Todo
Apuntes
Preguntas
Ejercicios
Exámenes
Prácticas
publication
Test
chevron_left
chevron_right

Preguntas de la ordinaria y de los parciales.

17 páginas

examenes

-

Material exámenes

He publicado nuevos examenes de 3º Macroeconomía Iii: Material exámenes

Examenes-segundo-parcial.pdf
Ejercicios-tipo-examen-parcial-II.pdf
Ejercicios-tipo-examen-primer-parcial.pdf

He publicado nuevos practicas de 3º Macroeconomía Iii: Explicaciones-de-practicas-macro-III-con-solver.pdf

8 páginas

He publicado nuevos ejercicios de 3º Macroeconomía Iii: Relacion-de-ejercicios-T2-y-T3-macro-III.pdf

32 páginas

apuntes

-

Resúmenes todos los temas

He publicado nuevos apuntes de 3º Macroeconomía Iii: Resúmenes todos los temas

Tema-5-macro-III-resumen.pdf
Tema-6-macro-III-resumen.pdf
Resumen-macro-III-tema-1.pdf
Resumen-tema-2-macro-III.pdf
Tema-3-macro-III-resumen.pdf
Tema-7-macro-III-resumen.pdf

apuntes

-

Esquemas parciales

He publicado nuevos apuntes de 3º Macroeconomía Iii: Esquemas parciales

Esquema-primer-parcial-macro-III.pdf
Esquema-2-parcial-macro-III.pdf

apuntes

-

temas macro completos

He publicado nuevos apuntes de 3º Macroeconomía Iii: temas macro completos

Tema-4-parte-3.pdf
TEMA-1-curva-de-demanda-agregada.pdf
TEMA-2-mercado-de-trabajo.pdf
TEMA-4-parte-1.pdf
TEMA-3-CONSUMO-OCIO.pdf

He publicado nuevos apuntes de 3º Macroeconomía Iii: Apuntes-parcial-1.pdf

5 páginas

ejercicios

-

ejercicios

He publicado nuevos ejercicios de 3º Macroeconomía Iii: ejercicios

Ejercicios-T2.pdf
EjerciciosT3.pdf
EjerciciosT4.pdf

He publicado nuevos apuntes de 3º Macroeconomía Iii: estado-estacionario-y-regla-de-oro.pdf

1 página

He publicado nuevos apuntes de 3º Macroeconomía Iii: tema-4-sector-publico.pdf

4 páginas

He publicado nuevos apuntes de 3º Macroeconomía Iii: resumen-esquema-primer-parcial.pdf

3 páginas

apuntes

-

temas 2-6

temas en pdf para completar con los desarrollos hechos en clase

TEMA-3.pdf
TEMA-5.-EMPRESAS.pdf
TEMA-6.-EQUILIBRIO-GENERAL-DINAMICO.pdf

apuntes

-

Segundo parcial

He publicado nuevos apuntes de 3º Macroeconomía Iii: Segundo parcial

Teoria-tema-5.pdf
Relacion-Ejercicios-5.pdf
Teoria-tema-6.pdf
Teoria-tema-7.pdf

apuntes

-

Primer parcial

He publicado nuevos apuntes de 3º Macroeconomía Iii: Primer parcial

Teoria-tema-4.pdf
Ejercicios-Adicionales-2.pdf
Relacion-ejercicios-clase-2.pdf
Teoria-tema-2.pdf
Preguntas-primer-parcial.pdf

He publicado nuevos apuntes de 3º Macroeconomía Iii: Formulario-1.pdf

7 páginas

He publicado nuevos apuntes de 3º Macroeconomía Iii: Formulario-2.pdf

5 páginas

He publicado nuevos apuntes de 3º Macroeconomía Iii: tema-1-introduccion.pdf

3 páginas

apuntes

-

EXAMENES

He publicado nuevos apuntes de 3º Macroeconomía Iii: EXAMENES

APUNTES-EXAMEN-MUY-RESUMIDO.pdf
EJERCICIOS-DE-EXAMEN.pdf
EXAMENES.pdf
PARCIALES-2024.pdf
PRACTICA-B1250129000823-1.pdf

apuntes

-

FORMULARIO

He publicado nuevos apuntes de 3º Macroeconomía Iii: FORMULARIO

FORMULARIO-BLOQUE-2.pdf
FORMULARIO-COMPLETO.pdf
REPASO-RAPIDO.pdf

apuntes

-

APUNTES COMPLETOS

He publicado nuevos apuntes de 3º Macroeconomía Iii: APUNTES COMPLETOS

TEMA-1241030172609-2.pdf
TEMA-3.pdf
TEMA-4.pdf
TEMA-6.pdf
TEMA-7.pdf
TEMA-2.pdf

EJERCICIOS

5 páginas

He publicado nuevos ejercicios de 3º Macroeconomía Iii: RELACION-TEMA-2.pdf

9 páginas

He publicado nuevos examenes de 3º Macroeconomía Iii: PARCIAL-BLOQUE-1.pdf

4 páginas

apuntes

-

TEORIA

He publicado nuevos apuntes de 3º Macroeconomía Iii: TEORIA

RESUMEN-PRIMER-PARCIAL.pdf
TEMA-7.pdf
TEORIA-BLOQUE-1.pdf
TEORIA-TEMA-6.pdf
TEMA-3.pdf
TEMA-4.pdf

He publicado nuevos apuntes de 3º Macroeconomía Iii: formulario-examen.pdf

2 páginas

He publicado nuevos apuntes de 3º Macroeconomía Iii: TEST-SEGUNDO-PARCIAL.pdf

18 páginas

He publicado nuevos test de 3º Macroeconomía Iii: test-Primer-parcial.pdf

9 páginas

He publicado nuevos examenes de 3º Macroeconomía Iii: Segundo-Parcial-2024.pdf

4 páginas

He publicado nuevos apuntes de 3º Macroeconomía Iii: Formulario-Bloque-I-y-II.pdf

3 páginas

He publicado nuevos apuntes de 3º Macroeconomía Iii: Formulario-bloque-2.pdf

2 páginas

apuntes

-

FORMULARIOS. TODO LO QUE NECESITAS.

Actualizado al temario de 2024

MACRO-III.FORMULARIO-BLOQUE-1.pdf
MACRO-III.FORMULARIO-BLOQUE-2.pdf

apuntes de clase + diapositivas corregidas

2 páginas

apuntes de clase + diapositivas corregidas

4 páginas

apuntes de clase + diapositivas corregidas

7 páginas

He publicado nuevos examenes de 3º Macroeconomía Iii: parcial-II-Macro-III.pdf

2 páginas

Soluciones y explicaciones de cada pregunta al final (saqué un 10).

7 páginas

He publicado nuevos apuntes de 3º Macroeconomía Iii: Formulario-Primer-Parcial.pdf

1 página
Anónimo

@Anónimo

He publicado nuevos apuntes de 3º Macroeconomía Iii: Macro-3-english-key-concepts.pdf

5 páginas

He publicado nuevos apuntes de 3º Macroeconomía Iii: TEMA-1-MA3.pdf

9 páginas

He publicado nuevos examenes de 3º Macroeconomía Iii: Examn-extraord.-TEORIA-Y-PRACTICA.pdf

13 páginas

He publicado nuevos apuntes de 3º Macroeconomía Iii: 2o-Parcial-Macro-Grupo-D.pdf

5 páginas

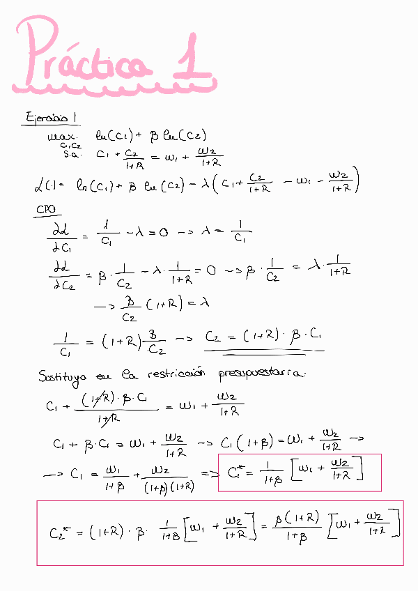
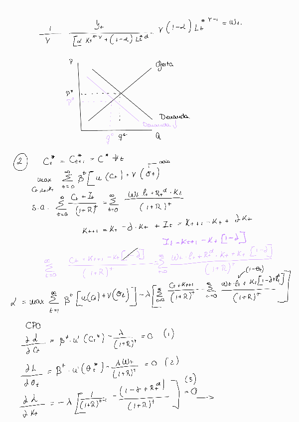
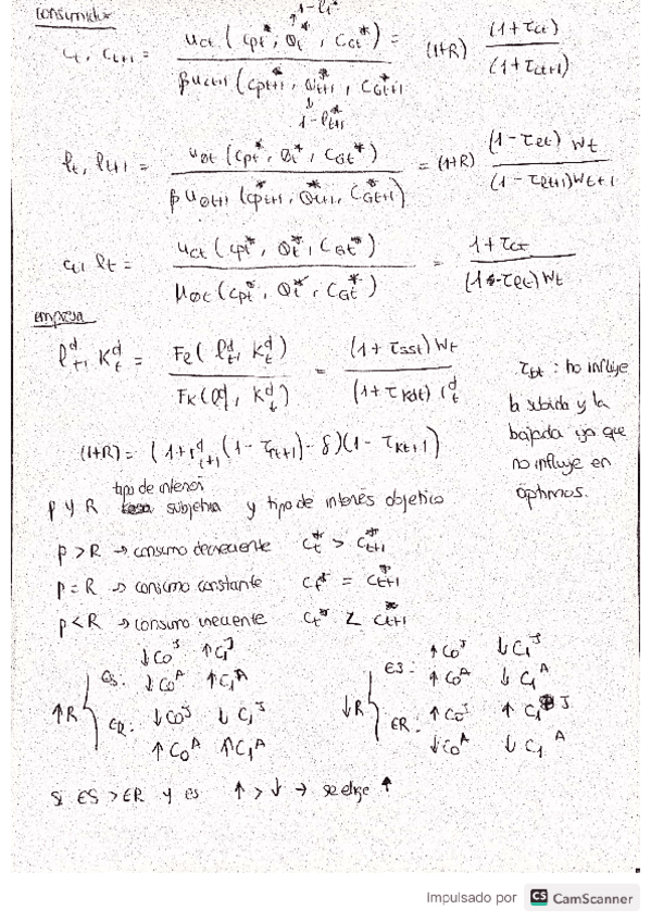
He publicado nuevos ejercicios de 3º Macroeconomía Iii: PRACTICA-1..pdf

8 páginas
Anónimo

@Anónimo

He publicado nuevos examenes de 3º Macroeconomía Iii: Segundo-Parcial-2023-Grupo-B.pdf

15 páginas
Anónimo

@Anónimo

He publicado nuevos examenes de 3º Macroeconomía Iii: Parcial-2-Macro3.pdf

12 páginas

He publicado nuevos examenes de 3º Macroeconomía Iii: 2DO-PARCIAL-CON-SOLUCIONES-2021.pdf

15 páginas

He publicado nuevos apuntes de 3º Macroeconomía Iii: Test-Bloque-2-Macro-3.pdf

17 páginas

He publicado nuevos apuntes de 3º Macroeconomía Iii: Test-T6-Ramsey.pdf

9 páginas

He publicado nuevos apuntes de 3º Macroeconomía Iii: Test-t5-Solow.pdf

9 páginas

He publicado nuevos apuntes de 3º Macroeconomía Iii: SEGUNDO-PARCIAL-RESUMEN.pdf

3 páginas

He publicado nuevos apuntes de 3º Macroeconomía Iii: Esquema-primer-parcial-Macro-3.pdf

4 páginas
Anónimo

@Anónimo

He publicado nuevos examenes de 3º Macroeconomía Iii: Primer-Parcial-2023-Temas-1-4-Resuelto.pdf

10 páginas
Anónimo

@Anónimo

He publicado nuevos examenes de 3º Macroeconomía Iii: Primer-Parcial-2023-Grupo-B.pdf

11 páginas

He publicado nuevos examenes de 3º Macroeconomía Iii: 1er-PARCIAL-MACRO-3-con-soluciones.pdf

22 páginas

He publicado nuevos test de 3º Macroeconomía Iii: Test-tema-6-RAMSEY.pdf

9 páginas

He publicado nuevos test de 3º Macroeconomía Iii: Tipo-test-resuelto-bloque-1-primer-parcial.pdf

2 páginas

He publicado nuevos apuntes de 3º Macroeconomía Iii: Ejercicios-tipo-examen-parcial-1.pdf

4 páginas

He publicado nuevos apuntes de 3º Macroeconomía Iii: CONCEPTOS-IMPORTANTES-PARCIAL-1.pdf

4 páginas

apuntes

-

TEMAS MACRO III

He publicado nuevos apuntes de 3º Macroeconomía Iii: TEMAS MACRO III

Tema-2.pdf
Tema-3.pdf
Tema-4-parte-1.pdf
Tema-4-parte-2.pdf

apuntes

-

Temario y ejs. resueltos MACRO3

He publicado nuevos apuntes de 3º Macroeconomía Iii: Temario y ejs. resueltos MACRO3

MACRO3-Ejs-Result-Tema-2-Rel-1.pdf
MACRO3-Tema-2.pdf
MACRO3-Tema-Repaso-e-Introduccion.pdf