chevron_left
chevron_right
Todo
Apuntes
Ejercicios
Exámenes
chevron_left
chevron_right

apuntes

-

Ariketak ebatzita

He publicado nuevos apuntes de 3º Macroeconomía: Ariketak ebatzita

Ariketak-1.pdf
Ariketak-2.pdf
Ariketak-3.1.pdf

apuntes

-

Apunteak euskera

He publicado nuevos apuntes de 3º Macroeconomía: Apunteak euskera

2-kapitulua.pdf
3-kapitulua.pdf
4-kapitulua.pdf
5-kapitulua.pdf
6.-kapitulua.pdf
7-kapitulua.pdf

He publicado nuevos apuntes de 3º Macroeconomía: APUNTES-MAKRO.pdf

43 páginas

He publicado nuevos ejercicios de 3º Macroeconomía: T-2-Ej.pdf

5 páginas

He publicado nuevos ejercicios de 3º Macroeconomía: T-1-Ej-Libro.pdf

4 páginas

Segunda parte de los apuntes. La primera parte tambien esta subida.

88 páginas

Primera parte de los apuntes, la la segunda parte tambien la he subido

90 páginas

Examen final macro 2025 upv sarriko corregido

8 páginas

apuntes

-

examenes

He publicado nuevos apuntes de 3º Macroeconomía: examenes

MAKRO-Urtarrilak-20241.pdf
MACRO-2024-ekaina-azkena.pdf

He publicado nuevos examenes de 3º Macroeconomía: EXAMENES-MACRO-201820192020.pdf

39 páginas

He publicado nuevos apuntes de 3º Macroeconomía: Teoria-y-ejercicios.pdf

38 páginas

He publicado nuevos ejercicios de 3º Macroeconomía: Autoebaluazioa-2-gaia.pdf

6 páginas

He publicado nuevos ejercicios de 3º Macroeconomía: Autoebaluazioa-1-gaia.pdf

10 páginas

He publicado nuevos examenes de 3º Macroeconomía: 2022-Ekaina.pdf

8 páginas

He publicado nuevos examenes de 3º Macroeconomía: EXAMENES-MAKRO-1.pdf

58 páginas

apuntes

-

MAKROEKONOMIA

He publicado nuevos apuntes de 3º Macroeconomía: MAKROEKONOMIA

1.GAIA-MA.pdf
2.GAIA-MA.pdf
3.-GAIA-MA.pdf
4.-GAIA-MK-1.pdf
3.-GAIA-II-MK.pdf
5.-GAIA-MK.pdf

He publicado nuevos examenes de 3º Macroeconomía: Final-Junio-2018.Soluciones-numericas.pdf

4 páginas

He publicado nuevos examenes de 3º Macroeconomía: Final-Enero-2019.-Soluciones-numericas.pdf

3 páginas

He publicado nuevos examenes de 3º Macroeconomía: Final-Enero-2018.Soluciones-numericas.pdf

3 páginas

He publicado nuevos examenes de 3º Macroeconomía: Ejercicios-de-examenes.pdf

5 páginas

apuntes

-

7.gaia 22-23

He publicado nuevos apuntes de 3º Macroeconomía: 7.gaia 22-23

7.gaia.Hazkundea-Ariketak.pdf
7.gaia.hazkundeatest.pdf
Blanchardmacro7ePPT10-Hazkunde-ekonomikoa.pdf
Blanchardmacro7ePPT11-Aurrezkia-kapital-metaketa-eta-produkzioa.pdf

apuntes

-

6.gaia 22-23

He publicado nuevos apuntes de 3º Macroeconomía: 6.gaia 22-23

6.gaia.Ariketak-IS-LM-PC.pdf
6.gaia.Liburukoariketak.pdf
6gaiatest.pdf
be2203-it.pdf
Blanchardmacro7ePPT09-IS-LM-PC.pdf
Inflazio-adibideak.pdf

apuntes

-

5.gaia 22-23

He publicado nuevos apuntes de 3º Macroeconomía: 5.gaia 22-23

5.gaia.-Phillips-kurba-ariketak.pdf
5gaia.Liburukoariketak.pdf
5gaiatest.pdf
Blanchardmacro7ePPT08-Phillips-kurba-1.pdf
Phillips-kurba-oharrak.pdf

apuntes

-

4.gaia 22-23

He publicado nuevos apuntes de 3º Macroeconomía: 4.gaia 22-23

4.gaia.Ariketa-berriae.pdf
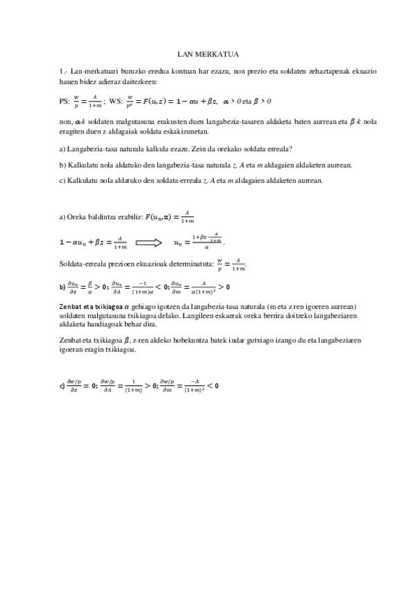
4.gaia.Ariketak-lan-merkatua.pdf
4.gaia.epe-laburra-ertaina-1.pdf
4gaia.-Langabezia-tasaren-aldaketak.pdf
4gaiatest.pdf
Blanchardmacro7ePPT07-Lan-merkatua-1.pdf

apuntes

-

3.gaia 22-23

He publicado nuevos apuntes de 3º Macroeconomía: 3.gaia 22-23

3.gaiatest.Hedatua.pdf
3gaia.-ISLMhedatua.pdf
3gaia.ISLM-ariketa-gehigarriak.pdf
3gaia-Liburukoariketak.pdf
3gaiatest.pdf
azken-ariketa-grafikoekin-1.pdf

apuntes

-

2gaia 22-23

He publicado nuevos apuntes de 3º Macroeconomía: 2gaia 22-23

2gaia.Liburukoariketak-2021-22.pdf
2gaia.Liburukoariketak-2021-22-eginda.pdf
2gaiatest.pdf
finantza-merkatuak-berregiten1.pdf

apuntes

-

1gaia 22-23

He publicado nuevos apuntes de 3º Macroeconomía: 1gaia 22-23

1gaia-ariketak.pdf
1gaia-liburukoariketak.pdf
1gaiatest.pdf
Blanchardmakro7ePPT02-Sarrera.pdf
Mintegia1.pdf
Ondasunen-merkatua.-Oreka-kalkulatzen.pdf

examenes

-

azterketak 18-21

He publicado nuevos examenes de 3º Macroeconomía: azterketak 18-21

18EKAINA.pdf
18URTARRILA.pdf
19EKAINA.pdf
19OTSAILA.pdf
20URTARRILA.pdf
21EKAINA.pdf

He publicado nuevos apuntes de 3º Macroeconomía: MACRO-apuntes.pdf

97 páginas
Anónimo

@Anónimo

He publicado nuevos examenes de 3º Macroeconomía: Junio-2018.pdf

9 páginas
Anónimo

@Anónimo

He publicado nuevos examenes de 3º Macroeconomía: Enero-2021.pdf

8 páginas
Anónimo

@Anónimo

He publicado nuevos examenes de 3º Macroeconomía: Enero-2019.pdf

8 páginas
Anónimo

@Anónimo

He publicado nuevos examenes de 3º Macroeconomía: Enero-2018.pdf

10 páginas
Anónimo

@Anónimo

apuntes

-

MACROECONOMIA 3º ADE (2021-22-23)

He publicado nuevos apuntes de 3º Macroeconomía: MACROECONOMIA 3º ADE (2021-22-23)

TEORIA-MACROECONOMIA-3oADE.pdf
ESQUEMA-TEORIA-MACROECONOMIA-3oADE.pdf
SOLUCION-TEST-MACROECONOMIA-3o-ADE.pdf

He publicado nuevos apuntes de 3º Macroeconomía: MAKROEKONOMIA-APUNTEAK.pdf

8 páginas

He publicado nuevos apuntes de 3º Macroeconomía: macroeconomia-tema-2.pdf

7 páginas

He publicado nuevos apuntes de 3º Macroeconomía: TEMA-1-MACROECONOMIA-3o-SARRIKO.pdf

12 páginas
Anónimo

@Anónimo

apuntes

-

Exercices

He publicado nuevos apuntes de 3º Macroeconomía: Exercices

3-Problems-4-2.pdf
3-Problems-4-1.pdf
4-MORE-EXERCISES-TOPIC3.pdf
3-ProblemsTopic7eGela.pdf
exercices-1.pdf
problemsTopic9.pdf
Anónimo

@Anónimo

apuntes

-

Key concepts

He publicado nuevos apuntes de 3º Macroeconomía: Key concepts

Key-concept-1.pdf
Key-concept-2.pdf
Key-concept-3.pdf

He publicado nuevos examenes de 3º Macroeconomía: Final-Enero-2019.pdf

3 páginas

apuntes

-

Tema 4 (4.2) + ejercicios (cast 19/20)

He publicado nuevos apuntes de 3º Macroeconomía: Tema 4 (4.2) + ejercicios (cast 19/20)

42MankiwMacro8Cap9CREC-IIcorto.pdf
EnunciadosTema42LibroTextoNoTodos.pdf
Tema42ProblemasEgela.pdf
EjerciciosTema42.pdf
SolucionProblema3Tema42LibroTexto.pdf
testrespuestas42.pdf

apuntes

-

Tema 4 (4.1) + ejercicios (cast 19/20)

He publicado nuevos apuntes de 3º Macroeconomía: Tema 4 (4.1) + ejercicios (cast 19/20)

Tema41ProblemasEgela.pdf
41MankiwMacro8Cap8CREC-I.pdf
SolucionProblema3Tema41LibroTexto.pdf
EjerciciosTema41.pdf
SolucionProblema5Tema41LibroTexto.pdf
testrespuestas41.pdf

apuntes

-

Tema 3 + ejercicios (cast 19/20)

He publicado nuevos apuntes de 3º Macroeconomía: Tema 3 + ejercicios (cast 19/20)

Tarea-voluntaria-Tema-3.pdf
EjerciciosTema3.pdf
solucionejercico4dellibro.pdf
3MankiwMacro8Cap3.pdf
testrespuestastema3.pdf
ProblemasTipoTest-Tema3.pdf

apuntes

-

Tema 2 + ejer + doc. extra (cast 19/20)

He publicado nuevos apuntes de 3º Macroeconomía: Tema 2 + ejer + doc. extra (cast 19/20)

NotaPrensaIPC.pdf
NotaPrensaContabilidadNacional.pdf
EjerciciosTemas1-2.pdf
testrespuestastemas1-2.pdf
NotaPrensaEPA.pdf
ProblemasT1T2.pdf

He publicado nuevos apuntes de 3º Macroeconomía: 1MankiwMacro8Cap1.pdf

27 páginas

apuntes

-

Examenes y Ejercicios 19/20

He publicado nuevos apuntes de 3º Macroeconomía: Examenes y Ejercicios 19/20

PropuestaFinalEnero2019egelasol.pdf
Parcial2019-2020.pdf
ExamenParcialNov2019-CON-Respuestas.pdf

examenes

-

Soluciones exámenes años anteriores

He publicado nuevos examenes de 3º Macroeconomía: Soluciones exámenes años anteriores

Final-Enero-2018.pdf
Final-Junio-2018.pdf
Final-Enero-2019.pdf

He publicado nuevos examenes de 3º Macroeconomía: Preguntas-Examenes-anteriores.pdf

5 páginas

apuntes

-

Resúmenes de la Asignatura

He publicado nuevos apuntes de 3º Macroeconomía: Resúmenes de la Asignatura

Tema-2-La-economia-en-el-largo-plazo.pdf
Tema-4-II-Transicion-del-modelo-IS-LM-del-corto-plazo-al-largo-plazo.pdf
Tema-4-I-La-demanda-agregada.pdf
Tema-6-I-La-oferta-agregada.pdf
Tema-4-III-La-deuda-publica.pdf
Tema-5-II-El-modelo-Mundell-Fleming.pdf
¡Estás al día!

¡Estás al día!

Has visto todos los archivos