Todo
Apuntes
Ejercicios
Exámenes
Prácticas
chevron_left
chevron_right

He publicado nuevos apuntes de 3º Macroeconomía Dinámica: EXAMEN-ENERO-2025-MACRO-DINAMICA.pdf

1 página
Anónimo

@Anónimo

He publicado nuevos examenes de 3º Macroeconomía Dinámica: Final-macro-dinamica-enero 2025.pdf

1 página

Profe: Jorge Turno

4 páginas

Profe: Jorge Turno

4 páginas
Anónimo

@Anónimo

He publicado nuevos apuntes de 3º Macroeconomía Dinámica: Tema-3b.-Deficit-y-deuda.pdf

27 páginas
Anónimo

@Anónimo

He publicado nuevos apuntes de 3º Macroeconomía Dinámica: Tema-2.3.-El-modelo-con-capital-fisico.pdf

33 páginas
Anónimo

@Anónimo

He publicado nuevos apuntes de 3º Macroeconomía Dinámica: Tema-2.1-El-modelo-en-uno-y-dos-periodos.pdf

136 páginas
Anónimo

@Anónimo

He publicado nuevos apuntes de 3º Macroeconomía Dinámica: Tema-1-definitivo.pdf

52 páginas
Anónimo

@Anónimo

He publicado nuevos practicas de 3º Macroeconomía Dinámica: Practica2Macro.pdf

5 páginas
Anónimo

@Anónimo

He publicado nuevos practicas de 3º Macroeconomía Dinámica: Practica1Macro.pdf

6 páginas
Anónimo

@Anónimo

He publicado nuevos ejercicios de 3º Macroeconomía Dinámica: Hoja-de-problemas-Tema-2.pdf

3 páginas
Anónimo

@Anónimo

He publicado nuevos apuntes de 3º Macroeconomía Dinámica: el-mercado-de-credito-en-el-modelo-de-dos-y-mas-periodos.pdf

67 páginas

He publicado nuevos examenes de 3º Macroeconomía Dinámica: tipo-test-examenes-anteriores.pdf

9 páginas

He publicado nuevos apuntes de 3º Macroeconomía Dinámica: Practica-1-de-Macroeconomia-corregida.pdf

3 páginas

He publicado nuevos apuntes de 3º Macroeconomía Dinámica: Hoja-de-problemas-2-Resuelta.pdf

4 páginas

He publicado nuevos apuntes de 3º Macroeconomía Dinámica: Examen-parcial-1.pdf

1 página

He publicado nuevos apuntes de 3º Macroeconomía Dinámica: Examen-parcial-2.pdf

2 páginas

He publicado nuevos apuntes de 3º Macroeconomía Dinámica: Extraordinaria-2023.pdf

2 páginas

He publicado nuevos apuntes de 3º Macroeconomía Dinámica: Ordinaria-2023.pdf

1 página

He publicado nuevos apuntes de 3º Macroeconomía Dinámica: apuntes-macro-dinamica-tema-1.pdf

5 páginas

He publicado nuevos examenes de 3º Macroeconomía Dinámica: EXAMEN-JUNIO-MACRO-DINAMICA-2024-231-JORGE-TURMO.pdf

1 página

He publicado nuevos ejercicios de 3º Macroeconomía Dinámica: Ejercicios-Macroeconomia.pdf

24 páginas

He publicado nuevos ejercicios de 3º Macroeconomía Dinámica: EJERCICIOS MACRO DINÁMICA.pdf

12 páginas

apuntes

-

Apuntes macroeconomia dinamica

He publicado nuevos apuntes de 3º Macroeconomía Dinámica: Apuntes macroeconomia dinamica

TEMA-1-imp.pdf
TEMA-2.1.pdf
tema-2.2.pdf
TEMA-3.pdf

He publicado nuevos apuntes de 3º Macroeconomía Dinámica: resumen-formulas-todo-el-temario.pdf

4 páginas

He publicado nuevos examenes de 3º Macroeconomía Dinámica: EXAMEN-FINAL-ENERO-2024.pdf

1 página

He publicado nuevos ejercicios de 3º Macroeconomía Dinámica: Ejercicios-1-resueltos.pdf

10 páginas
Anónimo

@Anónimo

practicas

-

Práctica 3 solución (Sector público, consumo y trabajo, Laffer y Equivalencia Ricardia a)

He publicado nuevos practicas de 3º Macroeconomía Dinámica: Práctica 3 solución (Sector público, consumo y trabajo, Laffer y Equivalencia Ricardia a)

Solucion-Practica-3.pdf
Practica-3.pdf
Anónimo

@Anónimo

practicas

-

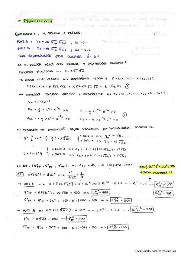
Práctica 4 solución (Modelo Solow y Ramsey)

He publicado nuevos practicas de 3º Macroeconomía Dinámica: Práctica 4 solución (Modelo Solow y Ramsey)

Practica-4.pdf
Soluciones-Practica-4.pdf
Anónimo

@Anónimo

He publicado nuevos practicas de 3º Macroeconomía Dinámica: PracticaRCguia.pdf

4 páginas
Anónimo

@Anónimo

He publicado nuevos practicas de 3º Macroeconomía Dinámica: Practica32023guia.pdf

5 páginas
Anónimo

@Anónimo

He publicado nuevos practicas de 3º Macroeconomía Dinámica: PracticaT22023redguia.pdf

6 páginas

He publicado nuevos examenes de 3º Macroeconomía Dinámica: Parcialnov2023guia.pdf

6 páginas

He publicado nuevos examenes de 3º Macroeconomía Dinámica: PARCIAL-MACRO-DINAMICA-2023.pdf

1 página
Anónimo

@Anónimo

apuntes

-

Macro Dinámica

He publicado nuevos apuntes de 3º Macroeconomía Dinámica: Macro Dinámica

Macro-Dinamica-tema-1.pdf
MA-TEMA-2.pdf
MA-TEMA-3.pdf
MD-RESUMEN-TODOS-LOS-TEMAS.pdf
Anónimo

@Anónimo

He publicado nuevos ejercicios de 3º Macroeconomía Dinámica: EJERCICIOS-RESUELTOS-MACROECONOMIA-DINAMICA.pdf

5 páginas
Anónimo

@Anónimo

apuntes

-

APUNTES TEMA 1, 2, 3 Y 4

He publicado nuevos apuntes de 3º Macroeconomía Dinámica: APUNTES TEMA 1, 2, 3 Y 4

T1-MACROECONOMIA-DINAMICA.pdf
T2-MACROECONOMIA-DINAMICA.pdf
T3-Y-T4-MACROECONOMIA-DINAMICA.pdf

He publicado nuevos apuntes de 3º Macroeconomía Dinámica: TODO-el-temario-con-ejemplos-y-plantillas.pdf

23 páginas

He publicado nuevos ejercicios de 3º Macroeconomía Dinámica: hoja-1-soluciones.pdf

5 páginas

practicas

-

Ej. Resueltos

He publicado nuevos practicas de 3º Macroeconomía Dinámica: Ej. Resueltos

AlgunasPreguntasRepaso2periodos.pdf
AlgunasPreguntasRepasoconsocio.pdf

ejercicios

-

Ejercicios explicados

He publicado nuevos ejercicios de 3º Macroeconomía Dinámica: Ejercicios explicados

Ejercicios-explicados-y-teoria.pdf
Modelo-de-2-periodos-y-equilibrio-general.pdf

He publicado nuevos examenes de 3º Macroeconomía Dinámica: Examen-final-ordi-9B4.pdf

7 páginas

He publicado nuevos examenes de 3º Macroeconomía Dinámica: Examenes-solucion-macro-dinamica.pdf

41 páginas

practicas

-

Macroeconomía dinámica

He publicado nuevos practicas de 3º Macroeconomía Dinámica: Macroeconomía dinámica

Practica-0.pdf
practica3.pdf
practica-2.pdf
practica-4.pdf
practica-5.pdf
Anónimo

@Anónimo

He publicado nuevos apuntes de 3º Macroeconomía Dinámica: Nuevo-documento11.pdf

34 páginas
Anónimo

@Anónimo

He publicado nuevos examenes de 3º Macroeconomía Dinámica: examen-macro.pdf

5 páginas

apuntes

-

Apuntes Macro

He publicado nuevos apuntes de 3º Macroeconomía Dinámica: Apuntes Macro

Nuevo-documento9-40-81.pdf
Nuevo-documento9-1-39.pdf
Anónimo

@Anónimo

He publicado nuevos apuntes de 3º Macroeconomía Dinámica: equiltwoperiodsecofin2015.pdf

91 páginas

He publicado nuevos apuntes de 3º Macroeconomía Dinámica: Macroeconomia-doepke-traducido.pdf

122 páginas

He publicado nuevos apuntes de 3º Macroeconomía Dinámica: Temas-1-2-y-3-Macro-Dinamica.pdf

41 páginas
Anónimo

@Anónimo

He publicado nuevos apuntes de 3º Macroeconomía Dinámica: macro-dinamica-.pdf

54 páginas

He publicado nuevos apuntes de 3º Macroeconomía Dinámica: Esquemas-toda-la-asignatura-.pdf

pdf

He publicado nuevos apuntes de 3º Macroeconomía Dinámica: TEMA3.pdf

6 páginas
Anónimo

@Anónimo

apuntes

-

tema 1 y 2

He publicado nuevos apuntes de 3º Macroeconomía Dinámica: tema 1 y 2

Tema-1-definitivo.pdf
Tema-2.pdf
Tema-2d.pdf

apuntes

-

Hojas de ejercicios 2,3 y 4

He publicado nuevos apuntes de 3º Macroeconomía Dinámica: Hojas de ejercicios 2,3 y 4

hoja de ejercicos 2.pdf
hoja ejericios 4.pdf
hoja ejericios 3.pdf

He publicado nuevos apuntes de 3º Macroeconomía Dinámica: hoja de ejercicios 6.pdf

2 páginas
Anónimo

@Anónimo

He publicado nuevos apuntes de 3º Macroeconomía Dinámica: Tema3a.pdf

33 páginas
Anónimo

@Anónimo

apuntes

-

Tema 2 completo

He publicado nuevos apuntes de 3º Macroeconomía Dinámica: Tema 2 completo

Tema 2d.pdf
tema2a.pdf
tema2b.pdf
Tema 2c.pdf

apuntes

-

Ejercicios macro y solución.

He publicado nuevos apuntes de 3º Macroeconomía Dinámica: Ejercicios macro y solución.

practica-4-582 macro.docx
problemas-tema-4-8 macro.docx

He publicado nuevos apuntes de 3º Macroeconomía Dinámica: tema 1_compressed.pdf

44 páginas