Literatura Inglesa del Siglo XX

chevron_left
chevron_right
Todo
Apuntes
Ejercicios
Exámenes
publication
Test
Trabajos
chevron_left
chevron_right

alguien tiene apuntes de este año de Literatura Inglesa del Siglo XX con lucía bausela??? se los compro si hace falta :p

Anónimo

@Anónimo

apuntes finales second midterm

word
Anónimo

@Anónimo

Apuntes first midterm

word

glosario midterm 2

word

Glossary First Midterm

word

He publicado nuevos examenes de 4º Literatura Inglesa del Siglo XX: Midterm-2-Marta.docx

word
Anónimo

@Anónimo

He publicado nuevos test de 4º Literatura Inglesa del Siglo XX: TEST-1-HEART-OF-DARKNESS.docx

word

He publicado nuevos apuntes de 4º Literatura Inglesa del Siglo XX: teoria novela, teatro y poesía.pdf

14 páginas

He publicado nuevos apuntes de 4º Literatura Inglesa del Siglo XX: Literatura-Inglesa-Apuntes-completos.pdf

56 páginas

He publicado nuevos trabajos de 4º Literatura Inglesa del Siglo XX: POETRY-ASSIGNMENT-2023.pdf

2 páginas

apuntes

-

Study guides obras Lit. Ing .SXX

He publicado nuevos apuntes de 4º Literatura Inglesa del Siglo XX: Study guides obras Lit. Ing .SXX

dubliners-james-joyce.pdf
waiting-for-godot-samuel-beckett.pdf
The-Homecoming.pdf
pygmalion-george-bernard-shaw.pdf
Look-Back-in-Anger.pdf
heart-of-darkness-joseph-conrad.pdf

He publicado nuevos ejercicios de 4º Literatura Inglesa del Siglo XX: Drama-Assigment.pdf

2 páginas

He publicado nuevos apuntes de 4º Literatura Inglesa del Siglo XX: Apuntes-poesia-y-drama.pdf

21 páginas

He publicado nuevos ejercicios de 4º Literatura Inglesa del Siglo XX: Poetry-Assignment.pdf

2 páginas
Anónimo

@Anónimo

test

-

Test Heart of Darkness

He publicado nuevos test de 4º Literatura Inglesa del Siglo XX: Test Heart of Darkness

Test-Heart-of-Darkness.pdf

He publicado nuevos apuntes de 4º Literatura Inglesa del Siglo XX: NOVELA-S.pdf

20 páginas

He publicado nuevos apuntes de 4º Literatura Inglesa del Siglo XX: LITERATURA-SIGLO-XX.pdf

25 páginas

He publicado nuevos apuntes de 4º Literatura Inglesa del Siglo XX: Lucia-teatro.pdf

15 páginas

He publicado nuevos apuntes de 4º Literatura Inglesa del Siglo XX: Poetry-Lucia-COMPLETO.pdf

39 páginas
Anónimo

@Anónimo

He publicado nuevos apuntes de 4º Literatura Inglesa del Siglo XX: Literatura-s.pdf

2 páginas
Anónimo

@Anónimo

He publicado nuevos apuntes de 4º Literatura Inglesa del Siglo XX: TESTS-NOVELA-INGLESA-SIGLO-XX.pdf

1 página
Anónimo

@Anónimo

He publicado nuevos apuntes de 4º Literatura Inglesa del Siglo XX: EXAMEN-JUNIO-2022.pdf

1 página

He publicado nuevos apuntes de 4º Literatura Inglesa del Siglo XX: literatura-inglesa-narrativa.pdf

32 páginas
Anónimo

@Anónimo

apuntes

-

Poesía 20-21 grupo A

He publicado nuevos apuntes de 4º Literatura Inglesa del Siglo XX: Poesía 20-21 grupo A

thomas-hardy.docx
philip-larkin.docx

He publicado nuevos apuntes de 4º Literatura Inglesa del Siglo XX: Literatura-s.zip

Miniatura no disponible
zip
Anónimo

@Anónimo

apuntes

-

literatura inglesa S.XX

He publicado nuevos apuntes de 4º Literatura Inglesa del Siglo XX: literatura inglesa S.XX

3.doc
4.doc
10GrahamGreene.doc
8.doc
10.doc
1.doc

He publicado nuevos apuntes de 1º Literatura Inglesa del Siglo XX: 20th Century English Literature.pdf

6 páginas

He publicado nuevos apuntes de 1º Literatura Inglesa del Siglo XX: 20th Century English Literature.docx

word

He publicado nuevos apuntes de 4º Literatura Inglesa del Siglo XX: Literatura inglesa medieval y renacentista.pdf

27 páginas
Anónimo

@Anónimo

He publicado nuevos apuntes de 4º Literatura Inglesa del Siglo XX: Tema 2. John Wilmot.pdf

3 páginas
Anónimo

@Anónimo

He publicado nuevos apuntes de 4º Literatura Inglesa del Siglo XX: Tema 8. Female writers.pdf

2 páginas
Anónimo

@Anónimo

He publicado nuevos apuntes de 4º Literatura Inglesa del Siglo XX: Tema 6. Strangers.pdf

5 páginas
Anónimo

@Anónimo

He publicado nuevos apuntes de 4º Literatura Inglesa del Siglo XX: Tema 3. Comedy of manners.pdf

2 páginas
Anónimo

@Anónimo

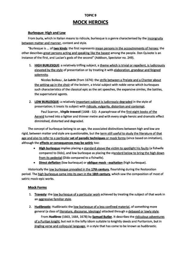
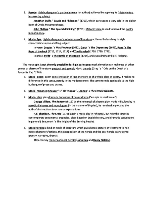
He publicado nuevos apuntes de 4º Literatura Inglesa del Siglo XX: Tema 9. Mock epic.pdf

5 páginas
Anónimo

@Anónimo

He publicado nuevos apuntes de 4º Literatura Inglesa del Siglo XX: Tema 1. History.pdf

4 páginas
Anónimo

@Anónimo

He publicado nuevos apuntes de 4º Literatura Inglesa del Siglo XX: Tema 7. Pope.pdf

4 páginas
Anónimo

@Anónimo

He publicado nuevos apuntes de 4º Literatura Inglesa del Siglo XX: Tema 2. Lit. Renacentista.pdf

6 páginas
Anónimo

@Anónimo

He publicado nuevos apuntes de 4º Literatura Inglesa del Siglo XX: Tema 1. Lit. medieval.pdf

9 páginas
Anónimo

@Anónimo

He publicado nuevos apuntes de 4º Literatura Inglesa del Siglo XX: Tema 5. Scriblerians.pdf

4 páginas
Anónimo

@Anónimo

He publicado nuevos apuntes de 4º Literatura Inglesa del Siglo XX: Tema 4. Ideas.pdf

5 páginas
Anónimo

@Anónimo

He publicado nuevos apuntes de 4º Literatura Inglesa del Siglo XX: Fechas_clave.PDF

1 página
¡Estás al día!

¡Estás al día!

Has visto todos los archivos