resumen-UD6-Lenguaje-de-Marcas.pdf

3 páginas

He publicado nuevos apuntes de Lenguajes de marcas y sistemas de gestión de información: Resumen-UD5-Lenguaje-de-Marcas.pdf

4 páginas

He publicado nuevos apuntes de Lenguajes de marcas y sistemas de gestión de información: Resumen-UD4-Lenguaje-de-Marcas.pdf

4 páginas

trabajos

-

Proyecto final L.Marcas

He publicado nuevos trabajos de Lenguajes de marcas y sistemas de gestión de información: Proyecto final L.Marcas

Miniatura no disponible
G.Anaproyecto.rar

ejercicios

-

Práctica L.Marcas

He publicado nuevos ejercicios de Lenguajes de marcas y sistemas de gestión de información: Práctica L.Marcas

Miniatura no disponible
settings.json
Chrome.png
Miniatura no disponible
proyecto.css
Firefox-350px-Menu.png
Firefox-350px.png
Firefox-768px-Menu.png

ejercicios

-

Ejercicio 3-UD5 l.Marcas

He publicado nuevos ejercicios de Lenguajes de marcas y sistemas de gestión de información: Ejercicio 3-UD5 l.Marcas

Miniatura no disponible
Ejercicio-3-UD5-l.Marcas.rar

ejercicios

-

Ejercicio 2-UD5 l.Marcas

He publicado nuevos ejercicios de Lenguajes de marcas y sistemas de gestión de información: Ejercicio 2-UD5 l.Marcas

Miniatura no disponible
settings.json
Miniatura no disponible
style.css
Miniatura no disponible
Raleway-VariableFontwght.ttf
icono.png
imagen1.jpg
imagen2.jpg