Portada
Asignatura
Grado en Administración y Dirección de Empresas (UM)
Macroeconomía
Fecha de subida
13 nov 2025
Categoría
ejercicios
Información
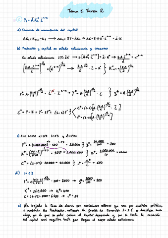
Ejercicio 2, tema 2, paso a paso.
Etiquetas
Exámenes - IMG-20200102-WA0042.pdf
pdf
1 página
242
4
Exámenes - IMG-20200102-WA0041.pdf
276
2
Exámenes - IMG-20200102-WA0043.pdf
252
Apuntes - resumenes-todos-los-temas.pdf
8 páginas
253
1
Exámenes - Parcial-G5.pdf
174
Prácticas - Practicas-Macro-Temas-del-2-4.pdf
37 páginas
138
Apuntes - 1-TemaameModelo-De-Solow-Explicado-Paso-A-Paso-T.pdf
4 páginas
70
3
Ejercicios - Listado-Tema-4-Resoluciones.pdf
0 páginas
159
Exámenes - IMG-20180115-WA0005.jpg
jpg
46
Exámenes - ex-20-06-2022.pdf
14 páginas
92
Apuntes - IMG20200107112805.pdf
142
0
Exámenes - examen-enero-2017-macroeconomia-uni.pdf
111
Apuntes - Apuntes-Todo-Macro.pdf
12 páginas
99
Prácticas - IMG_20190201_112249.jpg
53
Apuntes - Examen-macro-enero.pdf
7 páginas
107
6
Apuntes - IMG20200107112824.pdf
Prácticas - Tema-1-Tarea-2.pdf
10 páginas
94
5
Ejercicios - practicas-tema-3.pdf
100
Exámenes - ex-10-01-2022.pdf
16 páginas
77
Ejercicios - Tarea-2-Soluciones-Ejercicios-1-y-2.pdf
103
Información
Ejercicio 2, tema 2, paso a paso.