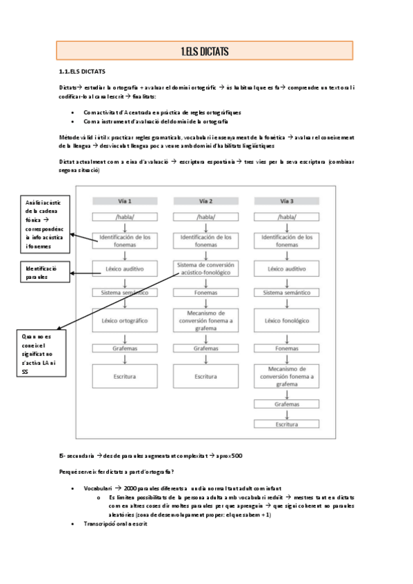
Llengües I

chevron_left
chevron_right
Todo
Apuntes
Exámenes
chevron_left
chevron_right

Canvien els exàmens, el contingut segurament canvia.

1 página

He publicado nuevos apuntes de 2º Llengües I: Llengues.-Segona-part.pdf

30 páginas

He publicado nuevos apuntes de 2º Llengües I: Llengues.-Primera-part.pdf

13 páginas
¡Estás al día!

¡Estás al día!

Has visto todos los archivos