chevron_left
chevron_right
Todo
Apuntes
Ejercicios
Exámenes
Otros
Prácticas
Test
chevron_left
chevron_right

Incluye las diferencias entre los modelos IS-LM con y sin expectativas en un plazo corto y mediano. Muestra los cambios de las curvas tanto IS como LM, del Y, I, C, i, y π

12 páginas

apuntes

-

teoría macroeconomía II

He publicado nuevos apuntes de 2º Macroeconomía II: teoría macroeconomía II

TEMA-2-Ajustes-de-la-demanda.docx
TEMA-3-Mercados-financieros.docx
TEMA-4-Fundamento-microeconomicos-del-consumo.docx
TEMA-5-deficit-y-deuda-publica.docx
TEMA-6-inflacion-y-politica-monetaria.docx

He publicado nuevos apuntes de 2º Macroeconomía II: TEMAS-DEL-1-al-6.pdf

26 páginas

apuntes

-

MACROECONOMICS II

He publicado nuevos apuntes de 2º Macroeconomía II: MACROECONOMICS II

MACRO-II-TOPIC-2.pdf
MACRO-II-TOPIC-3.pdf
MACRO-II-TOPIC-4A.pdf
MACRO-II-TOPIC-4B.pdf
MACRO-II-TOPIC-5.pdf
MACRO-II-TOPIC-6.pdf

He publicado nuevos apuntes de 2º Macroeconomía II: Resumen-macro-II-topic-4.pdf

2 páginas

He publicado nuevos apuntes de 2º Macroeconomía II: resumen-macro-II-6.pdf

2 páginas

He publicado nuevos apuntes de 2º Macroeconomía II: formulas-macro-II.pdf

2 páginas

Guia paso a paso info completa de cómo resolver todos los ejercicios de examenes pasados (examenes 2021 hasta 2024)

27 páginas

EXAMEN PARCIAL

2 páginas

examenes

-

MACROECONOMÍA II

He publicado nuevos examenes de 2º Macroeconomía II: MACROECONOMÍA II

1o-TEST-VIRTUAL-TEMAS-1-2-3-y-4.pdf
2o-TEST-VIRTUAL-TEMAS-5-6-7-Y-8.pdf
TIPO-TEST-2o-PARTE-TEMA-5-6-7-y-8.pdf
TESTS-VARIADOS-1o-y-2o-PARTE-TODOS-LOS-TEMAS.pdf

He publicado nuevos test de 2º Macroeconomía II: PREGUNTAS-MACRO-TEORIA-5-6.pdf

5 páginas

He publicado nuevos test de 2º Macroeconomía II: PREGUNTAS-MACRO-TEORIA-1-4.pdf

8 páginas

He publicado nuevos apuntes de 2º Macroeconomía II: macro-6.pdf

11 páginas

He publicado nuevos apuntes de 2º Macroeconomía II: Macro-II-resumen-topic-5.pdf

2 páginas

He publicado nuevos apuntes de 2º Macroeconomía II: Macro-II-resumen-topic-3.pdf

2 páginas

He publicado nuevos apuntes de 2º Macroeconomía II: macro-II-resumen-2.pdf

4 páginas

He publicado nuevos apuntes de 2º Macroeconomía II: macro-II-5.pdf

6 páginas

ENI INGLÉS

33 páginas
Anónimo

@Anónimo

He publicado nuevos apuntes de 2º Macroeconomía II: MACROECONOMICS-II-final-exam-2024-resuelto.pdf

3 páginas
Anónimo

@Anónimo

He publicado nuevos apuntes de 2º Macroeconomía II: MACROECONOMICS-II-final-exam-2024.pdf

2 páginas

He publicado nuevos ejercicios de 2º Macroeconomía II: exercises-macro-IS-LM-PC-model.pdf

11 páginas

He publicado nuevos apuntes de 2º Macroeconomía II: macro-II-4b.pdf

4 páginas

He publicado nuevos apuntes de 2º Macroeconomía II: macro-topic-4.a.pdf

12 páginas

He publicado nuevos apuntes de 2º Macroeconomía II: macro-II-3.pdf

6 páginas

He publicado nuevos examenes de 2º Macroeconomía II: EXAMEN-MACROII2024.pdf

2 páginas

He publicado nuevos apuntes de 2º Macroeconomía II: macro-II-topic-2.pdf

10 páginas

He publicado nuevos apuntes de 2º Macroeconomía II: macro-II-topic-1.pdf

1 página

He publicado nuevos test de 2º Macroeconomía II: TESTS-MACRO-este.pdf

35 páginas

He publicado nuevos apuntes de 2º Macroeconomía II: TEST-MACRO-2.pdf

4 páginas

ejercicios

-

Exercises 2023-2024

He publicado nuevos ejercicios de 2º Macroeconomía II: Exercises 2023-2024

SET-2.pdf
SET-3.pdf
SET-5.pdf
SET-6.pdf

ejercicios

-

Solutions to exercises

He publicado nuevos ejercicios de 2º Macroeconomía II: Solutions to exercises

ExercisesTopic2Answers.pdf
Exercisestopic320232024solved.pdf
ExercisesTopic5Solution.pdf
ExercisesTopic6solution.pdf
SolutionsExercises1456-topic-4.pdf
SolutionsExercises23-topic-4.pdf

He publicado nuevos examenes de 2º Macroeconomía II: Primer-parcial.pdf

10 páginas

He publicado nuevos examenes de 2º Macroeconomía II: Examen-final.pdf

9 páginas

He publicado nuevos apuntes de 2º Macroeconomía II: EXAMEN-MACRO2-2024.pdf

2 páginas

He publicado nuevos apuntes de 2º Macroeconomía II: Topic-6.-High-Inflation-and-Monetary-Policy.pdf

23 páginas

He publicado nuevos apuntes de 2º Macroeconomía II: Topic-5.-Public-Debt-and-Fiscal-Policy.pdf

15 páginas

He publicado nuevos apuntes de 2º Macroeconomía II: Topic-2-macro-II.pdf

11 páginas

He publicado nuevos apuntes de 2º Macroeconomía II: Topic-3-MACRO-II.pdf

7 páginas

He publicado nuevos apuntes de 2º Macroeconomía II: TOPIC-5.pdf

6 páginas

He publicado nuevos apuntes de 2º Macroeconomía II: TOPIC-4-MACRO-II.pdf

10 páginas

He publicado nuevos apuntes de 2º Macroeconomía II: Topic-1.pdf

7 páginas

He publicado nuevos apuntes de 2º Macroeconomía II: Tests.pdf

15 páginas

He publicado nuevos apuntes de 2º Macroeconomía II: TOPIC-6.pdf

9 páginas

He publicado nuevos examenes de 2º Macroeconomía II: Examen-MacroII-2022.pdf

8 páginas

He publicado nuevos examenes de 2º Macroeconomía II: Examen-MacroII-2023.pdf

8 páginas

He publicado nuevos examenes de 2º Macroeconomía II: EXAMEN-FINAL-ANO-2021-22.pdf

8 páginas

He publicado nuevos examenes de 2º Macroeconomía II: EXAMEN-FINAL-ANO-2022-23.pdf

8 páginas

He publicado nuevos apuntes de 2º Macroeconomía II: MACRO-II-EJERCICIOS-T2.pdf

1 página

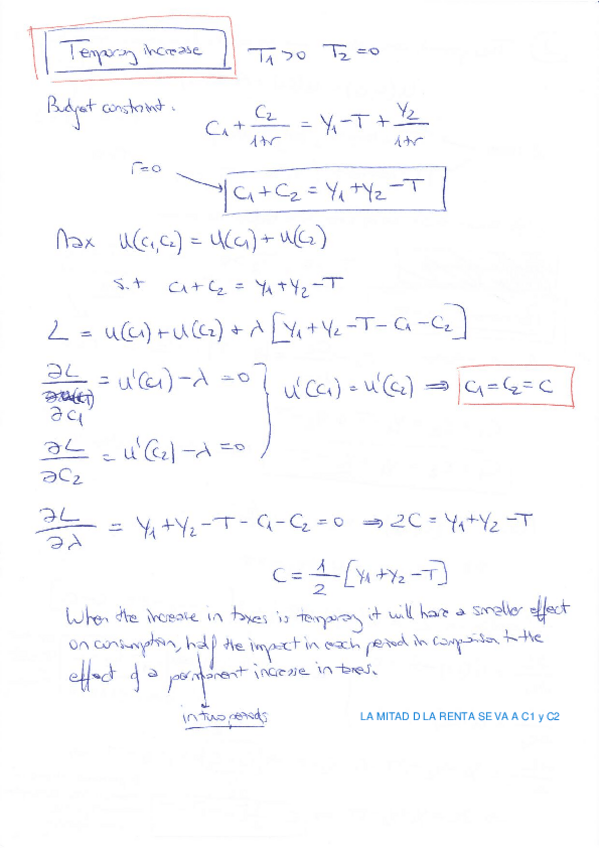
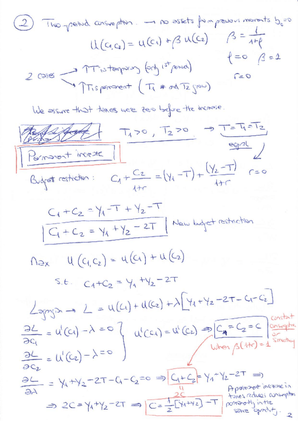
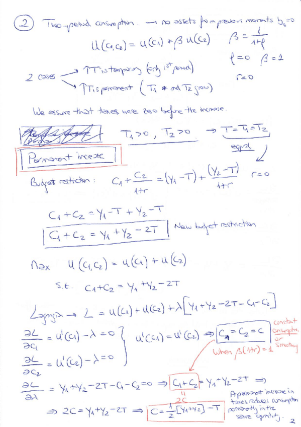
He publicado nuevos apuntes de 2º Macroeconomía II: LAGRANGIANO.pdf

5 páginas

He publicado nuevos apuntes de 2º Macroeconomía II: EJERs-T6-RESUELTO.pdf

49 páginas

He publicado nuevos examenes de 2º Macroeconomía II: examen-21-22solucionado.pdf

5 páginas

He publicado nuevos apuntes de 2º Macroeconomía II: Apuntes-Macroeconomia.pdf

24 páginas

He publicado nuevos apuntes de 2º Macroeconomía II: MACRO-II-TOPIC-6-ENI.pdf

12 páginas

He publicado nuevos apuntes de 2º Macroeconomía II: MACRO-II-TOPIC-5-ENI.pdf

8 páginas

He publicado nuevos apuntes de 2º Macroeconomía II: MACRO-II-TOPIC-4b-ENI.pdf

5 páginas
Anónimo

@Anónimo

test

-

Tests (inglés)

He publicado nuevos test de 2º Macroeconomía II: Tests (inglés)

Test-Consumption.pdf
Test-expectations-basic-tools.pdf
Test-financial-markets-and-expectations.pdf
Test-fiscal-policy-and-high-inflation.pdf
Test-IS-LM-with-expectations.pdf
Test-long-run-growth.pdf

He publicado nuevos apuntes de 2º Macroeconomía II: Topic-4.2.-Microeconomic-foundations-of-Investment.pdf

8 páginas

He publicado nuevos apuntes de 2º Macroeconomía II: Tema-4a-CONSUMO.pdf

8 páginas

apuntes

-

Ejers 23-24 resueltos

He publicado nuevos apuntes de 2º Macroeconomía II: Ejers 23-24 resueltos

EJERCICIOS-TEMA-2-RESUELTO.pdf
EJERCICIOS-TEMA-3-RESUELTO.pdf
EJERCICIOS-TEMA-4-RESUELTO-LAGRANGIANO-EJERCICIOS-2-Y-3.pdf

He publicado nuevos apuntes de 2º Macroeconomía II: TEST-T1-4.pdf

118 páginas