chevron_left
chevron_right
Todo
Apuntes
Ejercicios
Exámenes
Prácticas
chevron_left
chevron_right

ejercicios

-

Modelo de Solow y Romer

He publicado nuevos ejercicios de 3º Macroeconomía: Modelo de Solow y Romer

Miniatura no disponible
Tema-1.-Modelo-de-Romer
Miniatura no disponible
Tema-1.-Modelo-de-Solow

He publicado nuevos apuntes de 3º Macroeconomía: MACROECONOMICS.pdf

16 páginas

He publicado nuevos apuntes de 3º Macroeconomía: Apuntes-macro.pdf

19 páginas

apuntes

-

TEORÍA

He publicado nuevos apuntes de 3º Macroeconomía: TEORÍA

TEMA-1-prt1.pdf
TEMA-1-prt2.pdf
TEMA-2.pdf
TEMA-3.pdf
TEMA-4.pdf

examenes

-

Exámenes Corregidos Macroeconomía

5 Exámenes CORREGIDOS de Desarrollo Teórico + Índice de Contenidos

UMADEexamenB3.pdf
UMADEexamenB4.pdf
UMADEexamenB5.pdf
UMADEindiceB.pdf
UMADEexamenB1.pdf
UMADEexamenB2.pdf

ejercicios

-

Relación T4 (ej resueltos)

He publicado nuevos ejercicios de 3º Macroeconomía: Relación T4 (ej resueltos)

Relacion-enunciado-T4.pdf
Relacion-resuelta-T4-ej-2.4-3.1-4.2-5.3-5.4.pdf
Relacion-resuelta-t4-ej-7-8-y-10.pdf

He publicado nuevos apuntes de 3º Macroeconomía: Formulario-Tema-4-Macroeconomia.pdf

Miniatura no disponible
pdf

He publicado nuevos apuntes de 3º Macroeconomía: Formulario-Tema-2-Macroeconomia.pdf

3 páginas

He publicado nuevos apuntes de 3º Macroeconomía: Formulario-Tema-3-Macroeconomia.pdf

2 páginas

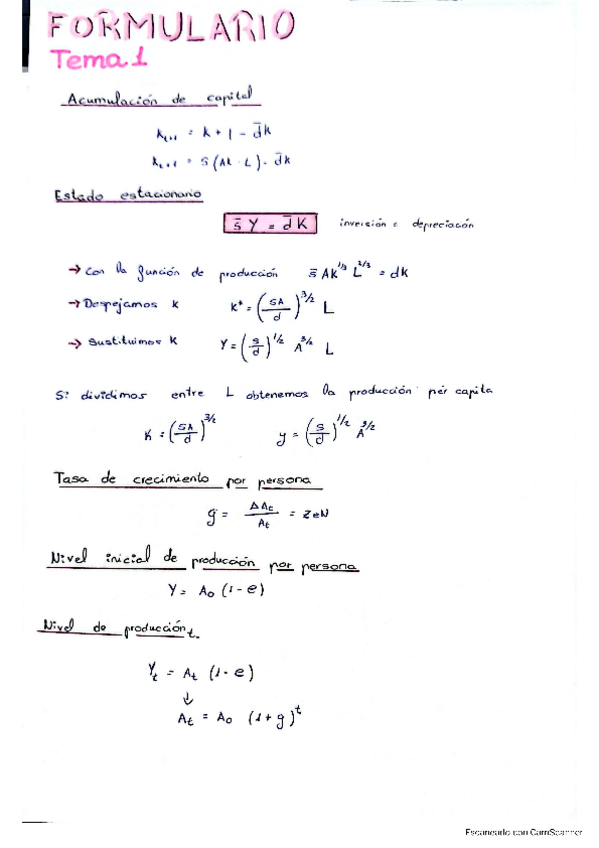
He publicado nuevos apuntes de 3º Macroeconomía: Formulario-Tema-1-Macroeconomia.pdf

2 páginas

ejercicios

-

Relación T3 (ej resueltos)

He publicado nuevos ejercicios de 3º Macroeconomía: Relación T3 (ej resueltos)

Relacion-enunciado-T3.pdf
Relacion-resuelta-T3-ej-2346710.pdf

apuntes

-

Macroeconomía

He publicado nuevos apuntes de 3º Macroeconomía: Macroeconomía

Tema-1-Macro.pdf
Tema-2.pdf

ejercicios

-

Relación T2 (ej resueltos)

He publicado nuevos ejercicios de 3º Macroeconomía: Relación T2 (ej resueltos)

relacion-enunciado-T2.pdf
Relacion-resuelta-T2-ej-1,2-y6.pdf.pdf
Relacion-resuelta-T2-ej-5-y7.pdf

Ejercicio 5, tema 2 macroeconomía

2 páginas

Ejercicio 4, tema 2.

1 página

Ejercicio 3. Tema 2.

1 página

Ejercicio 2, tema 2, paso a paso.

1 página

Ejercicio 1, Tema 2 paso a paso

1 página

ejercicios

-

Tarea 1 (tema 2)

He publicado nuevos ejercicios de 3º Macroeconomía: Tarea 1 (tema 2)

tarea-1-tema-2-enunciado.pdf
tarea-1-tema-2-resuelta.pdf

He publicado nuevos ejercicios de 3º Macroeconomía: Solucion-Ejercicio-Basico-ISPMCP Macroeconomía.pdf

5 páginas

He publicado nuevos ejercicios de 3º Macroeconomía: Tarea-2-Modelo-De-Solow.pdf

4 páginas
Anónimo

@Anónimo

He publicado nuevos ejercicios de 3º Macroeconomía: Tarea-3-Modelo-Is-pm-cp.pdf

5 páginas

Teoría tema 2

word

apuntes

-

Prácticas Macro Tema 1

He publicado nuevos apuntes de 3º Macroeconomía: Prácticas Macro Tema 1

Tarea-3-Macro.pdf
Tarea-2-macro.pdf
Tarea-1-Macroeconomia.pdf
Tarea-4-Macro.pdf
Formulario-T-1.pdf

He publicado nuevos examenes de 3º Macroeconomía: EJERCICIO-REPASO-RESUELTO-DE-PARCIAL.pdf

7 páginas

He publicado nuevos ejercicios de 3º Macroeconomía: Tarea-4-T1.pdf

6 páginas

He publicado nuevos ejercicios de 3º Macroeconomía: Tarea-3-T1.pdf

7 páginas

He publicado nuevos ejercicios de 3º Macroeconomía: Solucion-Ejercicios-Tema-1 Macroeconomía.pdf

4 páginas

He publicado nuevos ejercicios de 3º Macroeconomía: Tarea-2-Tema-1-macroeconomia.pdf

3 páginas

He publicado nuevos apuntes de 3º Macroeconomía: Posible-Teoria-Parcial-Macro.pdf

4 páginas

He publicado nuevos apuntes de 3º Macroeconomía: Importante-Examen-Macro.pdf

7 páginas

ejercicios

-

Tarea 4 (tema 1)

He publicado nuevos ejercicios de 3º Macroeconomía: Tarea 4 (tema 1)

Tarea-4-tema-1-enunciado.pdf
ejercicio-6-y-8.pdf
Tarea-4-tema-1-ejercicios-1-5.pdf
Tarea-4-tema-1-ejercicio-7.pdf

examenes

-

EXAMENES + PARCIAL

He publicado nuevos examenes de 3º Macroeconomía: EXAMENES + PARCIAL

ejemplo-parcial.pdf
examen-enero-2019-prt-1.pdf
examen-enero-2019-prt-2.pdf
examen-enero-2022.pdf
examen-mayo-2019.pdf
examen-mayo-2022.pdf

He publicado nuevos apuntes de 3º Macroeconomía: Apuntes-Macro.pdf

8 páginas

ejercicios

-

Tarea 3 (tema 1)

He publicado nuevos ejercicios de 3º Macroeconomía: Tarea 3 (tema 1)

tarea-3-tema-1-enunciado.pdf
ejercicios2y3.pdf
ejercicio-6.pdf
Tarea-3-tema-1-ejercicio-1.pdf
Tarea-3-tema-1-ejercicio-4.pdf
Tarea-3-tema-1-ejercicio-5.pdf

ejercicios

-

Tarea 2 (tema 1)

corregido

tarea-2-tema-1-enunciado.pdf
Tarea-2-prt-2-tema-1.pdf
Tarea-2-prt1-tema-1.pdf

He publicado nuevos ejercicios de 3º Macroeconomía: Tarea-1.1 (tema 1).pdf

2 páginas

apuntes

-

Prácticas Macroeconomía

He publicado nuevos apuntes de 3º Macroeconomía: Prácticas Macroeconomía

Tarea-1-Macroeconomia.pdf
TAREA-1.1-Macroeconomia.pdf

He publicado nuevos apuntes de 3º Macroeconomía: Apuntes temario completo MACRO.pdf

187 páginas

He publicado nuevos apuntes de 3º Macroeconomía: Unit-3.pdf

4 páginas

He publicado nuevos apuntes de 3º Macroeconomía: Unit-4.pdf

3 páginas

He publicado nuevos apuntes de 3º Macroeconomía: Unit-2.pdf

6 páginas
Anónimo

@Anónimo

He publicado nuevos apuntes de 3º Macroeconomía: Resumen-tema-4.pdf

11 páginas
Anónimo

@Anónimo

He publicado nuevos apuntes de 3º Macroeconomía: Resumen-tema-3.pdf

19 páginas
Anónimo

@Anónimo

He publicado nuevos apuntes de 3º Macroeconomía: Resumen-tema-2.pdf

24 páginas
Anónimo

@Anónimo

He publicado nuevos apuntes de 3º Macroeconomía: Resumen-tema-1.pdf

31 páginas

He publicado nuevos examenes de 3º Macroeconomía: EXAMEN-PREPARATORIO-202425.pdf

64 páginas

apuntes

-

Tema 4 Macroeconomía ADEXCEL

He publicado nuevos apuntes de 3º Macroeconomía: Tema 4 Macroeconomía ADEXCEL

Tema-4-Macroeconomia.pdf

apuntes

-

Tema 3 Macroeconomía ADEXCEL

He publicado nuevos apuntes de 3º Macroeconomía: Tema 3 Macroeconomía ADEXCEL

Tema-3-Macroeconomia.pdf

apuntes

-

Tema 2 Macroeconomía ADEXCEL

He publicado nuevos apuntes de 3º Macroeconomía: Tema 2 Macroeconomía ADEXCEL

Tema-2-Macroeconomia.pdf

apuntes

-

Ejercicios

He publicado nuevos apuntes de 3º Macroeconomía: Ejercicios

Ejercicios-U3.pdf
Ejercicios-U2.pdf
U4-Exercises.pdf

apuntes

-

Tema 1 Macroeconomía ADEXCEL

He publicado nuevos apuntes de 3º Macroeconomía: Tema 1 Macroeconomía ADEXCEL

Tema-1-Modelo-de-Romer.pdf
Tema-1-Modelo-de-Solow.pdf

He publicado nuevos apuntes de 3º Macroeconomía: Examen-macro-enero.pdf

7 páginas

He publicado nuevos apuntes de 3º Macroeconomía: Tema-1-con-anotaciones-y-ejercicios.pdf

114 páginas

He publicado nuevos apuntes de 3º Macroeconomía: 1-TemaameModelo-De-Solow-Explicado-Paso-A-Paso-T.pdf

4 páginas

He publicado nuevos apuntes de 3º Macroeconomía: Tarea-2-Ej1-Explicado.pdf

3 páginas
Anónimo

@Anónimo

He publicado nuevos apuntes de 3º Macroeconomía: Formulas-T1.pdf

1 página

Midterm

6 páginas

He publicado nuevos apuntes de 3º Macroeconomía: tema-3-5-la-gran-recesion.pdf

8 páginas

He publicado nuevos apuntes de 3º Macroeconomía: Tema-3-4.pdf

14 páginas