Todo
Apuntes
chevron_left
chevron_right

apuntes

-

Ejercicios planteados

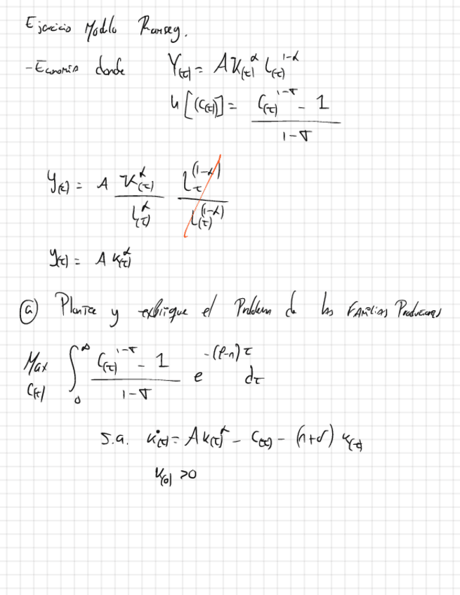
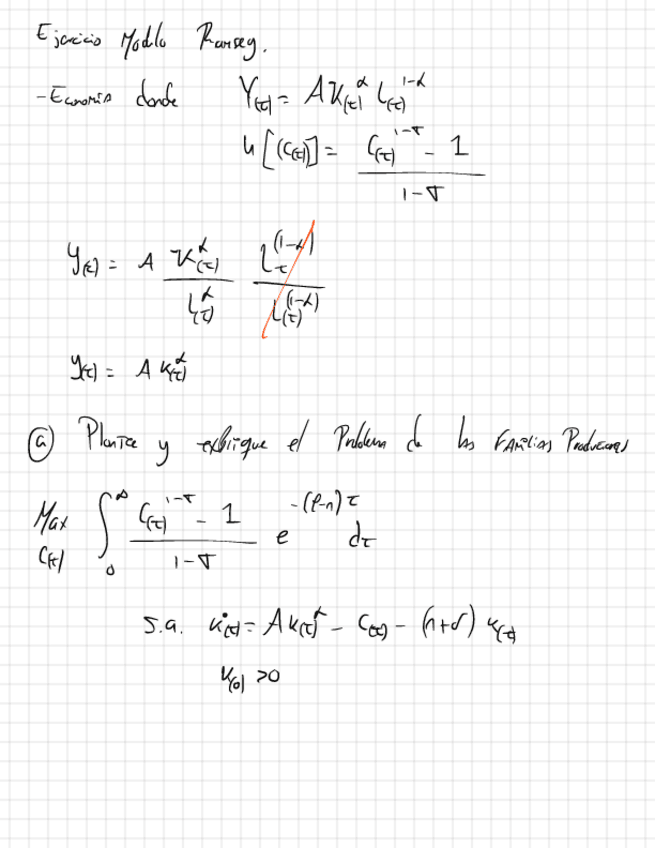
He publicado nuevos apuntes de 3º Macroeconomía Iii: Ejercicios planteados

GMa31920-Ejercicios-Tema-3Primera-coleccion-1.pdf
GMa31920-Ejercicios-Tema-3Segunda-coleccion-aprendizaje-con-la-practica.pdf
GMa31920-Ejercicios-resueltos-del-tema-4-def.pdf
GMa3Ejercicios-Tema-2-2017-18.pdf
Tema-1-modelo-de-solow-lista-de-problemas-1.pdf

He publicado nuevos apuntes de 3º Macroeconomía Iii: Practica-tarde.pdf

95 páginas

He publicado nuevos apuntes de 3º Macroeconomía Iii: Teoria-14.pdf

140 páginas