Todo
Apuntes
Ejercicios
Exámenes
Prácticas
publication
Test
chevron_left
chevron_right

He publicado nuevos apuntes de 3º Macroeconomía Iv: macro-4-formulas.pdf

5 páginas

He publicado nuevos examenes de 3º Macroeconomía Iv: MACROIV.-EXAMENES-RESUELTOS.pdf

12 páginas

He publicado nuevos ejercicios de 3º Macroeconomía Iv: Macro-IV.-Todas-las-relaciones-con-solucion.pdf

26 páginas

He publicado nuevos apuntes de 3º Macroeconomía Iv: MACROIV.-RESUMENES-TEMARIO-ENTERO.pdf

22 páginas
Anónimo

@Anónimo

Atajos para responder los test directamente sin estudiar .

8 páginas

He publicado nuevos apuntes de 3º Macroeconomía Iv: TEMAS-3-Y-4-MACRO-IV.pdf

5 páginas

He publicado nuevos examenes de 3º Macroeconomía Iv: ordinario.pdf

6 páginas

He publicado nuevos apuntes de 3º Macroeconomía Iv: Tema-1-RAMSEY.pdf

5 páginas

He publicado nuevos apuntes de 3º Macroeconomía Iv: Tema-1-SOLOW.pdf

4 páginas

He publicado nuevos apuntes de 3º Macroeconomía Iv: Tema-2-COMPLETO.pdf

13 páginas

He publicado nuevos apuntes de 3º Macroeconomía Iv: tema-2ejercicios.pdf

12 páginas

He publicado nuevos apuntes de 3º Macroeconomía Iv: TEMA-1+PRACTICA.pdf

9 páginas

He publicado nuevos practicas de 3º Macroeconomía Iv: TODAS-LAS-PRACTICAS-2024.pdf

25 páginas

He publicado nuevos apuntes de 3º Macroeconomía Iv: TEMA-4-APUNTES-DE-TEORIA.pdf

12 páginas

He publicado nuevos apuntes de 3º Macroeconomía Iv: TEMA-3-APUNTES-Y-TIPO-TEST.pdf

7 páginas

He publicado nuevos apuntes de 3º Macroeconomía Iv: TEMA-2-APUNTES-Y-EJERCICIOS.pdf

14 páginas

He publicado nuevos apuntes de 3º Macroeconomía Iv: TEMA-1-JULIAN-APUNTES-EJERCICIOS.pdf

21 páginas

He publicado nuevos apuntes de 3º Macroeconomía Iv: Resumen-Theory.pdf

12 páginas

He publicado nuevos examenes de 3º Macroeconomía Iv: Ejemploexamen-Julio2021.pdf

8 páginas

He publicado nuevos examenes de 3º Macroeconomía Iv: Exam-example-solutionsexplanations.pdf

7 páginas

He publicado nuevos ejercicios de 3º Macroeconomía Iv: Resumen-Practica.pdf

7 páginas

practicas

-

PROBLEM SETS

Multiple choice, analytical exercices and exam examples

Problem-Set-1.pdf
Problem-Set-2.pdf
Problem-set-3.pdf
Problem-set-4.pdf

He publicado nuevos apuntes de 3º Macroeconomía Iv: Formulario.pdf

6 páginas

Apuntes Macro iv

Tenéis los apuntes de todos los temas de Macroeconomía 4 (Lorenzo Ductor - grupo inglés) en mi perfil.

apuntes

-

APUNTES MA4

He publicado nuevos apuntes de 3º Macroeconomía Iv: APUNTES MA4

TOPIC-0-Introduction.pdf
TOPIC-1-Exogenous-growth-models.pdf
TOPIC-2-Endogenous-growth-models.pdf
TOPIC-3-Fiscal-deficit-financing.pdf
TOPIC-4-Inflation-and-monetary-policy.pdf
Anónimo

@Anónimo

He publicado nuevos examenes de 3º Macroeconomía Iv: Examensoluciones.pdf

6 páginas

He publicado nuevos examenes de 3º Macroeconomía Iv: examen-ejemplo-ejercicio-analitico-macroIV.pdf

5 páginas
Anónimo

@Anónimo

He publicado nuevos examenes de 3º Macroeconomía Iv: Examen-MACRO-IVejemplo2024.pdf

3 páginas

He publicado nuevos apuntes de 3º Macroeconomía Iv: TEMA-4Politica-Monetaria-e-Inflacion.pdf

12 páginas

He publicado nuevos apuntes de 3º Macroeconomía Iv: TEMA-3-Deficits-Publicos.pdf

5 páginas

ejercicios

-

PRÁCTICA 2_Analíticos_Tipotest

He publicado nuevos ejercicios de 3º Macroeconomía Iv: PRÁCTICA 2_Analíticos_Tipotest

PRACTICA-2AnaliticosTipoTest.pdf
ENUNCIADOS-Practica-2-Crecimiento-endogeno-curso-23-24.pdf

He publicado nuevos apuntes de 3º Macroeconomía Iv: TEMA-2-CREC-ENDOGENO.pdf

14 páginas

ejercicios

-

PRÁCTICA 1_Analíticos_Tipotest

He publicado nuevos ejercicios de 3º Macroeconomía Iv: PRÁCTICA 1_Analíticos_Tipotest

SOLUCION-PRACTICA-1-Analiticos-y-Tipotest.pdf
ENUNCIADOS-Practica-1-Crecimiento-exogeno.pdf

La intro siempre cae en examen

18 páginas

He publicado nuevos practicas de 3º Macroeconomía Iv: Practica-3-con-explications.pdf

6 páginas

Apuntes

Hola, tienes los apuntes del tema 2 y 3 de macro 4 de Julián?

He publicado nuevos practicas de 3º Macroeconomía Iv: Practica-2-ejercicios-analíticos.pdf

3 páginas

He publicado nuevos practicas de 3º Macroeconomía Iv: Practica-2-con-explications.pdf

2 páginas

He publicado nuevos apuntes de 3º Macroeconomía Iv: Practica-3-Deficit.pdf

4 páginas

He publicado nuevos apuntes de 3º Macroeconomía Iv: Practica-2-Crecimiento-endogeno.pdf

4 páginas

He publicado nuevos apuntes de 3º Macroeconomía Iv: Practica-1-Crecimiento-exogeno.pdf

3 páginas

apuntes

-

Apuntes macro IV

He publicado nuevos apuntes de 3º Macroeconomía Iv: Apuntes macro IV

Tema-1.pdf
Tema-1-pt-2.pdf

He publicado nuevos apuntes de 3º Macroeconomía Iv: Practica-1-crecimiento-exogeno Resuelta.pdf

4 páginas

He publicado nuevos apuntes de 3º Macroeconomía Iv: Tema-1-Solow-y-Ramsey.pdf

5 páginas

He publicado nuevos apuntes de 3º Macroeconomía Iv: Tema-4-Teorias-modernas-de-la-politica-economica.pdf

15 páginas

He publicado nuevos apuntes de 3º Macroeconomía Iv: Tema-3-La-financiacion-de-los-deficits-publicos.pdf

11 páginas

He publicado nuevos apuntes de 3º Macroeconomía Iv: Como-hacer-ejercicios-temas-4-5-6.pdf

3 páginas

ejercicios

-

Analíticos Examen Final Temas 4, 5 y 6

He publicado nuevos ejercicios de 3º Macroeconomía Iv: Analíticos Examen Final Temas 4, 5 y 6

Analiticos-Examen-Tema-4.pdf
Analiticos-Examen-Tema-5.pdf
Analiticos-Examen-Tema-6.pdf

ejercicios

-

Modelos de Crecimiento Endógeno resueltos examen

He publicado nuevos ejercicios de 3º Macroeconomía Iv: Modelos de Crecimiento Endógeno resueltos examen

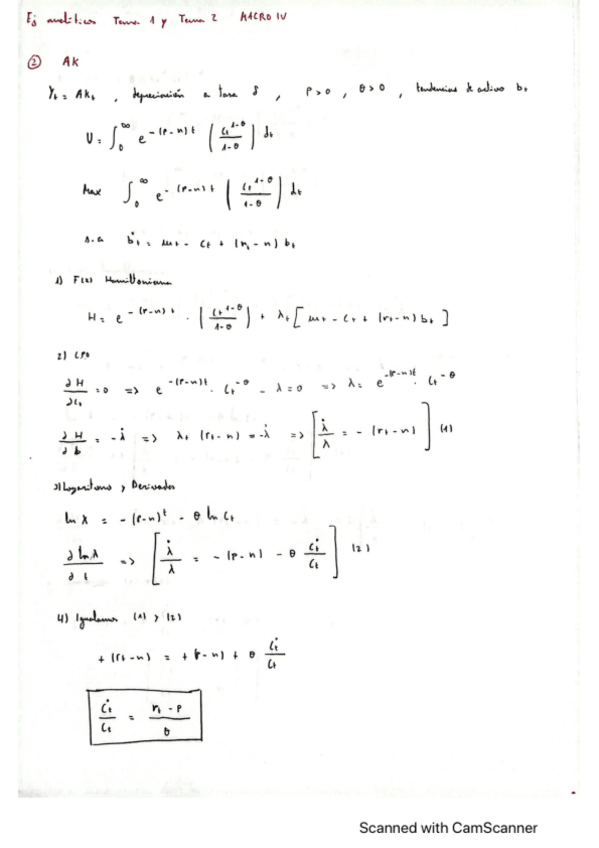
Modelo-Rebelo-AK.pdf
Modelo-Sobelow.pdf
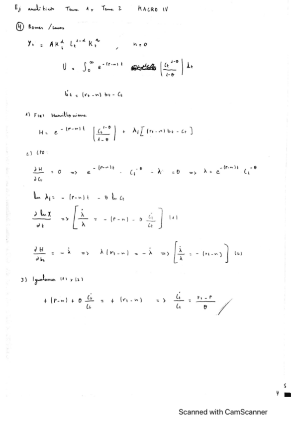
Modelo-de-Romer-Lucas.pdf
Modelo-de-Barro.pdf
Anónimo

@Anónimo

He publicado nuevos examenes de 3º Macroeconomía Iv: Tipo-test-2020--Julio-2021-resuelto.pdf

13 páginas

He publicado nuevos apuntes de 3º Macroeconomía Iv: Ejercicios-analiticos-macro-4.pdf

17 páginas

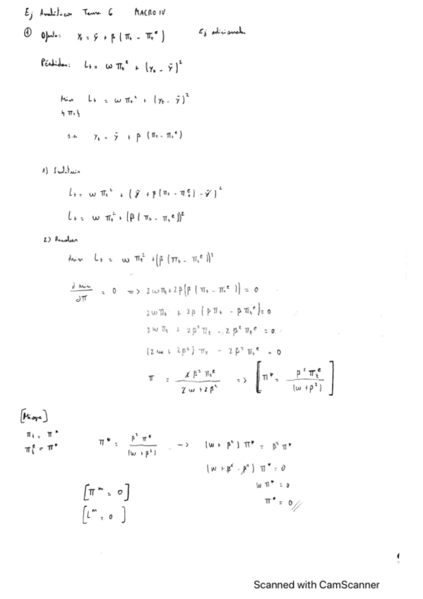
He publicado nuevos apuntes de 3º Macroeconomía Iv: Relacion-6-macro-4.pdf

3 páginas

He publicado nuevos apuntes de 3º Macroeconomía Iv: Relacion-5-macro-4.pdf

4 páginas

He publicado nuevos apuntes de 3º Macroeconomía Iv: relacion-4-macro-4.pdf

2 páginas

He publicado nuevos apuntes de 3º Macroeconomía Iv: relacion-3-macro-4.pdf

3 páginas

He publicado nuevos apuntes de 3º Macroeconomía Iv: relacion-2-macro-4.pdf

3 páginas

He publicado nuevos apuntes de 3º Macroeconomía Iv: tema-3-macro-4.pdf

11 páginas

He publicado nuevos apuntes de 3º Macroeconomía Iv: tema-2-macro-4.pdf

10 páginas

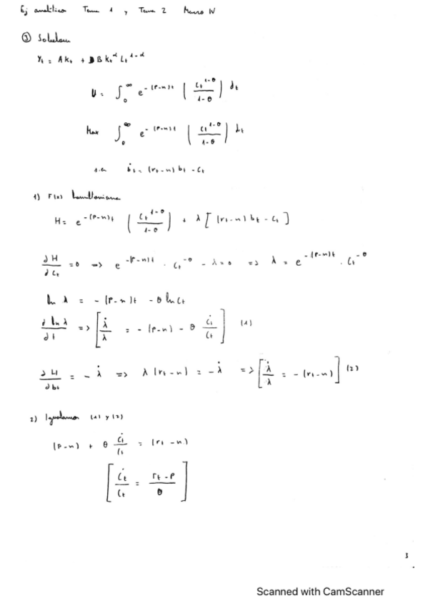
He publicado nuevos apuntes de 3º Macroeconomía Iv: relacion-1-macro-4.pdf

6 páginas

He publicado nuevos apuntes de 3º Macroeconomía Iv: tema-1-macro-4.pdf

14 páginas