Lógica y Algorítmica

chevron_left
chevron_right
Todo
Apuntes
Ejercicios
Exámenes
Prácticas
publication
chevron_left
chevron_right

apuntes

-

Lógica

He publicado nuevos apuntes de 1º Lógica y Algorítmica: Lógica

09-2017.pdf
P1-Ejercicios.pdf
P2-Ejercicios.pdf
P4.pdf
Parcial-2025.pdf

practicas

-

ALGORITMICA - Practicas Resueltas

He publicado nuevos practicas de 1º Lógica y Algorítmica: ALGORITMICA - Practicas Resueltas

P5-Algoritmica.pdf
P4-Algoritmica.pdf
P3-Algoritmica.pdf
P2-Algoritmica.pdf
P1-Algoritmica.pdf

He publicado nuevos practicas de 1º Lógica y Algorítmica: Practica-2.pdf

10 páginas

He publicado nuevos practicas de 1º Lógica y Algorítmica: Practica3.pdf

14 páginas

He publicado nuevos practicas de 1º Lógica y Algorítmica: Practica-1.pdf

11 páginas

He publicado nuevos apuntes de 1º Lógica y Algorítmica: PA2.pdf

7 páginas

He publicado nuevos apuntes de 1º Lógica y Algorítmica: PA1.pdf

10 páginas

He publicado nuevos examenes de 1º Lógica y Algorítmica: examen-junio-2017.pdf

5 páginas

He publicado nuevos examenes de 1º Lógica y Algorítmica: Examen-abril-2017.pdf

6 páginas

examenes

-

Examen ordinario resuelto Algorítmica 2025

Examen ordinario resuelto Algorítmica 2025 , hecho en clase por la profesora .

AlgoritmicaOrdinario2025.pdf

He publicado nuevos examenes de 1º Lógica y Algorítmica: Examen-ordinario-algoritmica2025.pdf

2 páginas

Resolución del primer ejercicio del parcial con los dos casos

1 página

parcial algortimica2025 - resuelto

4 páginas

Parcial algorítmica 2024-2024

2 páginas

apuntes

-

(Nota: 10) Sesión 5 Códigos Algoritmica 2023-2024

He publicado nuevos apuntes de 1º Lógica y Algorítmica: (Nota: 10) Sesión 5 Códigos Algoritmica 2023-2024

Ordenacion.pdf
TiemposOrdenacionApp.pdf

apuntes

-

(Nota: 10) Sesión 4 Códigos Algoritmica 2023-2024

He publicado nuevos apuntes de 1º Lógica y Algorítmica: (Nota: 10) Sesión 4 Códigos Algoritmica 2023-2024

CoeficienteBin.pdf
TiemposCoeficienteBinApp.pdf

apuntes

-

(Nota: 10) Sesión 3 Códigos Algoritmica 2023-2024

He publicado nuevos apuntes de 1º Lógica y Algorítmica: (Nota: 10) Sesión 3 Códigos Algoritmica 2023-2024

Potencia.pdf
TiemposPotenciaApp.pdf

apuntes

-

(Nota: 10) Sesión 2 Códigos Algoritmica 2023-2024

He publicado nuevos apuntes de 1º Lógica y Algorítmica: (Nota: 10) Sesión 2 Códigos Algoritmica 2023-2024

Subsecuencia.pdf
TiemposSubsecuenciaApp.pdf

practicas

-

(Nota: 10) Sesión 1 Códigos Algoritmica 2023-2024

He publicado nuevos practicas de 1º Lógica y Algorítmica: (Nota: 10) Sesión 1 Códigos Algoritmica 2023-2024

MatrizEnterosCuadradaApp.pdf
TiemposMatrizEnterosCuadradaApp.pdf

practicas

-

(NOTA: 10) Prácticas Algorítmica 23-24

He publicado nuevos practicas de 1º Lógica y Algorítmica: (NOTA: 10) Prácticas Algorítmica 23-24

Practica 1 Sesiones 1 y 2.pdf
Practica 2 Sesiones 3, 4 y 5.pdf

He publicado nuevos apuntes de 1º Lógica y Algorítmica: Sumario-leyes-Tema-1.pdf

5 páginas

He publicado nuevos apuntes de 1º Lógica y Algorítmica: Tema-1.pdf

7 páginas

He publicado nuevos ejercicios de 1º Lógica y Algorítmica: Ejercicios-variados.pdf

6 páginas

He publicado nuevos examenes de 1º Lógica y Algorítmica: examen-2017.pdf

5 páginas

practicas

-

Algorítmica - Práctica 2 2023/2024

He publicado nuevos practicas de 1º Lógica y Algorítmica: Algorítmica - Práctica 2 2023/2024

Miniatura no disponible
S3-Potencia.java
Miniatura no disponible
S3-TiemposPotenciaApp.java
Miniatura no disponible
S4-CoeficienteBin.java
Miniatura no disponible
S4-TiemposCoeficienteBinApp.java
Miniatura no disponible
S5-Ordenacion.java
Miniatura no disponible
S5-TiemposOrdenacionApp.java

practicas

-

Algorítmica - Práctica 1 2023/2024

He publicado nuevos practicas de 1º Lógica y Algorítmica: Algorítmica - Práctica 1 2023/2024

Excel-Sesion-02.xlsx
Excel-Sesion-01.xlsx
Memoria-Practica-1.pdf
Miniatura no disponible
S1-MatrizEnterosCuadrada.java
Miniatura no disponible
S1-TiemposMatrizEnterosCuadradaApp.java
Miniatura no disponible
S2-Subsecuencia.java
Anónimo

@Anónimo

He publicado nuevos apuntes de 1º Lógica y Algorítmica: Resumen-Algoritmica.pdf

8 páginas

He publicado nuevos apuntes de 1º Lógica y Algorítmica: Apuntes-y-Ejercicios-de-Logica-Y-Algoritmica.pdf

48 páginas

practicas

-

Practicas Algorítmica

He publicado nuevos practicas de 1º Lógica y Algorítmica: Practicas Algorítmica

Practica-3.xlsx
Practica-4.xlsx
Practica-5.xlsx
Practica1-LYO.xlsx
Practica-1-Algoritmica.pdf
Practica-2-Algoritmica.pdf
Anónimo

@Anónimo

examenes

-

EXAMEN PARCIAL LOGICA 2024

He publicado nuevos examenes de 1º Lógica y Algorítmica: EXAMEN PARCIAL LOGICA 2024

EXAMEN-PARCIAL-LOGICA-2024-ENUNCIADO.pdf

apuntes

-

Relaciones ALgoritmica 2 3 y 4

He publicado nuevos apuntes de 1º Lógica y Algorítmica: Relaciones ALgoritmica 2 3 y 4

SolRelacion3.pdf
SolRelacion2.pdf
ejer4MasterTeo.pdf
Anónimo

@Anónimo

examenes

-

Examen Ordinario 2022 Algoritmica

He publicado nuevos examenes de 1º Lógica y Algorítmica: Examen Ordinario 2022 Algoritmica

lyaexamOrdJunio22.pdf
Anónimo

@Anónimo

examenes

-

Examen Parcial Algoritmica 2022

He publicado nuevos examenes de 1º Lógica y Algorítmica: Examen Parcial Algoritmica 2022

lyaParcial2022.pdf

ejercicios

-

Relaciones Algorítmica 2024

He publicado nuevos ejercicios de 1º Lógica y Algorítmica: Relaciones Algorítmica 2024

Relacion1 Completa.pdf
Relacion2 Completa.pdf
Relacion3 Completa.pdf
Relacion4 Completa.pdf

examenes

-

Parcial 2024

He publicado nuevos examenes de 1º Lógica y Algorítmica: Parcial 2024

Parcial-2024 (No se encontró cláusula vacía en el 3).pdf

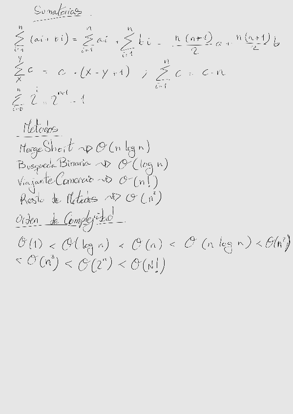
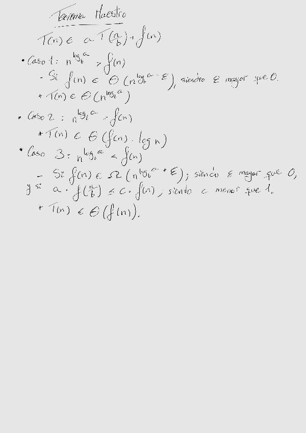
He publicado nuevos ejercicios de 1º Lógica y Algorítmica: Relacion-Teorema-Maestro-hecho.pdf

3 páginas

Modelo examen Lógica

Alguien puede subir unos cuantos ejercicios tal y como los quiere el profesor?

apuntes

-

Apuntes Algorítmica 2024

He publicado nuevos apuntes de 1º Lógica y Algorítmica: Apuntes Algorítmica 2024

TEMA-3.2-Notacion-Asintotica.pdf
TEMA-3.1-Estudio-de-algoritmos.pdf

examenes

-

Examen Parcial Lógica 2024

He publicado nuevos examenes de 1º Lógica y Algorítmica: Examen Parcial Lógica 2024

Ejercicio1.pdf
Ejercicio2.pdf
Ejercicio3.pdf

ejercicios

-

Relaciónes algoritmica

He publicado nuevos ejercicios de 1º Lógica y Algorítmica: Relaciónes algoritmica

Relacion-1.pdf
Relacion-2.pdf
Relacion-3.pdf

apuntes

-

Resumen clave algoritmica

He publicado nuevos apuntes de 1º Lógica y Algorítmica: Resumen clave algoritmica

Resumen-Tema-1.pdf
Resumen-Tema-2.pdf
Resumen-Tema-3.pdf

He publicado nuevos ejercicios de 1º Lógica y Algorítmica: Ejercicios-repaso-logica.pdf

16 páginas

apuntes

-

Resumenes clave lógica

He publicado nuevos apuntes de 1º Lógica y Algorítmica: Resumenes clave lógica

Resumen-Tema-1.pdf
Resumen-Tema-2.pdf
Resumen.pdf

apuntes

-

Resúmenes compactos

He publicado nuevos apuntes de 1º Lógica y Algorítmica: Resúmenes compactos

Preguntas habituales de examen.pdf
Leyes y equivalencias - Predicados y Proposiciones.pdf
Resumen compacto tema-1.pdf
Anónimo

@Anónimo

apuntes

-

Resumenes Logica

He publicado nuevos apuntes de 1º Lógica y Algorítmica: Resumenes Logica

Ejercicios-de-lenguaje-logico.pdf
Ejercicios-sentencia-valida-con-cuantificadores.pdf
Ejercicios-sentencia-valida.pdf
Resumen.pdf
Anónimo

@Anónimo

examenes

-

Examen Logica 2023

He publicado nuevos examenes de 1º Lógica y Algorítmica: Examen Logica 2023

Examen-Logica-2023.pdf

practicas

-

Relaciones Lógica 2024

He publicado nuevos practicas de 1º Lógica y Algorítmica: Relaciones Lógica 2024

Practica 1 Lógica.pdf
Practica 2 Lógica.pdf
Practica 3 Lógica.pdf
Practica 4 Lógica.pdf
Practica 5 Lógica.pdf

He publicado nuevos examenes de 1º Lógica y Algorítmica: parcial-2011-con-solucion.pdf

3 páginas

ejercicios

-

ejercicios de repaso resueltos

He publicado nuevos ejercicios de 1º Lógica y Algorítmica: ejercicios de repaso resueltos

Problemas-Libro.pdf
Practica-1Problemas-del-Libro.pdf

apuntes

-

Teoría Lógica 2024

He publicado nuevos apuntes de 1º Lógica y Algorítmica: Teoría Lógica 2024

Tema 1.pdf
Tema 2 .pdf

practicas

-

Fichas Prácticas Erasmus Bragança

Fichas Prácticas Algoritmia e Programação Erasmus 2023-2024

Miniatura no disponible
Fichas-Practicas.zip

apuntes

-

Teoría Erasmus Bragança

Teoría Algoritmia e Programação Erasmus Bragança 2023-2024

Aula-1b-Algoritmia.pdf
Aula-2-IntroducaoLinguagemJava.pdf
Aula-3-InstalacaoIDE.pdf
Aula-4-LingJavaSaidaPalavReservadasTipoDadosVariaveisConst.pdf
Aula-5-ExpressoesLiteraisOperadoresConverTipo.pdf
Aula-6-EntradaDeDados.pdf

He publicado nuevos practicas de 1º Lógica y Algorítmica: Sesion0304.Algoritmica.pdf

5 páginas

He publicado nuevos practicas de 1º Lógica y Algorítmica: Sesion01ySesion2ALGORITMICA.pdf

6 páginas
Anónimo

@Anónimo

apuntes

-

Teoría 2024

He publicado nuevos apuntes de 1º Lógica y Algorítmica: Teoría 2024

El-condicional-en-el-lenguaje-natural-1a.pdf
Logica-de-Proposiciones-1b-leyes.pdf
Logica-de-Proposiciones-1c-equivalencias.pdf
Logica-de-Proposiciones-1d-Reglas-de-inferencia.pdf
Logica-de-Predicados-2a-Leyes.pdf
Logica-de-Predicados-2b-Equivalencias.pdf
Anónimo

@Anónimo

practicas

-

Prácticas 2024

He publicado nuevos practicas de 1º Lógica y Algorítmica: Prácticas 2024

Practica-1.pdf
Practica-2.pdf
Practica-3.pdf
Practica-4.pdf
Practica-5.pdf

He publicado nuevos examenes de 1º Lógica y Algorítmica: Ejs-examenes-Tema-2-Resueltos.pdf

4 páginas

He publicado nuevos apuntes de 1º Lógica y Algorítmica: Resumen-Logica.pdf

3 páginas

He publicado nuevos examenes de 1º Lógica y Algorítmica: Ejs-examenes-Tema-1-Resueltos.pdf

9 páginas

He publicado nuevos apuntes de 1º Lógica y Algorítmica: resumen-algoritmica.pdf

3 páginas